Me podéis ayudar con este ejercicio de energía eléctrica y de potencia.Efecto de Joule, enunciado es este: calcula la energía eléctrica de una bombilla con una resistencia de 10Ω y potenciada con 230 V. Calcula energía eléctrica consumida por esta bombilla si se deja encendido por una hora

Victor:
Se trata de un sencillo problema que seguro has intentado hacer, ¿porque no escribes lo que has hecho? Si no te enfrentas al problema no vas a aprender!!!!
NO dices si se trata de energia alterna o continua, al ver el valor de tension de 230 v entiendo que es alterna y que ese es su valor eficaz. Como lo vamos a aplicar a una resistencia, el factor de potencia es 1, toda la potencia es activa.
Por tanto P=V*I
por la ley de Ohm sabemos que V=I*R -> I=V/R -> P=V2/R -> P= (230)2/10=5290 w =5290 Julios/ seg
sabemos que la energia consumida en un intervalo de tiempo t es:
E=P*t -> E= 5290 J/s* 3600 s (segundos en una hora)=19,04 *106 J
La proxima vez quiero ver tus calculos!!!!!!!
Nos vemos!!!!

Estela:
Mira este video de David donde explica como resolver este tipo de expresiones:
El resumen es:
Obtener la expresion canonica
Aplicar el metodo de Karnaugh para simplificar la expresion.
David aplica lo habitual que es expresarlo en forma de MINTERMS que es suma de productos. Elegimos los 1 en ese caso ya que un termino igual a 1 hace que la expresion total sea 1 (recuerda la operaciones de algebra de Boole)
Como en tu enunciado parece que te piden tambien que lo hagas como MAXITERMS o sea producto de sumas, elegiremos en ese caso los 0 ya que un cero en un termino multiplicado por cualquier otro valor da 0 en la funcion.

Hola, ¡gracias por la respuesta!
Lo que no tengo demasiado claro es qué hacer con la función tal y como me la da el enunciado. ¿Debo simplificarla primero mediante Boole y después realizar Karnaugh (en POS y SOP) con la función ya simplificada para hallar finalmente la canónica? Gracias :)

Estela:
Mira bien el video:
- tienes que operar lo que te han dado y ver que terminos te salen y en cuales falta alguna variable, asi llegas a la forma canonica (que no es la expresion minima posible)
- ahora aplicas Karnaugh para 1 (suma de productos mi), por ejemplo. Luego lo aplicas para los 0 (producto de sumas Mi) para obtener la otra expresion (tambien podrias "jugar" con algebra de Boole para pasar a la otra expresion: partiendo de la expresion mi podemos llegar a Mi como indico abajo)

Cual es la deduccion de la formula de la temperatura y del trabajo de un proceso adiabatico?

Hola!
Veamos, los procesos adiabaticos son aquellos en que no hay intercambio de
calor con el exterior (Q=0).
Por el 1er princ de la Termod.
dU=dQ +dW
como dQ=0
y dW= -P*dV
y dU=Cv*dT
tenemos que Cv*dT= -P*dV
y por la ec. de estado de los gases nobles P=nRT/V luego Cv*dT=
-(nRT/V)*dV -> dT/T + nR/V* dV/V=0
Integrando: Ln T + (nR/Cv)*LnV=cte -> LnTV(nR/Cv)
=cte -> TV(nR/Cv) =cte
y como nR/Cv=(Cp -Cv)/Cv= Cp/Cv -1
si definimos
ϒ= Cp/Cv tenemos que
TV ϒ-1 =cte
y como T= PV/nR -> PV* V ϒ-1/nR =cte ->
P V ϒ=cte -> PA VA
ϒ= PB VB
ϒ
Respecto al trabajo volvemos al 1er princ. de la termod.
Como Q=0
W=-Ϫ U =
-n Cv(TB-TA)
Hola, alguien me puede ayudar con este problema? Me sería de gran ayuda:
Una línea de CA trifásico con neutro, de VL=400V i f=50Hz, alimenta una carga equilibrada formada por: 60 lamparas fluorescentes de P=58W cada una, V=230V i Cos de fi=0,5. También un motor trifásico de P=3KW i cos de fi=0,8 i un motor trifásico de P=5KW i cos de fi=0,85. Calcula las potencias Pt, Qt i St, el cos de fi total y la IL que debe subministrar la línea.
También decir que no lo hacemos con números imaginarios ni nada por el estilo.

