Buenos días. Me estreno en el foro.
Mi duda es sobre regresión lineal y no lineal o linealizable. Espero no ser pesado.
Tengo una función de tipo potencial Y=K·X^B que quiero ajustar sobre una muestra de puntos. (Xi, Yi)
Como es potencial, tomo logaritmos naturales y obtengo ln(Y)=ln(K)+B·ln(X)
Hago un cambio de variables (y=Ln(Y), k=Ln(K), x=Ln(X)) y resulta: y=k+B·x que es lineal,
y ajusto esta ecuación por mínimos cuadrados sobre mi muestra de puntos. Ya tengo los valores k, B.
También calculo mediante la fórmula de un libro el error que cometo en la "y" pronosticada (yp) cuando doy un
valor "xp" a la ecuación y = k + B·x Es decir, tendré que para cada xp, pronostico que la "y" será yp = k +·B·(xp) +/_ Err_yp
Siendo Err_yp el Error que cometo en yp.
Todo bien. Esto lo hago para una serie de x1, x2, ... xn y me sale una gráfica con la recta ajustada y dos curvas (yp-Err_yp)
por abajo y (yp+Err_yp) por arriba, dibujando una franja de error.
Ahora, como hicimos un cambio de variable con Ln(), ahora tendremos que deshacer ese cambio mediante Exp().
Tendremos que B se mantiene, y nuestra ecuación inicial será Y = Exp(y) = Exp(k+B·Ln(X)) en términos de k, B, X.
Esto se grafica sobre los X1 = exp(x1), X2 = exp(x2, ... y nos da la gráfica ajustada de la ecuación potencial original.
Chulísima.
Y aquí tengo la duda: ¿Cómo traslado el resultado de la franja de error a la ecuación original? Me deberá dar una curva potencial franqueada por dos curvas (superior e inferior) con los errores de la Y original.
Como al deshacer el cambio, tenemos Y = Exp(y), creo que lo lógico será que Y+/_ Err_Y = Exp(y+/_Err_y) = Exp(k+B·Ln(X) +/_ Err_y) en términos de k, B, X, Err_y.
¿Es esto cierto?
Muchas gracias, de antemano.

Me encantaría ayudarte, pero no respondo dudas universitarias que no tengan que ver específicamente con los videos que ya he grabado como excepcion. O de otras asignaturas que no sean matemáticas, física y química. Lo siento de corazón… Espero lo entiendas
Ojalá algun unicoo universitario se anime a ayudarte (de hecho lo ideal es que todos los universitarios intentarais ayudaros los unos a los otros)
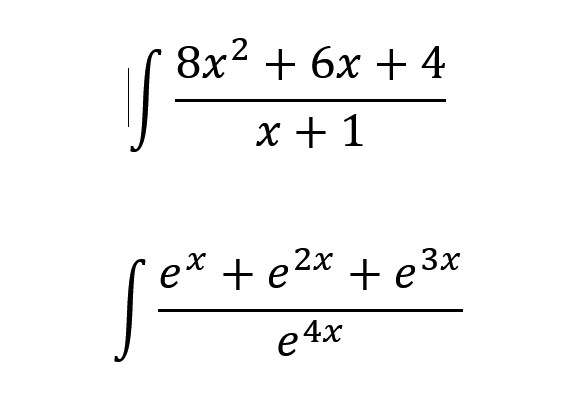
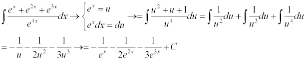
Buenos días. Necesito ayuda con estas dos integrales. Sería de agrado si pudiesen indicármelo paso por paso. Muchas gracias!

1)
Observa que si efectúas la división del numerador (N) entre el denominador (D) en el argumento de la integral, tienes que el cociente es: C = 8x - 2, y que el resto es: R(x) = 6;
y luego, puedes escribir el argumento en forma estandarizada: N/D = C + R/D = ,8x-2 + 6/(x+1);
y tienes para tu integral:
I = ∫ ( (8x2+6x+4)/(x+1) )*dx = sustituyes = ∫ ( 8x-2+6/(x+1) )*dx = integras = 4x2 - 2x + 6*ln|x+1| + C.
2)
Tienes la integral:
I = ∫ ( (ex+e2x+e3x)/e4x )*dx =
distribuyes el denominador entre los términos del numerador del argumento de la integral, y queda:
= ∫ (ex/e4x + e2x/e4x+e3x/e4x)*dx =
aplicas la propiedad de la división de potencias con bases iguales en todos los términos del argumento, y queda:
= ∫ (e-3x + e-2x + e-x)*dx =
integras (recuerda: ∫ (ekx*dx = (1/k)ekx + C):
= -(1/3)e-3x - (1/2)e-2x - e-x + C.
Espero haberte ayudado.

