
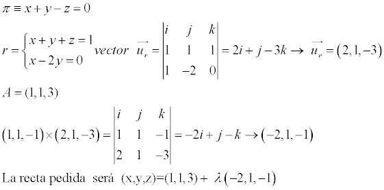
Observa que el vector n = <1,1,-1> es un vector normal al plano.
Luego, plantea el vector director de la recta s paralela al plano: u = <a,b,c>,
y observa que el vector director de la recta s es perpendicular al vector normal al plano,
por lo que puedes plantear que el producto escalar entre los vectores es igual a cero:
n•u = 0, sustituyes expresiones, y queda:
<1,1,-1>•<a,b,c> = 0, desarrollas el producto escalar, y queda la ecuación
a + b - c = 0, haces pasaje de término, y queda: a + b = c;
luego, sustituyes en la expresión del vector director de la recta s, y queda: u = <a,b,a+b>.
Luego, tienes que el punto A(1,1,3) pertenece a la recta s, por lo que puedes plantear sus ecuaciones cartesianas paramétricas:
x = 1 + a*t (1),
y = 1 + b*t (2),
z = 3 + (a+b)*t (3),
con t ∈ R.
Luego, como la recta s y la recta r cuyas ecuaciones cartesianas tienes en tu enunciado se cortan en un punto,
sustituyes las expresiones señaladas (1) (2) (3) en las ecuaciones de la recta r, y queda:
1 + a*t + 1 + b*t + 3 + (a+b)*t = 1,
1 + a*t - 2*(1 + b*t) = 0;
distribuyes, reduces términos semejantes y haces pasaje de término en ambas ecuaciones, y queda:
2*(a+b)*t = -4,
(a-b)*t = 1;
divides por 2 en ambos miembros de la primera ecuación, y queda:
(a+b)*t = -2 (4),
(a-b)*t = 1 (5);
divides miembro a miembro entre ambas ecuaciones, y queda:
(a+b)/(a-b) = -2, haces pasaje de divisor como factor, distribuyes en el segundo miembro, y queda:
a + b = -2*a + 2*b, haces pasajes de términos, y queda:
3*a = b (6);
luego, sustituyes la expresión señalada (6) en las ecuaciones señaladas (4) (5), reduces expresiones, y queda:
4*a*t = -2, aquí haces pasajes de factores como divisores, y queda: t = -1/(2*a) (7),
-2*a*t = 1, aquí haces pasajes de factores como divisores, y también queda: t = -1/(2*a);
luego, sustituyes las expresiones señaladas (6) (7) en las ecuaciones cartesianas paramétricas de la recta r, y queda:
x = 1 -1/2 = 1/2,
y = 1 -3/2 = -1/2,
z = 3 - 2 = 1,
por lo que tienes que la recta r y la recta s se cortan en el punto: B(1/2,-1/2,1).
Luego, puedes plantear que el vector AB es un vector director (U) de la recta r, y tienes:
U = AB = <1/2-1,-1/2-1,1-3> = <-1/2,-3/2,-2 >;
luego, con el vector director U y el punto A, puedes plantear las ecuaciones cartesianas paramétricas de la recta r:
x = 1 - (1/2)*p,
y = 1 - (3/2)*p,
z = 3 - 2*p,
con p ∈ R.
Espero haberte ayudado.
creo que te has equivocado en la ecuación del punto genérico de la recta s en el resultado de z y también te has equivocado en el ultimo paso porque has repetido la misma coordenada cuando divides entre 3 y -6, si puedes decirme si esta bien mi correccion y mandármelo bien resuelto te lo agradecería. a mi me me dio como solución : 14x+2y-3z=16 y 14x+2y-12z=2 como intersección de dos planos, no se si estará bien.
Hola.
Tengo este ejercicio:
Se sabe que:
Y en mis apuntes dice:
Dice que para calcular el infinitésimo equivalente, se pone algún término del desarrollo de cada función (y lo he comprobado y el límite de la división de ambas funciones efectivamente sale 1, es decir, que son equivalentes).
