¡UPS! Para ver vídeos en la web debes estar registrado, es totalmente gratuito.

Recuerda además que sólo por ser unicoo, GRATIS, podrás dejar tus dudas en los foros de beUnicoos, acumularás energy y help points y ganarás decenas de medallas. Registrarte solo te llevará unos segundos. Nosotros somos unicoos ¿y tú? #nosvemosenclase

Binomio de Newton. Exponente negativo y fracccionario

Hallaremos la aproximación por el BINOMIO DE NEWTON con exponentes negativos y fraccionarios de varias expresiones exponenciales.

Agregar a mi mochila
0/ 529

* Para utilizar tu mochila o guardar tu progreso y acumular energy points debes ser usuario registrado. Regístrate o inicia sesión

Foro de preguntas y respuestas

logo beUnicoos
Los foros de unicoos se han unificado en nuestra nueva plataforma beUnicoos. Para dejar nuevas preguntas deberás hacerlo allí, donde además podrás encontrar nuevas asignaturas y herramientas para ayudarte más con tus estudios.
  • icon

    Jonathan Rodríguez
    el 25/12/19
    flag

    me podrían ayudar con ese problema? 

    replythumb_up0 voto/sflag
    icon

    Breaking Vlad
    el 8/1/20

    se trata de que DESPUES DE IR A CLASE (ver los vídeos relacionados con vuestras dudas) enviéis dudas concretas, muy concretas. Y que nos enviéis también todo aquello que hayais conseguido hacer por vosotros mismos. Paso a paso, esté bien o mal. No solo el enunciado. De esa manera podremos saber vuestro nivel, en que podemos ayudaros, cuales son vuestros fallos.... Y el trabajo duro será el vuestro. Nos cuentas ¿ok? #nosvemosenclase ;-)

    thumb_up0 voto/sflag
  • icon

    pau rimes
    el 4/12/19
    flag

    Hallar la ecuación del plano que contiene a las rectas

    r1≡(x−1) /2=(y+2)/ 3=(z−3)/ −1

    y r2≡x/(-2)−1 /(−2)=y/(-1)+2 /(−1)=z/2−3 /2

    Problema 2:

    Sea la matriz A=(1−m −1 −1−x

                                  −3 −1 m−3

                                     1 1 1 )

    a) Indicar para qué valores de m la matriz A tiene inversa

    b) Calcular la inversa de A para m= 1

    Problema 3:

    Calcular el determinante de la matriz B⋅A−2B

    A=(1 0 1−x

    0 0 1

    −1 −1 1 )

    B=(1 1 1

    −1 −x 1

    −1 0 1)

    Problema 4:

    Dado el sistema de ecuaciones lineales {

    (a+3) x−4 y−2 z=4

    x−2 y−(a+2)z=2

    2 x+(a−3) y−2z=4

    Determinar los valores de a para los que:

    a) el sistema es incompatible

    b) el sistema es compatible determinado

    c) el sistema compatible indeterminado

    d) Dar la solución general para el caso c)


    *Hallar el valor de k para que los vectores u = (1,-1) y v = (k,2

    replythumb_up0 voto/sflag
    icon

    Breaking Vlad
    el 13/12/19

    se trata de que DESPUES DE IR A CLASE (ver los vídeos relacionados con vuestras dudas) enviéis dudas concretas, muy concretas. Y que nos enviéis también todo aquello que hayais conseguido hacer por vosotros mismos. Paso a paso, esté bien o mal. No solo el enunciado. De esa manera podremos saber vuestro nivel, en que podemos ayudaros, cuales son vuestros fallos.... Y el trabajo duro será el vuestro. Nos cuentas ¿ok? #nosvemosenclase ;-)

    thumb_up0 voto/sflag
  • icon

    Jarlaxle
    el 1/12/19
    flag

     ¿Podrían ayudarme con este ejercicio?

    replythumb_up0 voto/sflag
    icon

    Breaking Vlad
    el 13/12/19

    se trata de que DESPUES DE IR A CLASE (ver los vídeos relacionados con vuestras dudas) enviéis dudas concretas, muy concretas. Y que nos enviéis también todo aquello que hayais conseguido hacer por vosotros mismos. Paso a paso, esté bien o mal. No solo el enunciado. De esa manera podremos saber vuestro nivel, en que podemos ayudaros, cuales son vuestros fallos.... Y el trabajo duro será el vuestro. Nos cuentas ¿ok? #nosvemosenclase ;-)

    thumb_up0 voto/sflag
  • icon

    Daiana Zapata
    el 22/3/19
    flag

    Hola. Me podrían ayudar con este ejercicio, por favor?

