Hola, alguien me podría ayudar con esta pregunta:
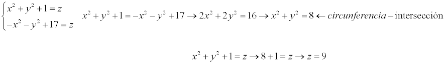
Tengo que calcular el volumen entre estos dos solidos:
Yo la integral la se plantear y también desarrollar, lo que no se, es porque la integral en Z el techo es 9, en la otra integral seria el piso.
A mí me enseñaron que en este ejercicio tengo que sumar 17 más 1 y al resultado dividirlo por dos, de ahí saco el 9
¿Cómo se puede justificar ese Z=9? ¿necesariamente está en la mitad? Mi problema es que no puedo justificar ese nueve.
Muchas gracias, disculpen las molestias.
Hola si pueden decirme por favor como seria el inciso 3) c) si tuviéramos los datos para hacerlo y si me pueden explicar la diferencia y utilidad del R2 ajustado y el R2 multiple. (se los rre agradeceria rindo el miércoles (desesperación) )

Me encantaría ayudarte, pero no respondo dudas universitarias que no tengan que ver específicamente con los videos que ya he grabado como excepcion. O de otras asignaturas que no sean matemáticas, física y química. Lo siento de corazón… Espero lo entiendas
Ojalá algun unicoo universitario se anime a ayudarte (de hecho lo ideal es que todos los universitarios intentarais ayudaros los unos a los otros)