¿Por qué en el caso del ejercicio de la primera imangen donde hago exactamente lo mismo (poner algún término del desarrollo de cada función) no obtengo un infinitésimo equivalente (puesto que el límite de la división de ambos es 0.5 y no 1)?
Muchas gracias.
Un saludo.

Tienes la expresión de la función, yobserva que su dominio es R,
y que es continua y derivable en R:
f(x) = a*senx + b*x*cosx (1),
y las expresiones de sus funciones derivadas primera y segundas son:
f ' (x) = a*cosx + b*cosx - b*x*senx = (a+b)*cosx - b*x*senx (2),
f ' ' (x) = -(a+b)*senx - b*senx - b*x*cosx = -(a+2*b)*senx - b*x*cosx (3),
y observa que las funciones derivadas primera y segunda están definidas en R.
a)
Tienes en tu enunciado que el punto A(π,-π) pertenece a la gráfica de la funcion, por lo que reemplazas sus coordenadas en la expresión de la función señalada (1), resuelves términos, y queda:
-π = - b*π, divides por π en ambos miembros, y queda: -1 = -b, haces pasajes de términos, y queda: b = 1
Tienes en tu enunciado que la gráfica de la función presenta un extremo relativo en su punto con abscisa: x = 2*π,
por lo que planteas la condición de punto crítico (posible extremo), y queda:
f ' (2*π) = 0, sustituyes la expresión evaluada de la función derivada primera señalada (2), y queda:
a + b = 0, haces pasaje de término, y queda:
a = -b, reemplazas el valor remarcado, y queda: a = -1.
Luego, tienes que las expresiones de la función, de la función derivada primera y de la función derivada segunda quedan:
f(x) = -senx + x*cosx (1*),
f ' (x) = -x*senx (2*),
f ' ' (x) = -senx - x*cosx (3*).
b)
Evalúas el valor crítico (x = 2*π) en la expresión de la función derivada segunda señaladas (3*), y queda:
f ' ' (2*π) = -2*π < 0,
por lo que tienes que la gráfica de la función es cóncava hacia abajo en el punto crítico, por lo que puedes concluir que presenta un máximo relativo en x = 2*π.
c)
Planteas la condición de punto crítico (posible máximo o posible mínimo), y queda:
f ' (x) = 0, sustituyes la expresión de la función derivada primera señalada (2*), y queda:
-x*senx = 0, multiplicas en ambos miembros por -1, y queda:
x*senx = 0;
luego, por anulación de un producto, tienes dos opciones:
c1)
x = 0, que al evaluar en la expresión de la función derivada segunda señalada (3*) queda:
f ' ' (0) = 0, por lo que no es posible caracterizar a este punto crítico y, para determinar su carácter, evalúas la expresión de la función derivada segunda señalada (3*) para él y para dos valores cercanos, y tienes:
f ' ' (-π/6) = 1/2 + (π/6)*√(3)/2) ≅ 0,9534 > 0,
f(0) = 0,
f (π/6) = -1/2 - (π/6)*√(3)/2) ≅ -0,9534 < 0;
por lo que puedes concluir que la gráfica de la función presenta inflexión en x = 0, porque es cóncava hacia arriba para valores menores que él, y es cóncava hacia abajo para valores mayores que él;
c2)
senx = 0, que al componer en ambos miembros con la función inversa del seno, quedan dos opciones
c21)
x = 2*k*π, con k ∈ Z-{0}, que el evaluar en la expresión de la función derivada segunda señalada (3*) queda:
f ' ' (2*k*π) = -2*k*π,
por lo que tienes:
que la gráfica de la función es cóncava hacia arriba en estos puntos críticos para k < 0, que resultan ser mínimos relativos
y que y que es cóncava hacia abajo en estos puntos críticos para k > 0, que resultan ser máximos relativos;
c22)
x = (2*m-1)*π, con m ∈ Z, que el evaluar en la expresión de la función derivada segunda señalada (3*) queda:
f ' ' ( (2*m-1)*π ) = (2*m-1)*π,
por lo que tienes:
que la gráfica de la función es cóncava hacia abajo en estos puntos críticos para m ≤ 0, que resultan ser máximos relativos
y que y que es cóncava hacia arriba en estos puntos críticos para m ≥ 1, que resultan ser mínimos relativos.
d)
Como tienes el dominio restringido al intervalo cerrado [0,2*π], tienes los puntos críticos:
x = 0 (que es extremo del intervalo, y que ya fue determinado en el paso c1),
x = π (que es un punto perteneciente al intervalo, y que ya fue determinado en el paso c22),
x = 2*π (que es extremo del intervalo, y que ya fue determinado en los pasos b y c21);
luego, evalúas la expresión de la función señalada (1*) en los tres puntos, y queda:
f(0) = 0,
f(π) = -π,
f(2*π) = 2*π;
por lo que puedes concluir:
que la gráfica de la función presenta mínimo absoluto en x = π,
y que el valor de la función para él es: f(π) = -π,
que la gráfica de la función presenta máximo absoluto en x = 2*π,
y que el valor de la función para él es: f(2*π) = 2*π,
que la gráfica de la función presenta máximo relativo en x = 0,
y que el valor de la función para él es: f(0) = 0.
Espero haberte ayudado.
Hola.
¿Por qué la función f(x)=xsen(1/x) no existe en x=0? Aunque dé infinito lo que hay en el paréntesis, el sen de infinito va a ser un valor que estará entre [-1,1], y cualquier valor de ese intervalo multiplicado por 0 será 0, ¿no? ¿Qué tendría en 0, una discontinuidad evitable? ¿Cómo se representaría en dicho punto?
Muchas gracias.
Un saludo.

Observa que no puedes evaluar la expresión de la función en x = 0, por lo que tienes que su dominio es: R - {0}.
Luego, para valores pertenecientes al dominio y muy cercanos a cero, puedes plantear el límite:
Lím(x→0) f(x) = Lím(x→0) x*sen(1/x) = 0,
y lo justificas porque la expresión sen(1/x) está acotada entre -1 y 1, y el primer factor tiende a cero (observa que la gráfica de la función presenta discontinuidad puntual, o evitable, en x = 0).
Luego, y una vez realizado este análisis, puedes redefinir la función, y su nueva expresión (a trozos) queda:
F(x) =
x*sen(1/x) si x ≠ 0,
0 si x = 0;
y esta nueva función, que si está definida en x = 0, tiene dominio R y es continua en x = 0.
Espero haberte ayudado.
Buenos días, podrían ayudarme con este ejercicio: Sea el segmento AB de extremos A (3,0) y B (0,3). Aplícale un giro de 60 grados centrado en el origen de forma que también multiplique por 2 su longitud. Calcula las coordenadas del nuevo segmento A’B’
mi dificultad es poner el segmento AB en forma de número complejo
gracias
Buenos días a todos! Tengo una duda con un problema:
Una franquicia va a abrir en una ciudad con 325000 habitantes y realiza una campaña de publicidad donde estima el porcentaje de clientes potenciales que responderá a la publicidad y que se modela a través de esta función: P(t)=1-e^0.3t, t˃0 (t es tiempo en semanas) . El problema te pide que halles el porcentaje de población que responde a la publicidad (aquí he sustituido en esta función y sin problemas) El problema me surge en el 2º apartado que dice: Se estima que cada cliente gastará 100 euros cada semana. Hallar la función I(t) que modela los ingresos de la empresa. Tengo dudas si es una función lineal o cuadrática. Muchas gracias !!
P(t)= 1-e-0.3*t = 1-(1/e0.3*t)
a) P(2)= 1-(1/e0.3*2) = 1-(1/e0.6) ≈ 0.4512 %
100% ----> 325916
0.4512 % -------> x
x≈ 1470.5004004 ≈ 1471 personas responderán (responder=ser cliente)
b)