Observa que debes hacer dos pasos en la doble matriz que tienes planteada:
1°) permutas la primera fila con la tercera fila;
2°) multiplicas por -1 a las tres filas;
y ya tienes la matriz inversa,
y observa que se cumple que la matriz A-1 es igual a la matriz A.
Espero haberte ayudado.
Hola UNICOOS, tengo un ejercicio que soy capaz de resolver, a ver si me ayudáis, y es el siguiente:
Halla a en el polinomio x4 + 5x3 -2x + 2a sabiendo que al dividirlo por x-3 da de resto 122.
Ando loco y no soy capaz de llegar al resultado. Muchas gracias de antemano.
En una fiesta, se observa que si todos los hombres salen a bailar, 20 mujeres se quedan sin hacerlo, pero si el 60% de las mujeres salen a bailar, la cuarta parte de los hombres no podrían hacerlo. ¿Cuantas personas hay en la fiesta?

Puedes denominar:
x: cantidad total de hombres,
y: cantidad total de mujeres.
Luego, puedes plantear:
x = y - 20 (la cantidad de hombres es igual a la cantidad de mujeres, menos veinte de ellas que quedan sin bailar),
(60/100)y = (3/4)x (el sesenta por ciento de las mujeres es igual a tres cuartas partes de la cantidad de hombres, de los que queda una cuarta parte sin bailar).
Luego, mantienes la primera ecuación, simplificas en el primer miembro de la segunda, y el sistema de ecuaciones queda:
x = y - 20 (1),
(3/5)y = (3/4)x;
luego, sustituyes la expresión señalada (1) en la segunda ecuación, y queda:
(3/5)y = (3/4)(y - 20), distribuyes el segundo miembro, y queda:
(3/5)y = (3/4)y - 15, multiplicas en todos los términos de la ecuación por 20, y queda:
12y = 15y - 300, haces pasaje de término, y queda:
-3y = -300, haces pasaje de factor como divisor, y queda:
y = 100, que es la cantidad de mujeres que concurrió a la fiesta;
luego, reemplazas el valor remarcado en la ecuación señalada (1), resuelves y queda:
x = 80, que es la cantidad de hombres que concurrió a la fiesta;
luego, tienes que la cantidad de personas que concurrió a la fiesta queda:
N = 80 + 100 = 180.
Espero haberte ayudado.
para encontrar las ecuaciones parametricas del subespacio vectorial recuerda que el numero de parametros es igual dimension -numero de ecuaciones implicitas por tanto en tu ejercicio necesitaras el parametro b por ejemplo y sera z=b luego tenemos:
2x+3y-z=0 pero z=b , luego 2x-3y=b (2) y x-y=0 despejamos x y tenemos x=y (3)
sustituyes (3) en (2) luego 2y-3y=b asi y=-b y como x=y tienes x=-b asi tus ecuaciones parametricas son x=-b y=-b y z=b luego para encontrar la base de tu subespacio vectorial tienes que que encontrar los vectores (x,yz)=b(-1,-1,1) luego es linealmente independiente y ademas el vector (-1,-1,1) genera a V por lo tanto la base de V ES IGUAL S={(-1,-1,1)} Y SU DIMENSION ES DIM=1
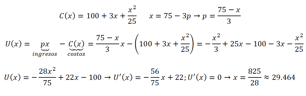
La producción de bicicletas de una empresa es de x unidades por mes, al costo toal de 100 +3X + X^2/25. Si la demanda es de x= 75-3p donde p es el precio por unidad, obtener el número de unidades óptimo, es decir, el valor de x que maximiza la utilidad. Aplicación de las derivadas , mi respuesta es que x= 29,464 , ¿me podrían decir si es correcta?

Puedes comenzar por tratar al numerador y al denominador por separado:
N = √(x2 - 1) = √( (x-1)(x+1) ) = √(x-1)*√(x+ 1),
D = x - 1 + √(x2-x) = ( √(x-1) )2 + √( x(x-1) ) = ( √(x-1) )2 + √(x)*√(x-1) = extraes factor común:
= √(x-1)*( √(x-1) + √(x) ).
Luego, observa que tienes la expresión de un enunciado:
f(x) = √(x2 - 1) / ( x - 1 + √(x2-x) ) = sustituyes = √(x-1)*√(x+ 1) / √(x-1)*( √(x-1) + √(x) ) = simplificas:
= √(x+ 1) / ( √(x-1) + √(x) );
y luego puedes pasar al cálculo del límite (te dejo la tarea, y verás que es igual a √(2).
Espero haberte ayudado.
Calcula las coordenadas de los vértices y la medida de los ángulos del triángulo determinado por las siguientes rectas:
r: 3x+2y-3=0
s: 2x-y-2=0
t: x+2y+9=0