    Estuve viendo el video que hay acerca de este tema, pero no me dio al intentar comprobar, así que claramente no lo entendí.
    Agradecería que fueran lo mas especifico que puedan en cada paso, para poder entender bien el ejercicio.
    Muchas gracias.

    replythumb_up0 voto/sflag
    icon

    Antonius Benedictus
    el 22/3/19

    Sube tu dudas al foro de Matemáticas, por favor.

    thumb_up0 voto/sflag
  • icon

    Tania Mabel
    el 20/2/19
    flagflag

    Racionalización de 5x/x

    replythumb_up0 voto/sflag
    icon

    David
    el 21/2/19

    Sería ideal subieses una foto al foro general de matematicas. Con el ejercicio literal.
    Es imposible saber que necesitas. Un beso

    thumb_up0 voto/sflag
  • icon

    Fernando Meza
    el 29/1/19

    podría ayudarme con la elaboración de este problema.    La carga del camión X es el triple que la de otro Y,más 8 toneladas las dos terceras partes del camión Y, pasan al camión X para completar la carga de este entonces resulta que la carga del camión X es 15 veces mayor que la carga del camión Y. ¿cuál es la carga inicial del camión x?

    replythumb_up0 voto/sflag
    icon

    Antonius Benedictus
    el 29/1/19

    Sube foto del enunciado original al foro de Matemáticas.

    thumb_up0 voto/sflag
  • icon

    AnTo Araya
    el 25/1/19
    flagflag

    Hola me  podria ayudar a resolver esta  prueba  por favor 

    replythumb_up0 voto/sflag
    icon

    Antonius Benedictus
    el 25/1/19

    Sube tus dudas concretas al foro de Matemáticas, por favor.

    thumb_up0 voto/sflag
  • icon

    Patricia Cordal Méndez
    el 5/11/18

    Hola, se va a subir algún vídeo sobre espacios afines, referencias, variedades, etc.? Gracias.

    replythumb_up0 voto/sflag
    icon

    David
    el 20/11/18

    No, por ahora no, lo siento...

    thumb_up0 voto/sflag
  • icon

    Andrea Simon Aldonza
    el 11/9/18
    flag

    Podriais decirme si este ejercicio esta bien echo??? Es q e tratado de hacerlo varias veces pero no me sale ese resultado. Y ese fue el ejercicio q hizo el profesor de la universidad. 

    replythumb_up0 voto/sflag
    icon

    Antonius Benedictus
    el 11/9/18

    Sube el ejercicio al foro de Matemáticas.

    thumb_up1 voto/sflag
  • icon

    Fernando Acosta
    el 27/3/18
    flag

    Buenas Noches.

    Me podrían ayudar con este ejercicio: Hallar el valor  de E=x-y÷z, si: 2x+3y+5z>23     2x-y+5z<13  y-z<1  y<4

    replythumb_up0 voto/sflag
    icon

    Antonius Benedictus
    el 27/3/18

    En el foro de Matemáticas, por favor.

    thumb_up1 voto/sflag
  • icon

    MairaVasquez
    el 26/10/17

    Buenas tardes.

    Podrías ayudarme con el dominio de 2x sobre (x+3)(x-2) muchas gracias 


    replythumb_up2 voto/sflag
    icon

    Antonius Benedictus
    el 27/10/17

    Sube al foro de Matemáticas foto del enunciado original.

    thumb_up1 voto/sflag
  • icon

    Belén Martinez
    el 25/10/17

    buenas..

    habrá algún vídeo de leyes de composición interna '?

    y algo sobre estructura de anillo y cuerpo?

    replythumb_up0 voto/sflag
    icon

    Antonius Benedictus
    el 25/10/17

    No, lo sentimos.

    thumb_up1 voto/sflag
  • icon

    Javier Tapia
    el 1/10/17

    Buenas tardes;

    David por favor hay algún video del principio de induccion?

