Foro de preguntas y respuestas de Matemáticas

logo beUnicoos
Los foros de unicoos se han unificado en nuestra nueva plataforma beUnicoos. Para dejar nuevas preguntas deberás hacerlo allí, donde además podrás encontrar nuevas asignaturas y herramientas para ayudarte más con tus estudios.

  • icon

    Uriel Dominguez
    el 4/10/18

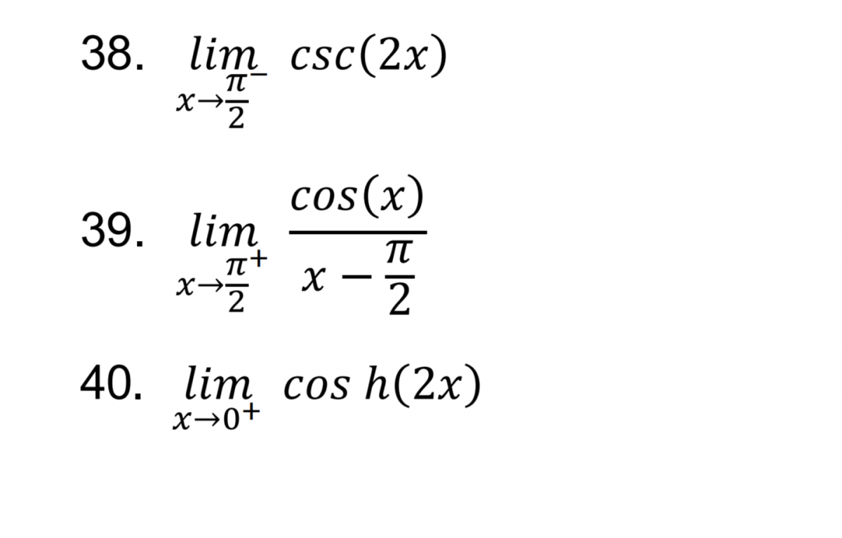
    Tengo duda en los límites 38 y 40, según yo el 38 no existe y del otro no sé cómo hacerlo. 

    replythumb_up0 voto/sflag
    icon

    César
    el 4/10/18

    El primero oscila entre + - infinito

    el Segundo sería según la definición de coseno hiperbólico  cosh(x) =1/2(e^x+e^(-x))

    por lo tanto el limite =1

    thumb_up1 voto/sflag
  • icon

    milagroscumbrerass
    el 4/10/18

    Alguien me puede resolver la a por favor. Gracias

    replythumb_up0 voto/sflag
    icon

    Antonius Benedictus
    el 4/10/18


    thumb_up3 voto/sflag
    icon

    Fernando Alfaro
    el 5/10/18

    34 a, o 35 a?


    Ejercicio 35 a


    log(x+18) = 1 + logx 

    log(x+18) = log10 +logx   (asumiendo log = logaritmo en base 10)

    log(x+18) = log(10x)

    (x+18) = (10x)

    x+18 =10x

    18 = 10x-x

    18 = 9x

    18/9 = x

    x = 2


    thumb_up0 voto/sflag
  • icon

    Daniel Benitez Vasquez
    el 4/10/18

    Necesito ayuda en estos dos problemas 

    replythumb_up0 voto/sflag
  • icon

    umayuma
    el 4/10/18

    Buenos días unicoos.

    ¿Alguien puede resolver este ejercicio,por favor?

    Muchas gracias.

    replythumb_up0 voto/sflag
    icon

    Antonio
    el 4/10/18


    thumb_up0 voto/sflag
  • icon

    Sara
    el 4/10/18

    Hola! Estoy en primero de carrera y me resultaría de gran ayuda que subieses videos de ejercicios de espacios vectoriales con letras, ya que estoy un poco perdida.

    ¡Muchas gracias de antemano! Un saludo. 

    replythumb_up0 voto/sflag
    icon

    César
    el 4/10/18


    thumb_up0 voto/sflag
  • icon

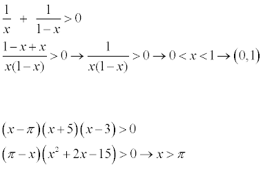
    Claudia Chiriboga Muñoz
    el 4/10/18

    Hola, alguien me puede ayudar con estos ejercicios?
     1/x + 1/1-x>0

    (x-π)(x+5)(x-3)>0 

    replythumb_up0 voto/sflag
    icon

    César
    el 4/10/18


    thumb_up0 voto/sflag
  • icon

    Carlos
    el 4/10/18

    Hola, buenos días unicoos. Me podrían ayudar con este ejercicio? Muchísimas gracias



    replythumb_up0 voto/sflag
    icon

    César
    el 4/10/18



    thumb_up0 voto/sflag
  • icon

    Hans Bocanegra Ruiz
    el 4/10/18


    Me pueden resolver este ejercicio, tengo una solucion pero no la entiendo. Gracias


    replythumb_up0 voto/sflag
    icon

    Antonius Benedictus
    el 4/10/18

    Sube la solución y trataremos de explicártela.

    thumb_up0 voto/sflag
  • icon

    Mariano Cornejo
    el 3/10/18

    Hola , quería saber si me recomiendan algo que me ayude a comprender mejor para plantear problemas y resolverlos sin enredarme, me está llamando la atención un libro de polya pero no sé si este me aclare mis dudas, bueno eso es todo muchísimas gracias.saludos



    replythumb_up0 voto/sflag
    icon

    César
    el 4/10/18

    Aqui tienes un breve resumen  del libro que mencionas.

    Veo que esta mas orientado a la Universidad, ero poderia servirte.

    file:///C:/Users/Usuario/Downloads/6967-9551-1-PB.pdf

    thumb_up0 voto/sflag