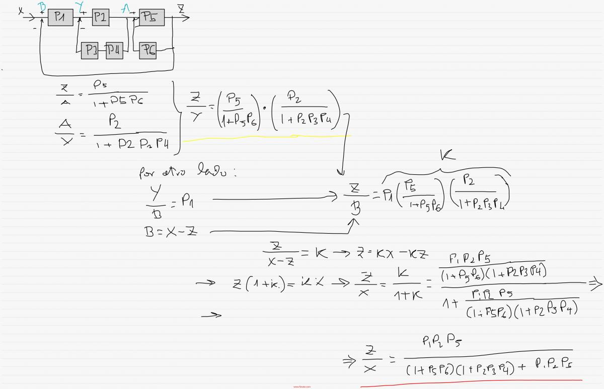
hola buenas no tengo la mas minima idea de como se hacen estos ejercicios, si me pudiesen ayudar se lo agradeceria, un saludo

Solo
os podemos ayudar
Lo siento, pero "sólo"
os podemos ayudar en www.unicoos.com, en los foros de cada
asignatura… Se
trata, además de que enviéis dudas concretas, muy concretas. Y que
nos enviéis también todo aquello que hayais conseguido hacer por
vosotros mismos. Paso a paso, esté bien o mal. No
solo el enunciado, pero no olvidéis de adjuntarlo de forma LITERAL,
para saber que os piden.
De esa manera podremos saber vuestro nivel, en que podemos ayudaros,
cuales son vuestros fallos.... Y el trabajo duro será el vuestro.
#nosvemosenclase

Buenas don Jorge GT y don David, lamento el comportamiento mostrado por mi parte en ese comentario, en ese momento estaba estresado porque no entendia el temarioy me tome ese mensaje generico que me escribió el señor don Jorge GT como si me estuviese vacilando debido a lo que dice al principio del mismo. En mi opinion el don Jorge GT, si el problema era el entendimiento de mi letra (como ya han hecho otros profesores de otros foros y a los que lesenvie el enunciado escrito desde mi telefono movil) o su desconocimiento de esa parte de la asignatura debería habermelo dicho en lugar de enviar un mensaje genérico que no dice realmente nada.
De todas formas, pido perdón al señor Jorge GT por mi respuesta.
Por cierto David, (espero que no te moleste mi comentario) soy de los que piensan que dos personas para resolver un problema pueden hablar con un tono neutro, no usando los caracteres en mayuscula como si estuviese chillando y ese comentario que tu me has hecho en parte me ha abierto los ojos y me ha hecho ver mi error pero por otra me ha parecido bastante molesto porque pienso que se podria haber dicho lo mismo de otra forma.
Saludos y mis mejores deseos.
Fco. Javier
Hola! Tengo una duda de cómo se hacen estos ejercicios de circuitos en serie.
Sé que me dan las respuestas pero no sé cómo llegar hasta ellas.
Si me pudieran ayudar se lo agradecería mucho.
hola! Para que sepas resolver los circuitos en serie tenes que tener en cuenta que la intensidad (total) = voltaje (total)/ resistencia total.
En todo circuito serie las resistencias se suman y la intensidad es la misma para todo circuito. En el voltaje donde haya mayor resistencia habrá mayor caída de tensión.
Te hago el primero:
como tenes 2 resistencias de 3 y de 5 ohms se suman para obtener la resistencia total. por lo tanto RT= 5+3 = 8 ohms.
Por lo tanto como te dan los 32 V de voltaje haces Intensidad=voltaje/Resistencia total = 32V / 8ohm= 4 A
Te hago el Segundo
te dice que calcules el voltaje que pasa una intensidad de 4 A y tiene una resistencia de 3 ohms
por lo tanto el Voltaje es intensidad por la resistencia por lo tanto Vt= Rt*It = 4*3= 12V
Para el otro es el mismo calculo asi que Vt= 5*4= 20V
Para el 3 te dejo el paso que tenes que hacer: Primero calculas la resistencia total, osea sumas todas las resistencias. segundo sacas la intensidad total= (voltaje total/resistencia total) . como ya tenes la intensidad total y es la misma para todo el circuito calculas la caída de voltaje que hay en cada resistencia osea V1= it*R1 y V2=it*R2.
Para el 4 la potencia es igual al voltaje por la intensidad, osea P= V.I y como ya tenes todos los resultados haces PT= VT*IT , P1= V1*IT, P2=V2*IT
y para el 5 tenes que repetir los pasos del ejercicio 3 y 4
Espero que te haya solucionado el problema
Mucha suerte
Hola mi duda es sobre esta pregunta.
''Determine el consumo de gasolina de un vehículo cada 100 km, sabiendo que tiene un motor que da una potencia de 44,15 kW a 100km / h y con un rendimiento del 35%. Considere el poder calorífico de la gasolina de 30 MJ / l ''
Rendimiento: 35% = 0.35
P= 44,15kW ---> Pútil = Potencia subministrada x Rendimiento ---> Pútil= 44.150J/s x 0.35= 15.452,5J/s(No se si lo debería dejar en kW o W para que equivala a J/s, me refiero a la Psub)
Si, 1W=1J/s
Psub= 44,15kW = 44150W= 44150J/s
V= 100km/h
Pc= 30MJ/l
---> 15452,5J/s x 60min/1h x 60s/1min= 55.629.000J/h (esto debería pasarlo a MJ para saber el consumo en 1 hora ya sabiendo que cada 30MJ es 1 litro)
---> 55.620.00J/h = 55,629MJ/h
---> 55,629MJ/h x 1l/30MJ= 1,854l (esto creo que es muy poco, entonces seguro está mal en alguna parte o he planteado mal algo y a partir de ahí está mal todo)
PD: Necesito ayuda para saber donde me he equivocado o si he planteado todo mal, Gracias.

