
Tienes los datos:
el polinomio tiene coeficientes racionales (que son reales), por lo que por cada raíz compleja tienes que su conjugada también es raíz;
p(32) = 0, por lo tanto tienes la raíz: x1 = 32, por lo que tienes que (x-32) es un factor del polinomio;
p(1+i) = 0, por lo tanto tienes la raíz: x2 = 1+i, por lo que tienes que ( x-(1+i) ) = (x-1-i) es un factor del polinomio;
también tienes la raíz: x3 = 1-i, por lo que tienes que ( x-(1-i) ) = (x-1+i) es un factor del polinomio;
p(32i) = 0, por lo tanto tienes la raíz: x4 = 32i, por lo que tienes que (x-32i) es un factor del polinomio;
también tienes la raíz: x5 = -32i, por lo que tienes que ( x-(-32i) ) = (x+32i) es un factor del polinomio
Luego, puedes plantear la expresión factorizada del polinomio:
p(x) = A*(x-32)*(x-1-i)*(x-1+i)*(x-32i)*(x+32i) (1), donde A es el coeficiente principal.
Luego, tienes el dato:
p(0) = 32, reemplazas la expresión evaluada del polinomio en el primer miembro, y queda:
A*(0-32)*(0-1-i)*(0-1+i)*(0-32i)*(0+32i) = 32, resuelves factores, y queda:
A*(-32)*(-1-i)*(-1+i)*(-32i)*(32i) = 32, resuelves productos numéricos entre factores conjugados el primer miembro y queda:
A*(-1024+1024i) = 32, extraes factor común en el agrupamiento, y queda:
A*(-32)*2*1024 = 32, resuelves el producto numérico, y queda:
A*(-32768) = 32, divides por -32 en ambos miembros, y queda:
A*2048 = -1, haces pasaje de factor como divisor, y queda:
A = -1/2048, que es el coeficiente principal del polinomio;
luego, reemplazas en la expresión del polinomio señalada (1), y queda:
p(x) = (-1/2048)*(x-32)*(x-1-i)*(X-1+I)*(x-32i)*(X+32I).
Espero haberte ayudado.
Comprueba si las siguientes rectas son paralelas y calcula la distancia que las separa:
r: x= 2+2λ y= 3-λ
s: x= 3+t y= 3-t/2
para verificar si dos rectas son paralelas debs hacer el producto interno( o producto punto entre sus vectores directores ) las componentes de cada uno acompañan al parametro de las ecuaciones
el vector de la recta r lo denotare u=(2,-1) y el de s lo denotare como l=(1,-1/2) luego el producto escalar u*i=(2,-1)*(1,-1/2)=(2)(1)+(-1)(-1/2)=2+(1/2)=5/2 y es distinto de cero luego r y s no son rectas paralelas
Esta función sería continua en todos los números reales, no?
ƒ(x) = 2 - x2 si x ≠ 0
1 si x = 0
Hola Francisco. No, no sería contínua puesto que no es continua en x=0
f(0) para x≠0, es f(0)=2
f(0) para x=0, es f(0)=1
por lo que no es continua, es una discontinuidad evitable.
Esto debería estudiarse con límites, pero por simplificarlo lo he considerado con las imágenes de f(x)
Saludos.
En esta función a trozos: ƒ(x) = x2 - 2x si 0 < x ≤ 1
3x - 1 si x > 1
En x=0 habría una discontinuidad de segunda especie y en x=1 un discontinuidad de salto finito?
Un torpedero está anclado a 9 km del punto más próximo de la orilla. Se necesita enviar un mensajero al campamento situado en la orilla. La distancia entre el campamento y el punto más próximo referido es de 15 km. Teniendo en cuenta que el mensajero recorre a pie 5 km/h, y en un bote , remando 4 km/h, decir en qué punto de la orilla debe desembarcar para llegar al campamento lo más pronto posible. Aplicación a las derivadas , Gracias.
Lo más pronto posible es minimizar el tiempo que tarda en hacer el recorrido señalado
Sea x la distancia entre el punto más próximo referido y el punto de la orilla en la que debe desembarcar
Sea t(x) la función que mide el tiempo en función de x
será el tiempo que tarde remando más el tiempo que tarde caminando
y como el tiempo es igual a la distancia recorrida entre la velocidad a la que lo recorre
t(x) = (√(92+x2)(/4 + (15-x)/5
fíjate que remando hace √(92+x2) km y caminando 15-x km
y ahora derivas t(x)
igualas a cero, resuelves la ecuación y obtienes la solución
para comprobar que efectivamente es un mínimo debes realizar la segunda derivada y ver si es positiva en ese valor de x
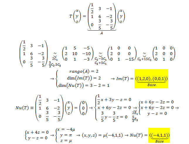
Hola necesito ayuda para averiguar el nucleo de esta transformacion lineal (1/2x+3y-z ; x+6y-2z ; (3y-3z)/5) desde ya muchas gracias