    Gracias. Saludos.

    replythumb_up0 voto/sflag
    icon

    Antonius Benedictus
    el 1/10/17

    Creo que no, Javier. Sube la duda al foro de Matemáticas y, posiblemente, alguien te ayude.

    thumb_up1 voto/sflag
  • icon

    Ceferino Avilés
    el 24/6/17

    hay algun video de transformacion lineal?


    replythumb_up1 voto/sflag
    icon

    David
    el 12/7/17

    No, lo siento..

    thumb_up0 voto/sflag
  • icon

    Itzel Sustaita
    el 4/6/17

    Hola, tendrán algún video sobre combinación lineal pero con polinomios, es que tengo 'exprese el polinomio v=t^2+4t-3 sobre R como una combinación lineal de los polinomios p1=t^2+4t-3, p2=2t^2-3t y p3=t+3, gracias.

    replythumb_up0 voto/sflag
    icon

    Antonius Benedictus
    el 4/6/17

    Se sale de los contenidos de unicoos. De todos modos, sube la duda al foro, expuesta con claridad, que, a lo mejor, alguien se anima a ayudarte.

    thumb_up0 voto/sflag
  • icon

    Francisca Orellana
    el 31/5/17

    Hola... Ayuda por favor necesito saber sobre funciones

    replythumb_up0 voto/sflag
    icon

    Antonius Benedictus
    el 31/5/17

    thumb_up0 voto/sflag
  • icon

    Juan Daniel Fontalvo Rivas
    el 24/5/17
    flag

    buenas noches , tengo este ejercicio , sinceramente no se por donde empezar , agradeceria quien me colaboraria 

    replythumb_up0 voto/sflag
    icon

    Antonius Benedictus
    el 24/5/17

    Lo tienes ya resuelto en el foro.

    thumb_up0 voto/sflag
  • icon

    Paul Di Fonzo
    el 1/5/17

    Alguien sabe resolver este ejercicio? 

    replythumb_up0 voto/sflag
    icon

    Antonius Benedictus
    el 1/5/17


    thumb_up2 voto/sflag
  • icon

    Andres Michael Costanzo
    el 26/3/17
    flag

    Ayuda no me sale este problema un alumno esta parado, junto a él mástil para izar la bandera considerando que la sombra que el niño proyecta es de 12 metros y la distancia entre el niño y el mástil es 2/3 partes de la sombra del niño ¿cuál es la sombra proyectada por el mástil ? ¿ cuál es la altura del mástil si el niño mide 1,60?

    replythumb_up0 voto/sflag
    icon

    Antonius Benedictus
    el 26/3/17

    Esto no tiene nada que ver con el Binomio de Newton. Sube la duda al foro.

    thumb_up0 voto/sflag
  • icon

    Daniel Leon
    el 16/3/17
    flag

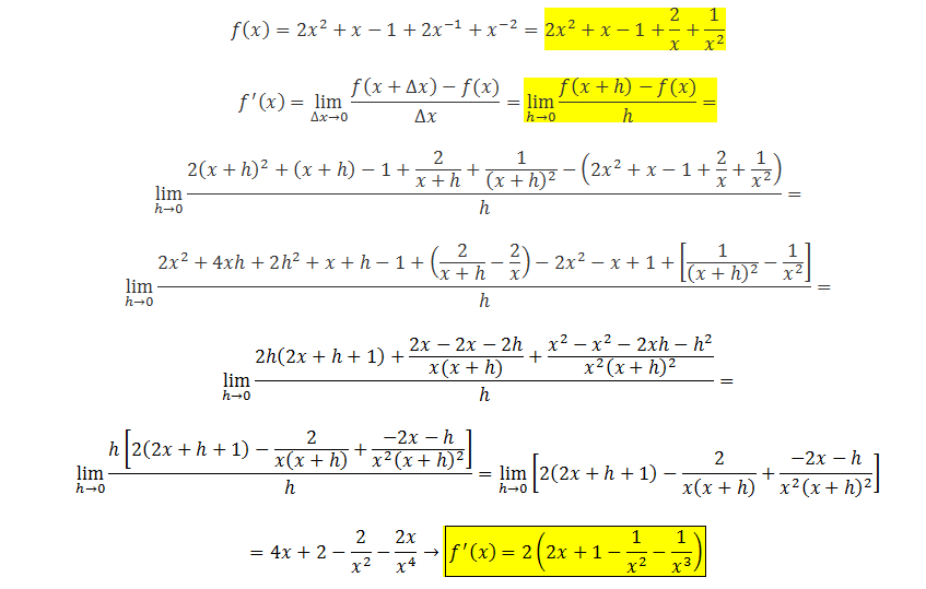
    hola tengo una duda sobre derivadas... Tengo que resolver esta función...