Hola
La potencia que te dan es el consumo del motor aproximado que realiza cada
segundo para mantener ese nivel (100km/h). Eso significa que cada segundo que
está andando a esa velocidad, el motor consume 44,15KJ.( 1kw=1KJ/segundo)
Son 3600 segundo (1 hora de viaje) por 44150J (paso 44,15KJ a J, da lo
mismo pero me gusta dejar las unidades sin multiplos)=158.940.000 J consumidos
en total a lo largo del trayecto
Dividimos esos Julios entre la gasolina que puede llegar a consumir (el valor
está en MJ= mega J, si no me equivoco x10^6)
Eso te deja:
158.940.000/30.000.000=5,298 litros.
Dado que el rendimiento del motor es del 35%, calcula el consumo real y
listo (una simple regla de 3, pero mejor aplicar el rendimiento al final
siempre):
1/0,35*5,298= 15,13 litros consumidos en el trayecto para esa velocidad
dada.
Que yo sepa es más o menos eso.
Suerte

No se si podre explicarme claramente en este momento pero lo intentare.
Creo que la ambigueda está en torno al rendimiento, o eficiencia, a que se refiere y como se aplica.
La eficiencia, o rendimiento η se define como: η = Esalida / Eentrada
Es una forma de medir las perdidas en energía no deseadas de una maquina cualquiera en donde haya una energía de entrada y una energía de salida, como puede ser un motor o una caja de cambios, un sistema de poleas, un transformador eléctrico, etc.
Similarmente se puede definir el rendimiento en potencia.
Cuando se tiene una potencia o una energía final deseada:
El rendimiento en la potencia en un motor es una referencia de cuanto debemos sobredimensionar la potencia del motor para lograr la potencia final deseada. (respecto a un motor ideal con 100% de rendimiento).
Y el rendimiento, o la eficiencia energética se refiere a cuanto debemos sobredimensionar la energía de entrada, para lograr la energía de salida deseada. (respecto a una maquina ideal, que no tiene perdidas de energía en energías no deseadas. 100% eficiencia)
En este ejercicio yo entiendo que "rendimiento del 35%" se refiere al rendimiento energético, y el razonamiento de Pitágoras es correcto.
Una forma rápida e "intuitiva" de corroborar que hay un fallo en algún lado es que una maquina real, con un rendimiento energético menor a 1 no puede comportarse de forma mas "favorable" que una maquina ideal, con rendimiento energético de 1. Si las cuentas dan un resultado mas "favorable" que en el caso ideal, hay que revisar.
Espero haber podido aclarar algo.

Lo que indica "Pitagoras" es correcto.
Datos: P =44,150 kW a 100 km/h y μ=35%. Piden consumo en l/100 km sabiendo que el poder calorifico de la gasolina es 30 Mj/l
P (W) = E (j) / t (s) -> E (j) (durante 1 h a 100 km/h) = P * 3600 s
La potencia que nos dan es la Util, la que entrega el motor, pero la suministrada es
P= 44,150/0,35 kW = 126142,86 W
Luego la E (durante 1 h a 100 km/h) = 126142,86 * 3600 = 454,114 *106 j durante 1h a 100 km/h
y dividiendo entre el poder calorifico de la gasolina de 30 *106 j/l, los julios se van y nos quedan los litros cada 100 km: 15,137 l/100 km
¿Podrias decirme como tengo que trazar un dibujo a escala 1:2?
De acuerdo contigo completamente. Pero, ¿por qué es difícil encontrar buenos desarrolladores? Tal vez solo tuve suerte, pero encontré este sitio https://qawerk.es/proceso/pruebas-de-integracion/ rápidamente. Y nuestro pedido fue excelente. Para ser honesto, tuve que dedicar tiempo a escribir bien los términos de referencia, ¡pero quedé muy satisfecho con el trabajo y la calidad!