
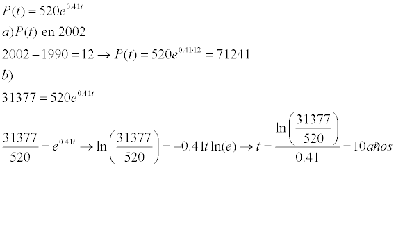
a)
Observa que al año 2002 le corresponde: t = 12, luego puedes plantear:
P(12) = 520*e0,41*12 = 520*e4,92 ≅ 420*137,002613 ≅ 71241,358847 ≅ 71241 (millones de ratas).
b)
Tienes el tamaño de la población de ratas, expresada en millones de individuos:
P(t) = 31377, sustituyes la expresión de la función población, y queda:
520*e0,41*t = 31377, divides por 520 en ambos miembros, y queda:
e0,41*t = 31377/520, compones en ambos miembros con la función logarítmica natural, y queda:
ln(e0,41*t) = ln(31377/520),
simplificas en el primer miembro (observa que tienes una composición de funciones inversas evaluada), y queda:
0,41*t = ln(31377/520), divides por 0,41 en ambos miembros, y la expresión exacta queda:
t = ln(31377/520)/0,41 (en años, contados a partir de 1990),
luego resuelves, y la expresión aproximada queda:
t ≅ 10,000 años.
Espero haberte ayudado.
Hola Unicoos! Estoy ayudando a algunos alumnos con ejercicios de composición de funciones y me cuestan los que tienen valor absoluto... Alguien me puede ayudar con el ejercicio d)
También les adjunto una foto de otro ejercicio que hice... Me pueden decir si está bien... Y si hay otra forma de resolver el punto c)
Buenos días Unicoos. Haciendo un examen de esta web, no consigo saber en qué me equivoco en dos ejercicios.
1. Simplificar √ √ ( (√2+ √8) / (√20+ √5) ). A mi me dio = raíz sexta de 2/5. El problema está en que la solución es = (raiz octava de (2 *57))/5. ¿Alguien podría resolverlo para ver dónde me estoy equivocando?
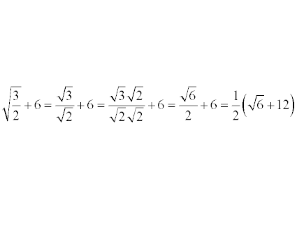
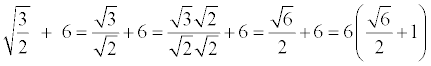
2. Simplificar √ (3/2) + 6. Al parecer la solución es 3/2 (√6) pero no llego a ella, cualquier cosa que obtengo es más complicado que el propio enunciado ¿Alguien podría resolverlo para ver dónde me estoy equivocando?
Muchas gracias y feliz día
Muchas gracias César. Por lo que veo el segundo ejemplo tampoco te da como en el examen, así que no era cosa de que lo estuviera haciendo mal. Del primer ejercicio, entiendo que no veas claro el enunciado porque no sé como poner que es una raíz, de otra raíz que a su vez tiene un cociente donde hay raíces.