Foro de preguntas y respuestas de Física

logo beUnicoos
Los foros de unicoos se han unificado en nuestra nueva plataforma beUnicoos. Para dejar nuevas preguntas deberás hacerlo allí, donde además podrás encontrar nuevas asignaturas y herramientas para ayudarte más con tus estudios.

  • icon

    Adrián
    el 13/12/16

    Hola muy buenas el ejercicio 26 pertenece a la hoja de ejercicios del tema de gravitacion universal de los ejercicios propuestos por Unicoos. Mi problema es que no entiendo el planteamiento, me explico, supongo que sera Ep+Ec=Em pero de ser asi la Em no deberia ser Em=-G(Mm)/2Rt+2h

    replythumb_up0 voto/sflag
    icon

    Francisco Javier
    el 14/12/16

    Adrián, se trata de un problema donde se lanza un objeto en la superficie del planeta. En estos problemas por lo general se busca encontrar la velocidad inicial mínima que debe tener dicho objeto para moverse infinitamente lejos de un planeta cualquiera. A esta velocidad se le conoce como velocidad de escape. La resolución de estos problemas siempre tienen el mismo planteamiento: aplicar conservación de energía entre la superficie del planeta y la altura máxima que alcanza el objeto. En la superficie del planeta el objeto tiene energía cinética y energía potencial gravitatoria pero a la altura máxima solo tiene energía potencial gravitatoria. Si hablamos de la Tierra, por conservación de energía se produce la ecuación: E= ½mv2 - GMtm/Rt = -GMtm/(h+Rt) que es general; aplica para cualquier problema de este tipo. No se, pero  que estas confundiendo la energía mecánica total que posee un sistema de planeta-sol, satélite-tierra, etc.  Ósea sistemas que consisten en movimiento planetario, donde la ecuación de energía mecánica total viene dada por la expresión: E = - GMm/2r. El asusnto es que el problema que subes esta resuelto de manera muy clara y esta correcto.  Espero haya sido claro; si no lo fui avísame nada más. 

    thumb_up1 voto/sflag
    icon

    Adrián
    el 14/12/16

    Vale muchas gracias por la aclaracion

    thumb_up0 voto/sflag
  • icon

    Enrique Sánchez Sancho
    el 13/12/16
    flag

    Tengo un problema: Un motor con excitación en serie trabaja en plena carga, absorbiendo 25 A de una red de 230 V y girando a una velocidad de 1750 rpm. La resistencia del inducido vale 0,15 ohmios y la del inductor , 2 ohms. Suponiendo que las pérdidas mecánicas y en el hierro ascienden a un 15 % de la potencai absorbida, calcula: A) La fuerza contraelectromotriz inducida. B)La potencia útil. C) El par motor interno.

    replythumb_up0 voto/sflag
    icon

    Francisco Javier
    el 14/12/16

    Si las perdidas mecánicas y las del núcleo son mayores que la potencia de entrada, que es lo que me da a entender el enunciado, básicamente el motor no funcionaria, al menos no para lo que se suele utilizar. Estas seguro que estas pérdidas sobrepasan en un 15 % a la potencia de entrada o son un 15 % la potencia de entrada. Fíjate que son enunciados completamente distintos. Espero tu respuesta..

    thumb_up0 voto/sflag
    icon

    mikel
    el 17/12/16

    Aunque va con un poco de retraso, espero que te sirva.

    Saludos.


    thumb_up1 voto/sflag
  • icon

    Cindy Salinas
    el 13/12/16

    hola queria que me ayuden en una pregunta es de electrodinamica es la pregunta B me trabe no me da la intensidad porfii una ayudita! gracias geenios <3

    replythumb_up0 voto/sflag
    icon

    Francisco Javier
    el 14/12/16

    Hola Cindy. Te dejo la resolución del problema en la siguiente imagen. Cualquiera duda, por favor házmelo saber. Saludos cordiales.


    thumb_up0 voto/sflag
    icon

    David
    el 19/12/16

    thumb_up0 voto/sflag
  • icon

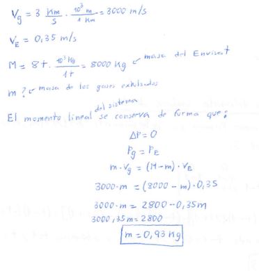
    Pablo
    el 13/12/16
    flag

    Hola, busco ayuda con este problema:

    Envisat es uno de los satélites lanzados por la Agencia Espacial Europea para estudiar el medioambiente a escala global. Para cambiar o modificar su órbita utiliza como combustible hidracina (N2H4). El módulo de propulsión proporciona una velocidad de salida de gases de unos 3km/s. Si queremos incrementar la velocidad del Envisat (m=8T) en 0,35 m/s, ¿cuánta masa de hidracina se necesitará?


    Gracias

    replythumb_up0 voto/sflag
    icon

    Guillem De La Calle Vicente
    el 13/12/16


    thumb_up2 voto/sflag
  • icon

    José
    el 13/12/16

    Hola, me podrían ayudar con este ejercicio.

    Se lanza una pelota para arriba con una velocidad inicial de 12,5 m/s.

    a) Altura máxima. b) Velocidad que tendrá la pelota después de 1 segundo de lanzarla. c) Tiempo total del vuelo.

    Gracias

    replythumb_up1 voto/sflag
    icon

    Francisco Gutiérrez Mora
    el 13/12/16

    Te va, Jordi. Un Saludo.

    thumb_up1 voto/sflag
    icon

    Lucía
    el 13/12/16

    Esto es uno de los ejercicios de Tiro vertical que deberías buscar en los vídeos!!

    Escribimos las fórmulas que nos sabemos

    Y = Yo + VoT + aT2 *1/2

    Vf = Vo + aT


    sólo tienes que sustituir los datos que te dan en las fórmulas. Primero iremos con el apartado b)

    Vf = 12'5 - 9'81 * 1

    Vf = 2,69 m/s


    Ahora vamos con el apartado a)

    Calculamos el tiempo que está en el aire despejando de la segunda fórmula

    0 = 12'5 - 9'81 * T

    T = 1'27 s


    Ahora pasamos el T a la primera fórmula. Vamos a calcular la Y, altura máxima.

    Y = 0 + 12'5 * T - 9'81 * T2 * 1/2

    Y = 12'5 * 1'27 -9'81 * 1'272 * 1/2

    Y = 7'96 m


    Apartado, c)

    Ttotal = Tsubida + Tbajada


    Tiempo de subida y bajada es igual.

    T total = 2'5 s


    Espero haber ayudado, saludos!



    thumb_up1 voto/sflag
  • icon

    Juan Carlos Camacho
    el 13/12/16

    Hola, me gustaría preguntar un par de ejercicios

    1. Lanzan una moneda desde 30 cm a una velocidad de 5 m/s. Calcula:

    a) altura máxima

    b) tiempo que tarda

    c) velocidad

    2. un coche de masa 750g y tiran con una fuerza de 5N en un ángulo de 30º. Calcula la aceleración.


    Gracias

    replythumb_up0 voto/sflag
    icon

    Francisco Gutiérrez Mora
    el 13/12/16

    Juank, pon los enunciados originales o explica mejor las preguntas. Un Saludos

    thumb_up0 voto/sflag
    icon

    Francisco Gutiérrez Mora
    el 13/12/16

    El segundo tal como lo entiendo:

    F=m·a→ a=F/m=5·cos 30/0.75=5.77 m/s²

    Un Saludo.

    thumb_up0 voto/sflag
    icon

    Francisco Gutiérrez Mora
    el 13/12/16

    En cuanto al primero:

    Tiempo que tarda en qué?  Vuelo toal, subir, bajar......

    Velocidad, qué velocidad? Velocidad al alcanzar la altura máxima, al llegar al suelo, cuál de ellas. 

    Hay que poner los enunciados para que los entiendan todos los que lo lean. no para entenderlos nosotros mismos.

    Saludos.

    thumb_up0 voto/sflag
    icon

    Lucía
    el 13/12/16

    El apartado a) y b) y c)

    Escribimos las fórmulas que nos sabemos

    Y = Yo + VoT + aT2 *1/2

    Vf = Vo + aT

    -

    Vf = Vo + aT

    0 = 5 - 9'81 * T

    T = 0'5 s

    Y = Yo + VoT + aT2* 1/2

    Y = 0'03 + 5 * 0'5 - 9'81* 0'52 * 1/2

    Y = 1'30 m


    El apartado c) no se a qué se refiere. Si es a la velocidad final es 0.


    Cuando tengas tiempo, mira los vídeos de tiro vertical y caída libre. Espero haber ayudado, ¡saludos!


    thumb_up0 voto/sflag
  • icon

    Jose
    el 13/12/16
    flag

    Hola! Buen dia. Quería consultarles acerca de una definición en Física; es el concepto de momento dipolar magnético (Mu), el mismo se que se define como una corriente I por un cierto área A definida por el vector normal a la espira en estudio.

