
Solo por si la respuesta de Antonio no ha quedado clara.
ex es una función continua para todo x. De modo que f(x) es continua para todo x < 0
cot(x) = cos(x)/sen(x). la función no existe, y por tanto es discontinua para todo x tal que sen(x) = 0: x = 0, x=pi, x=2pi, x=3 pi, x=4pi...
La función f(x) no existe para valores de x ≥ 7/2 pi de modo que las discontinuidades se presentan en x=0, x=pi, x=2pi, x=3pi.
¿Como calculo el vector F, partiendo de los tres vectores F1, F2, F3? No he encontrado ningun video. Saludos

No veo datos analíticos. Si la imagen está a escala se pueden utilizar métodos gráficos.
Suma vectorial: Método del paralelogramo, Método del triangulo.
Otro método es invocar un sistema de coordenadas y de allí tomar los datos analíticos, módulos y ángulos...
Subo imagen con el método del triangulo a modo de ejemplo porque los valores no coinciden

hola podríais ayudarme con este ejercicio lo he intentado hacer viendo vuestros vídeos pero no sé cómo hacerlo, gracias

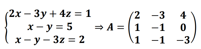
La matriz de los coeficientes (denotada generalmente como A), es aquella matriz que contiene todos los coeficientes que multiplican a cada una de las incógnitas del sistema. Cuidado, ten en cuenta que el sistema, la incógnita z de la última ecuación, no está como debería...
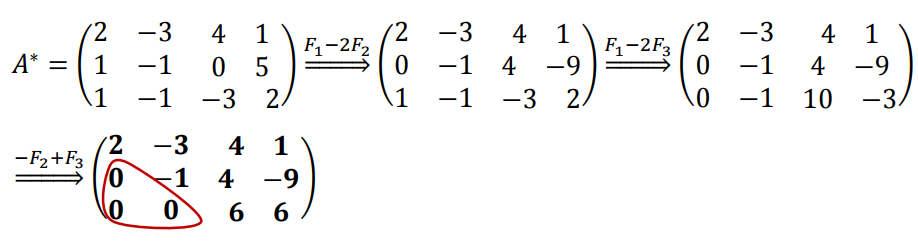
Luego, simplemente: la matriz ampliada del sistema (A*), es aquella en la que aparecen añadidos los términos independientes de cada ecuación del sistema:
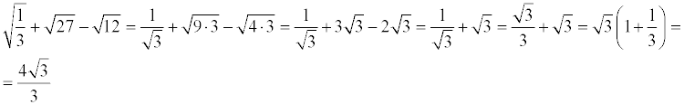
Pi entre 3 es un numero racional o irracional?
π es un numero trancendental, es decir no es solución deningún polinomio cuyos coeficientes son racionales.
Teorema:
Todo número trascendental es irracional, pero no todo irracional es trascendental.
Demostración: Para probar que todo trascendental es irracional, demostramos que cualquier racional es algebraico. Es decir, demostramos que existe un polinomio con coeficientes racionales tal que es raiz de ese polinomio. Pues, el polinomio qx−p
es el que es:
Para demostrar que no todo irracional es trascendental, demostramos que es algebraico. Es decir, demostramos que existe un polinomio con coeficientes racionales que tiene a de raiz. Pues, el polinomio es el que es: