Foro de preguntas y respuestas de Matemáticas

logo beUnicoos
Los foros de unicoos se han unificado en nuestra nueva plataforma beUnicoos. Para dejar nuevas preguntas deberás hacerlo allí, donde además podrás encontrar nuevas asignaturas y herramientas para ayudarte más con tus estudios.

  • icon

    ivan duarte
    el 19/2/18

    porfavor necesito saber la derivada de g(t)= 10000t / t^2 + 1225 

    replythumb_up0 voto/sflag
    icon

    Antonius Benedictus
    el 19/2/18

    contestado

    thumb_up1 voto/sflag
  • icon

    carmela
    el 19/2/18

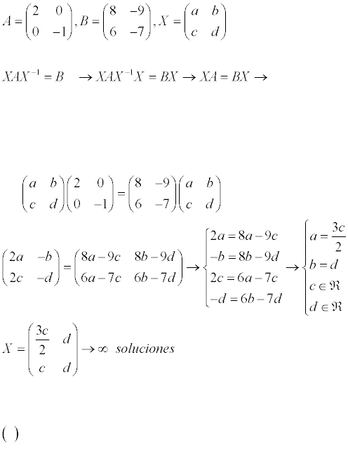
    en este ejercicio, puedo multiplicar los dos miembros por x? Y si es así en que orden pongo esa x porque el producto de matrices no cumple la propiedad conmutativa ¿no? No se si me explico...

    replythumb_up0 voto/sflag
    icon

    César
    el 19/2/18


    thumb_up0 voto/sflag
    icon

    carmela
    el 19/2/18

    Pero la pregunta es si tengo que multiplicar por X en el mismo orden en la primera y en la segunda igualdad. O sea, que no es lo mismo XB que Bx ¿cno?

    thumb_up0 voto/sflag
    icon

    Antonius Benedictus
    el 19/2/18

    Si, por la derecha:

    XA=BX

    Ahora, pon X como una matriz 2x2 con cuatro incógnitas x,y,z,t

    Opera, iguala y resuelve el sistema homogéneo que resulta.

    ¡El producto de matrices NO es, en general, conmutativo!


    thumb_up0 voto/sflag
  • icon

    Zanubia Nufuri
    el 19/2/18

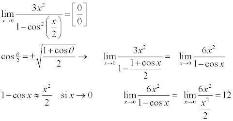
    Perdon, insisto con este limite (sin L'hospital) pues hubo un error de tipeo, el cos es del angulo mitad:

    limx-->0 (3x^2)/(1-(cos(x/2))^2)


    Gracias!


    replythumb_up0 voto/sflag
    icon

    César
    el 19/2/18



    thumb_up1 voto/sflag
  • icon

    Arnau Planas
    el 19/2/18

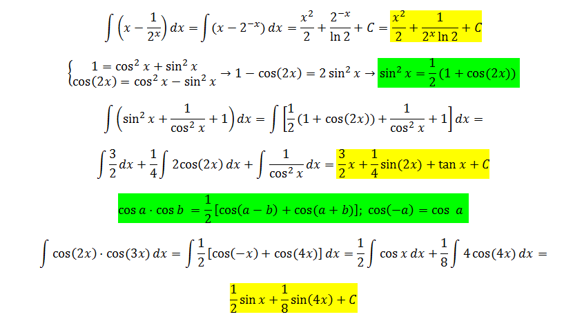
    Buenas tardes, ¿me podrían ayudar con estas integrales indefinidas?

    1- ∫ (x-1/2x ) dx

    2 - ∫ sin2x + 1/ cos2x + 1

    3 - ∫ (cos 2x · cos 3x) dx

    Muchas gracias.


    replythumb_up0 voto/sflag
    icon

    Antonius Benedictus
    el 20/2/18


    thumb_up0 voto/sflag
  • icon

    DAVID
    el 19/2/18

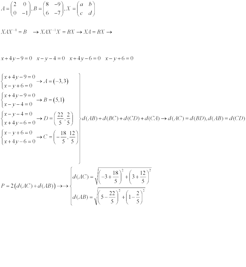
    Halla el perímetro del romboide delimitado por las siguientes rectas:

    a) x+4y-9=0   b) x-y-4=0   c) x+4y-6=0   d) x-y+6=0

     

    replythumb_up0 voto/sflag
    icon

    César
    el 19/2/18

    .


    thumb_up0 voto/sflag
    icon

    DAVID
    el 19/2/18

    Ya, pero como se hace?


    thumb_up0 voto/sflag
  • icon

    Sergi Raga Estruch
    el 19/2/18

    Me lo podéis resolver, gracias 

    replythumb_up0 voto/sflag

    Usuario eliminado
    el 19/2/18

    Tomamos la función, reemplazamos las variables con los valores del punto 'A' y despejas 'a' de la función:


    f(x) = x2 +2x +a


    3=(-2)2  +2(-2) +a

    3 = 4 -4 +a

    3 = a


    a = 3


    Entonces la función queda:    f(x) = x2  +2x +3

    Un saludo!!



    thumb_up0 voto/sflag
    icon

    César
    el 19/2/18


    thumb_up1 voto/sflag
  • icon

    Lsslie
    el 19/2/18

    Holaa, me podéis ayudar con este problema porfaaa; De todos los triangulos isosceles de 12 cm de perimetro, halla las longitudes de los lados del que tenga área máxima. Gracias !!!

    replythumb_up0 voto/sflag
    icon

    César
    el 19/2/18

    Lo puedes terminar tú 


    thumb_up0 voto/sflag
    icon

    Lsslie
    el 19/2/18

    Gracias!

    Tengo que decir tambn el intervalo, como hago eso ???

    thumb_up0 voto/sflag
  • icon

    ivan duarte
    el 19/2/18

    ¿ME PODEIS AYUDAR CON ESTA DERIVADA UTILIZANDO LA DEFINICION PORFAVOR?

    replythumb_up0 voto/sflag
    icon

    Antonius Benedictus
    el 19/2/18


    thumb_up1 voto/sflag
  • icon

    Pablo
    el 19/2/18

    Buenas,tengo una duda de geometría. Si me preguntan hallar un plano perpendicular otro ( por ejemplo a π) y que contenga a una recta, el plano solución estaría formado por el vector normal de π, el vector director de la recta y un punto de la misma no? Gracias de antemano

    replythumb_up0 voto/sflag
    icon

    César
    el 19/2/18

    Pues si eso es


    thumb_up0 voto/sflag
  • icon

    Zanubia Nufuri
    el 19/2/18

    hola Unicoos!!

    Me ayudan con el siguiente limite sin usar L'hospital? gracias!

    limx-->0 (3x^2)/(1-(cosx/2)^2)

    replythumb_up0 voto/sflag
    icon

    César
    el 19/2/18



    thumb_up1 voto/sflag