    y=2x^2 + x-1 + 2x^-1 + x^-2

    con la función de...

    f(x+deltaX) - f(x) / deltaX

    replythumb_up0 voto/sflag
    icon

    Antonius Benedictus
    el 16/3/17


    thumb_up0 voto/sflag
  • icon

    Anii Gerardo
    el 10/2/17

    Hola quiero resolver un ejercicio de polinomio que no me sale, el ejercicio es :determinar un polinomio de grado mínimo que tengo : 3 es raíz triple,3 y -3i es raíz simple,x^2+1 es divisor de p(x) y p(1)=1.  

    Cuales son  las raíces de p(x)...  Alguien me ayuda con ese? Gracias

    replythumb_up0 voto/sflag
  • icon

    Ana María Gata Vázquez
    el 2/11/16
    flag

    Hola, buenas tardes.. tengo un ejercicio que no estoy muy segura de como es, si puedes ayudarme...

    Escribe en forma polar (2 - i) ^2

    replythumb_up0 voto/sflag
    icon

    David
    el 3/11/16

    Tu ejercicio es de numeros complejos...
    Además, por identidades notables (a-b)²=a²+b²-2ab, de modo que (2-i)²=4+i²-4i=4-1-4i=3-4i...

    thumb_up3 voto/sflag
  • icon

    ed
    el 14/10/16
    flag

    Buenas noches david como puedo hacer las demostraciones de las propiedades de conjuntos. y metodos de demostracion por fa tengo prueba el lunes y me califica cada proceso y si esta mal n proceso ya no esta bien ese ejerccio


    replythumb_up0 voto/sflag
    icon

    David
    el 17/10/16

    Lo siento ed, pero no puedo ayudaros con demostraciones teóricas...
    por otro lado, con todo el cariño.. ¿que tiene tu duda que ver con este vídeo?... Para dudas que no sean explicitamente sobre lo que hago en cada vídeo, podremos ayudarte mejor si las dejas en el foro general de matematicas. Allí, es posible, otros unicoos se animen a echarte un cable. Un abrazo!

    thumb_up1 voto/sflag
  • icon

    MARTHA
    el 12/10/16
    flagflag

    tengo que estudiar para mi examen a la universidad ¿determina  el valor de sen B en el tirngulo mostrado , como puedo despejarlo ?

    replythumb_up0 voto/sflag
    icon

    David
    el 13/10/16
    flag

    ¿En qué triangulo?. Y con todo el cariño del mundo.. ¿que tiene tu duda que ver con este vídeo?...
    Te sugiero nos dejes una foto en el foro general de matemáticas. Besos!

    thumb_up0 voto/sflag
  • icon

    Jessly
    el 28/1/16
    flagflag

    Hallar el resto en: (x+x^199+1)/[(x^5-1)/(x-1)]
    Porfis ayúdame

    replythumb_up0 voto/sflag
    icon

    David
    el 28/1/16

    Para dudas que no tienen que ver explicitamente con el vídeo, lo ideal es que uséis los foros generales de matemáticas, física y química
    Se trata de que DESPUES DE IR A CLASE (ver los vídeos relacionados con vuestras dudas) enviéis dudas concretas, muy concretas. Y que nos enviéis también todo aquello que hayais conseguido hacer por vosotros mismos. Paso a paso, esté bien o mal. No solo el enunciado. De esa manera podremos saber vuestro nivel, en que podemos ayudaros, cuales son vuestros fallos.... Y el trabajo duro será el vuestro. #nosvemosenclase Nos cuentas ¿ok?

    thumb_up2 voto/sflag