holaa, me podrían ayudar con este problema:
Hallar la curva para la cual el segmento de la tangente comprendido entre los ejes de coordenadas tiene longitud constante A.
gracias

¡Hola! Nos encantaría ayudarte, pero no solemos responder dudas universitarias que no tengan que ver específicamente con los vídeos que David Calle ha grabado como excepción. O de otras asignaturas que no sean Matemáticas, Física y Química. Lo sentimos de corazón… Esperamos que lo entiendas.
Ojalá algún unicoo universitario se anime a ayudarte (de hecho, lo ideal es que todos los universitarios intentarais ayudaros los unos a los otros).
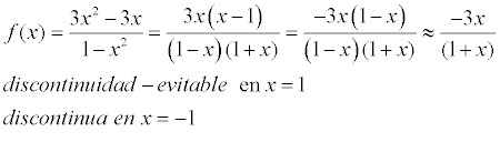
Sea la función 𝑓(𝑥) = 3𝑥 2−3𝑥 / 1−𝑥 2
a) Encontrar los puntos de discontinuidad de f.
b) Determinar razonadamente si alguna de las discontinuidades es evitable.Y si es posible, evitarla.
c) Estudiar si f tiene alguna asíntota.
Hola unicoos quería ver cómo puedo resolver éste ejercicio que les dejo abajo, tengo dificultades en resolverlo, gracias, saludos.![]()

Te sugiero veas este video...
Plantear ecuaciones - Porcentajes y depósitos