-
Hola Seth:
Es conveniente que pongas los calculos que has relizado para poder ver vuestros fallos. El esfuerzo de enfrentaros al problema es lo que os hace aprender.
Aqui te pongo la solucion explicada. Atencion que la he modificado porque habia cometido un error :
esa es la potencia activa. La potencia
aparente es
3480= S* 0,5 -> S = 6960 VA
Como cosϑ=0,5 -> ϑ=
arc cos 0,5=60
Luego la Potencia Reactiva: Q=6960*sen (60)
= 6027,54 Var
3000=S*0,8 -> S=3000/0,8 ->
S=3750 VA
Θ=arc cos(0,8)=36,86
Q= 3750*sen(36,86)=2249,48 Var
5000=S*0,85 -> S=5000/0,85 ->
S= 5882,35 VA
Θ=arc cos(0,85)=31,79
Q= 5882,35*sen(31,79)=3098,87 Var
PT= 3480+3000+5000=11480 w
QT=6027,54+2249,48+3098,87=11375,89 Var
-
Y como S2=P2 +Q2
:
S2 =261201273,3-> S=16161,72 Var
-
Y tan ϑ=
Q/P -> ϑ=
arc tan (Q/P) -> ϑ = 44,74 -> cos ϑ = 0,71
-
Como en sistemas trifásicos: PT=3VF*IF*cosϑ
11480=3*230*IF*0,71 -> IF=
23,43 A
Hola de nuevo unicoos, os paso un problema acerca de un motor de combustion, y donde me he quedado atascado. un saludo!!![]()
![]()

Hola Edu:
Aunque lo planteas como un problema de tecnologia, se habla de un motor y del concepto de par, la solucion del problema es mas un problema de matematicas.
Dan la expresion del par:
par= 23+cos[πyx2(x-1)/1620] y preguntan ¿cual sera el valor de x para obtener el par maximo?
La funcion del par será máxima cuando su derivada respecto a x sea = 0:
d(par)/dx =0
Como es una funcion sinusoidal vamos a tener infinitos máximos (y minimos) pero nos dan más datos:
x>= 2π (1)
e
y >= 180/π3 (2)
por tanto la solucion es derivar la funcion par respecto a x e igualarla a cero y esto nos da algo asi:
d(par)/dx =-πy/1620*(3x-2)*x*sen[πyx2(x-1)/1620]=0
para que sea cero pueden darse las soluciones:
x=0 -> no vale porque no cumple (1)
3x-2=0 -> tampoco lo cumple
sen[πyx2(x-1)/1620] =0 . Sen α se hara cero cuando α=0 o π o 2π o 3π o ....
Probamos con
πyx2(x-1)/1620= 3π - > yx2(x-1)=3*1620
por otro lado nos dicen que la cilindrada es 2430 con 6 cilindrosd por lo que de la otra expresion:
2430=6*π/4*x2y -> yx2=1620/π y podemos sustituirlo en la expresion anterior quedando x=1+3π
luego y = 1620/πx2 = 1620/π(x+3π)2
que cumplen (1) y (2). Si no lo cumplieran probariamos con α =4π ....
Buenas otra vez. He estado intentando hacer este ejercicio pero no me sale bien... Me gustaría saber como hacerlo.![]()