    Mi problema es que no se que representa ese concepto en la figura. ¿Qué me indica? Desde ya, muchas gracias

    replythumb_up0 voto/sflag
    icon

    David
    el 19/12/16

    ¿que figura?

    thumb_up0 voto/sflag
  • icon

    Jesus Romero
    el 12/12/16

    Me podríais ayudar con este ejercicio de péndulos:

    Un reloj  de  péndulo que  ha  sido cuidadosamente  calibrado para  marcar  el  tiempo correcto en un lugar  donde  g  vale  9,815  ms-2,  retrasa  25  s  por  día  cuando se  lleva  a  otro lugar  geográfico. ¿Cuánto vale  g  en  ese lugar?


    Muchas gracias

    replythumb_up0 voto/sflag
    icon

    Francisco Javier
    el 13/12/16

    Hola Jesús. Te dejo la resolución del problema en la siguiente imagen. Cualquiera duda, por favor, házmelo saber. Saludos cordiales.

     

    thumb_up0 voto/sflag
  • Usuario eliminado
    el 12/12/16

    Hola, Me ayudan con este ejercicio? Tengo en un calorimetro ideal 100 gramos de Agua y 100 gramos de hielo en equilibrio termico. Se sustraen con un dispositivo 10000 calorias en calor, y el sistema alcanza un nuevo equilibrio termico. Ce Agua= 1cal/g.K | Ce Hielo= 0,5cal/g.K, Lf= 80cal/g.
    Me pide hallar:

    a) El estado final del sitema , la masa de hielo y la masa de agua.

    b) Entre estado final y estado inicial cuanto calor entregan los 100 gramos de agua?


    Tengo muchos problemas para lograr terminar este ejercicio, se que la energia necesaria para pasar de agua a hielo es de 8000 calorias :  Qf= m.LF ( Q =100g.80cal/g) .

    replythumb_up0 voto/sflag
    icon

    Francisco Javier
    el 13/12/16

    Me parece que haría falta saber cuál es la temperatura de equilibrio inicial. Aunque podría asumir sin temor a equivocarme que la temperatura de equilibrio inicial entre el agua y el hielo son los cero grados centígrados, ya que esta es la única manera para que pueda existir dicha mezcla. A temperatura de equilibrio mayor a los cero grados centígrados el hielo seria agua  y a temperatura de equilibrio menor a los cero grados centígrados el agua seria hielo por el punto de fusión-congelación que ya debes conocer. Si me gustaría saber de tu persona si el enunciado que pusiste es literal, porque puede ser que se te haya pasado colocar algún dato más. Así puedo resolver en base a lo que me da el problema y no haciendo suposiciones. Espero tu respuesta colega..

    thumb_up0 voto/sflag

    Usuario eliminado
    el 13/12/16

    Hola Francisco, el enunciado esta tal vez un poco resumido, pero los datos estan tal cual estaban en el ejercicio. Si el equilibrio termico son 0 grados centigrados.

    thumb_up0 voto/sflag
  • icon

    Ariel Quinteros
    el 12/12/16

     ayuda

    replythumb_up0 voto/sflag
    icon

    Francisco Javier
    el 13/12/16

    Hola Ariel. Te dejo la resolución del problema en la siguiente imagen. Cualquiera duda, por favor, házmelo saber. Saludos cordiales.

     

    thumb_up0 voto/sflag
    icon

    Francisco Gutiérrez Mora
    el 13/12/16

    Francisco Javier,  por favor, el dato del ángulo de 45 º de dónde sale?

    thumb_up0 voto/sflag
    icon

    Ariel Quinteros
    el 13/12/16

    Javier de donde sacaste 45°? 

    thumb_up0 voto/sflag
    icon

    Francisco Javier
    el 14/12/16

    No sale de ningún lado, yo lo asigne. Para resolver este problema se necesita tener el ángulo que forma la fuerza oblicua con la línea de acción. Como no la dan, no se puede resolver. Mi resolución fue hecha en base a obtener el trabajo máximo posible producido por las fuerzas, lo cual se logra únicamente si el ángulo es de 45 grados. Sin embargo, esto no quiere decir que el ángulo no pueda ser otro. Yo lo hice así por las razones que ya te di. Un error no haberlo dicho las suposiciones cuando subí la resolución, pido disculpas por ese lado. 

    thumb_up0 voto/sflag