Foro de preguntas y respuestas de Matemáticas

logo beUnicoos
Los foros de unicoos se han unificado en nuestra nueva plataforma beUnicoos. Para dejar nuevas preguntas deberás hacerlo allí, donde además podrás encontrar nuevas asignaturas y herramientas para ayudarte más con tus estudios.

  • icon

    Matias Suarez
    el 14/10/18

    Tengo una duda un funcion integrable si o si es derivable no? me ayudan con este problema 


    replythumb_up0 voto/sflag
    icon

    Fernando Alfaro
    el 14/10/18

    No. Puede no ser derivable.

    Opción a. Es continua en [a, b]


    thumb_up1 voto/sflag
    icon

    Fernando Alfaro
    el 14/10/18

    Perdón. La función no tiene por que ser continua tampoco.

    Opción d



    thumb_up1 voto/sflag
  • icon

    Carmen
    el 14/10/18

    Hola! Alguien me puede ayudar con esta matriz con incógnita, por favor? 


    replythumb_up0 voto/sflag
    icon

    César
    el 14/10/18

    que te piden?? Enunciado


    thumb_up0 voto/sflag
    icon

    Carmen
    el 14/10/18

    Perdón! 

    Determina el valor m para que las matrices sean invertibles.

    thumb_up0 voto/sflag
    icon

    Yauset Cabrera
    el 14/10/18


    thumb_up0 voto/sflag
  • icon

    Tamara
    el 14/10/18

    hola.

    ando necesitando ayuda con este problema:

    Muchas gracias!

    replythumb_up0 voto/sflag
    icon

    Antonius Benedictus
    el 14/10/18


    thumb_up1 voto/sflag
  • icon

    Diego
    el 14/10/18

    Hola, como puedo resolver esto:

    gracias, disculpen las molestias

    replythumb_up0 voto/sflag
    icon

    César
    el 14/10/18


    thumb_up1 voto/sflag
    icon

    César
    el 14/10/18


    thumb_up1 voto/sflag
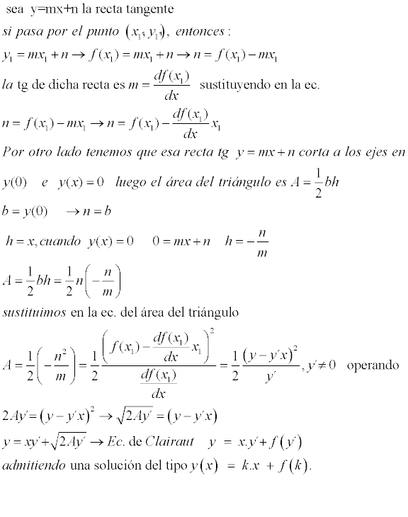
  • Usuario eliminado
    el 14/10/18

    alguien me podría ayudar con este problema:

    Hallar la curva cuya tangente forma con los ejes de coordenadas un triángulo de área constante A. (Respuesta: 2xy=-+A)


    replythumb_up0 voto/sflag
    icon

    César
    el 14/10/18


    thumb_up1 voto/sflag
  • icon

    Marcos
    el 14/10/18

    Estos dos sistemas de ecuaciones lineales me dan como resultado Incompatibles. Es correcto ?

    replythumb_up0 voto/sflag
    icon

    Antonius Benedictus
    el 14/10/18

    No. 

    Son compatibles indeterminados con dos grados de libertad (dos incógnitas libres).

    thumb_up1 voto/sflag
    icon

    Marcos
    el 14/10/18

    Pero si el Rango de la matriz es distinto a el rango de la matriz ampliada, como en este caso creo, no es incompatible ? No entiendo porqué es indeterminado cuando los dos rangos son diferentes. Disculpe

    thumb_up0 voto/sflag
    icon

    Antonius Benedictus
    el 14/10/18

    Es que los rangos son IGUALES (a 2 en ambos casos).
    Comprueba: 

    https://matrixcalc.org/es/

    thumb_up1 voto/sflag
  • icon

    Cristina Llinares López
    el 14/10/18

    Hola,

    Necesito una sencilla fórmula que no recuerdo de mis tiempos de estudiante. Si quiero que quede una cantidad neta de 250€, ¿ cuál es la fórmula a aplicar para calcular la retención sabiendo que esta es  del 7%?

    replythumb_up0 voto/sflag
    icon

    César
    el 14/10/18

    x-(7/100)x=250

    0.93x=250     x=268.817 


    thumb_up0 voto/sflag
  • icon

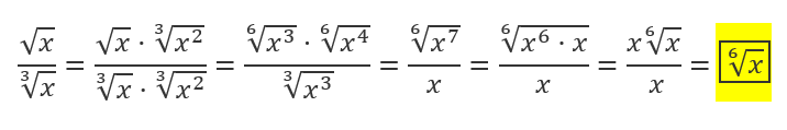
    juan j. escobar ramos
    el 14/10/18

    No me sale bien la racionalización, debería salir raíz sexta de x y me sale raiz sexta de x elevado a dos 

    replythumb_up0 voto/sflag
    icon

    Antonius Benedictus
    el 14/10/18


    thumb_up1 voto/sflag
    icon

    Fernando Alfaro
    el 14/10/18

    √x/∛x = x1/2 * x-1/3 = x(1/2 - 1/3) = x(3/6 - 2/6) = x1/6


    thumb_up1 voto/sflag
  • icon

    Marcos
    el 14/10/18

    Está correcto este ejercicio ?????

    "Discutir y resolver este sistema si es posible:"

    replythumb_up0 voto/sflag
    icon

    Antonius Benedictus
    el 14/10/18

    ¡Perfecto!


    thumb_up1 voto/sflag
    icon

    Marcos
    el 14/10/18

    Gracias

    thumb_up1 voto/sflag