Dividimos una cuerda de un metro en dos partes, no necesariamente iguales, para construir un cuadrado
y una circunferencia. Prueba que de todas las posibilidades, la que cierra un área total mínima
surge cuando el radio del círculo es la mitad que el lado del cuadrado.
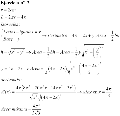
Ejercicio nº 2
De un círculo metálico de radio = 2cm se quiere recortar un triángulo isósceles de superficie
màxima.Trobar la dimensión de sus lados
Hola unicoos quería saber cómo cálculo la cantidad de habitantes que tienen obra social del estado, si sé que 3/10 tienen obra social prepaga, el 60% tienen obra social del estado y 500 no tienen obra social.
Eso es todo gracias.
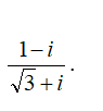
Buenos días,
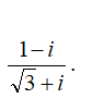
tengo una pregunta sobre simplificación de términos en fracciones. Parece sencilla, pero no recuerdo la propiedad. Según la imagen que pongo debajo,
¿Sería posible simplificar eliminado -i e i tanto del numerador como del denominador? Entiendo que sí, pero quería consultarlo con vosotros. Saludos,

Recuerda que para poder simplificar en una expresión fraccionaria tienes que tener, tanto al numerador como al denominador completamente factorizados, y como en este caso tienes una resta en el numerador y una suma en el denominador, tienes que emplear el método que te ha mostrado el colega César en su desarrollo.
Espero haberte ayudado.