Me pueden ayudar con esta ecuacion difeencial
2y dy/dx- 6x dy/dx- 3y+9x=-6
porfavor

1°)
Tienes la ecuación deiferencial:
2y*dy/dx - 6x*dy/dx - 3y + 9x= -6, haces pasajes de términos, y queda:
2y*dy/dx - 6x*dy/dx = 3y - 9x - 6, extraes factor común en el primer miembro, y queda:
(2y - 6x)*dy/dx = 3y - 9x - 6, haces pasaje de factor como divisor, y queda:
dy/dx = (3y - 9x - 6)/(2y - 6x) (1).
2°)
Plantea el sistema de dos ecuaciones lineales, de primer grado y con dos incógnitas:
3y - 9x - 6 = 0,
2y - 6x = 0;
divides por tres en todos los términos de la primera ecuación y por dos en todos los términos de la segunda, y queda:
y - 3x - 2 = 0,
y - 3x = 0,
luego, observa que el sistema es incompatible, por lo que puedes plantear la sustitución (cambio de variable):
y - 3x = w (2), de donde tienes:
y = w + 3x, y también tienes:
dy/dx = dw/dx + 3.
3°)
Sustituyes las expresiones remarcadas en la ecuación diferencial señalada (1), y queda:
dw/dx + 3 = (3(w + 3x) - 9x - 6)/(2(w + 3x) - 6x);
luego, distribuyes y reduces términos semejantes en el numerador y en el denominador, y queda:
dw/dx + 3 = (3w - 6)/(2w);
luego, haces pasaje de término, y queda:
dw/dx = (3w - 6)/(2w) - 3;
luego, extraes denominador en el segundo miembro, resuelves su numerador, y queda:
dw/dx = (-3w - 6)/(2w);
luego, extraes factor común en el numerador,
escribes la ecuación como igualdad entre diferenciales, y queda:
2w*dw = -3(w + 2)*dx;
luego, haces pasaje de factor como divisor, y queda:
2( w/(w + 2) )*dw = -3*dx;
luego, expresas al factor fraccionario del primer miembro como suma de un factor entero más uno fraccionario (para ello, debes hacer la división del numerador entre el denominador), y queda:
2( 1 - 2/(w + 2) )*dw = -3*dx;
luego, integras en ambos miembros, y queda:
2(w - 2*ln|w + 2|) = -3x + C;
luego, sustituyes la expresión señalada (2) en el primer miembro, y queda:
2(y - 3x - 2*ln|y - 3x + 2|) = -3x + C;
luego, distribuyes en el primer miembro, y queda:
2y - 6x - 4*ln|y - 3x + 2|) = -3x + C,
haces pasaje de término, y queda:
2y - 4*ln|y - 3x + 2|) = -x + C,
que es una solución general implícita de la ecuación diferencial de tu enunciado.
Espero haberte ayudado.
¿Un subespacio de dimensión 1 representa una recta? ¿Otro subespacio de dimensión 2 o 3 representa un plano? Hablando en R3. Gracias
Buenas noches primero gracias por su atención.
No quiero que me mandéis la solución de este ejercicio ya que ya la tengo pero lo he realizado y no veo cuál es mi fallo podría mirarmelo graciasss
Un problemita.
Con mis compañeros ganamos una caja de chupetines, al repartirlo nos quedo 3 a cada uno y nos sobro 4. Cuanto chupetines habia en la caja?

Puedes llamar n a la cantidad total de amigos, y puedes llamar x a la cantidad de caramelos que contenía la caja;
luego, observa que tienes que:
a 1 amigo le tocaron 3 = 3*1 caramelos en total,
a 2 amigos les tocaron 6 = 3*2 caramelos en total,
a 3 amigos les tocaron 9 = 3*3 caramelos en total,
a 4 amigos les tocaron 12 = 3*4 caramelos en total,
y puedes inferir que:
a n amigos les tocaron 3*n caramelos en total;
luego, observa que la relación entre las cantidades queda expresada por la ecuación:
x = 3*n + 4;
que es a lo que se puede llegar con los datos de tu problema, ya que para saber el valor de una de las incógnitas de la ecuación es necesario saber de antemano el valor de la otra.
Espero haberte ayudado.
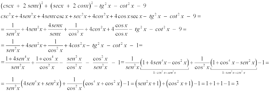
Buenas tardes, alguien me puede ayudar con este problema de trigonometría? gracias :)
Simplificar:
(cscx + 2 senx)2 + (secx + 2 cosx)2 - tg2 x - cot2 x - 9