Hola Sonia, no se en que nivel estas porque he encontrado el problema un poco complicado. No por el problema en si sino por varias cuestiones que en mi explicacion te comentare. Puede que haya interpretado algo mal, por eso te pregunto el nivel en que estas, pero en cualquier caso mi explicacion te dara una vision sobre este tipo de problemas.
- La entrada D es clara 0 o 1, pero ¿una entrada T con 5 rangos de temperatura diferentes? ¿Como se implementa esto? S eme ocurre que esas cinco posibles situaciones las representemos con 3 entradas (no una) ¿porque? porque para representar 5 niveles de T necesito 3 bits. Esto lo podemos conseguir con un CODIFICADOR (ver imagen)
-Entonces tenemos 3 entradas de temperatura C2,C1 y C0 y una entrada D, total 4 entradas. Las salidas no me importan, son tres y cada salida se trabajara aparte. La cuestion es que nos dicen en el enunciado que utilicemos multiplexores 4 a 1, pero si tenemos 4 variables necesitaremos al menos multiplexores que tengan 4 - 1=3 entradas de control (selectores), es decir multiplexores de 8 a 1. ¿Como se resuelve esto? Construyendo un multiplexor de 8 con multiplexores de 4 (otra dificultad) (ver imagen)
Entendido todo esto se puede ver la tabla de verdad de las salidas (3) segun lo expresado en el enunciado (ver imagen) (He anotado a la derecha de cada fila aquella que esta expresada en el enunciado y en la columna de C, A o Tu su puesta a 1. El resto de las combinaciones no expresadas o posibles las he puesto a 0 encada funcion)
Veamos la salida C (calefaccion)
Que se puede realizar con el multiplexor equivalente de 8 (su equivalente es el expresado con los equivalentes de 4)
En resumen, que el problema no es dificil pero se complica por las condiciones que se han impuesto (4 variables, multiplexores de 4, enunciado quiza ambiguo).
Espero haberte ayudado.
Nos vemos!!!!
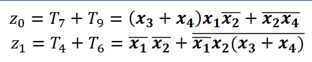
Hola buenas, me gustaría saber como simplificar este circuito lógico y los pasos que hay que seguir. Gracias.
Para una vivienda ocasional, que se utiliza fundamentalmente los fines de semana y durante el verano, se hace valorar qué sistema utiliza para la calefacción y ACS (agua caliente sanitaria). Valora con los siguientes datos cuál sería el más acertado para un periodo de 10 años y un consumo de 1200 kwh/año.
a) Acumulador y radiadores eléctricos. 200 € año de costes anuales fijos. Coste del consumo de energía a 0,178 €/kwh.
b) Caldera de gas butano. 2000€ de instalación y 0,086 €/ kwh.
c) Panel solar térmico. (Solo para ACS/ 1000€ la instalación, permitirá ahorrar 500 kwh/año).
d) Estufa de biomasa. Instalación 1200€, solo calefacción, y 2000€ si suministra ACS. Coste de energía 0,067€/kwh.

Veo el enunciado que envías pero no veo lo que has intentado hacer por ti
mismo. No solo el enunciado, enviad paso a paso lo que hayáis hecho, esté bien
o mal y así podremos ayudaros, cuales son vuestros fallos ... Y asi el
aprendizaje será vuestro.
En la próxima ocasión espero ver tus soluciones!!!!!, aquí te pongo la solución
del problema (se trata de escribir despacio lo que va diciendo el enunciado; lo unico especial es que en el caso a) los costes fijos son una cantidad anual y en el c) que se produce una disminucion de los kwh a pagar al restar los producidos. Y en cada caso aplicar el coste kwh que corresponda).
Nos vemos!!!!!

Gracias a JorgeGT por ayudarme en todo, sois todos maravillosos. Sé que soy muy pesada con esto de los ejercicios, pero estoy segura que así lo conseguiré. Aquí va mi última duda respecto a este tema. No puedo enviar solución porque no tengo ni idea de cómo hacer este ejercicio, lo siento mucho. Gracias de antemano!

Hola!!!!
Para tratar con transformadores tienes que recordar que la relacion entre las tensiones de entrada y salida es igual a la relacion del numero de vueltas dedevanado primario y secundario:
v1/v2=N1/N2
Sabiendo esto la solucion es sencillisima, te pongo la foto .
Hola jorgue como andas soy de argentina hay alguna manera de que me puedas ayudar con un ejercicio?. No se como se usa el foro para poder comunicarme con vos... y mostrate el ejercicio... pero te dejo mi face por si puedes wuido meis asi te mando el ejercicio por ahi...o si tiene ig es @wuidooo