Foro de preguntas y respuestas de Física

logo beUnicoos
Los foros de unicoos se han unificado en nuestra nueva plataforma beUnicoos. Para dejar nuevas preguntas deberás hacerlo allí, donde además podrás encontrar nuevas asignaturas y herramientas para ayudarte más con tus estudios.

  • icon

    Rocío
    el 15/12/16

    Hola! Tengo un problema que por más que lo intento no sale... Agradecería que me ayudaran si fuera posible. Gracias!

    La densidad de un material sintético es 180 kg/m3. Calcula:

    ¿Qué masa tendría un litro de este material?

    ¿Qué volumen ocuparía 27 kg?

    Gracias!


    replythumb_up0 voto/sflag
    icon

    Francisco Gutiérrez Mora
    el 15/12/16

    d=m/v=180 kg/m³=180g/l

    a) m=V·d=1·180g =180g=0.18 Kg

    b) V=m/d=27000g/180g/l=150 litros.

    Un Saludo.

    thumb_up0 voto/sflag
  • icon

    lexar
    el 14/12/16

    Hola....tengo un problema y es que no se me dan muy bien las integrales,el objetivo del problema es plantearlo de manera que se haga uso de ellas (integrales).......La velocidad inicial de una bola canon es 0.20 km/s si la bola es disparada hacia un blanco que esta a una distancia horizontal de 3.0 km desde el cañón ¿cúal es el tiempo mínimo de vuelo de la bola?....disculpas y gracias de antemano


    replythumb_up0 voto/sflag
    icon

    Francisco Gutiérrez Mora
    el 15/12/16

    Lexar, te lo envío hecho. Un Saludo.

    thumb_up0 voto/sflag
  • icon

    María
    el 14/12/16

    Ayuda, por favor!

    Determina el punto (distancia) entre la Tierra y la Luna donde las naves Apolo que viajaron a la Luna no estuvieron sometidas a fuerza de atracción gravitatoria, es decir, donde se anulan las fuerzas de atracción de la Tierra y de la Luna. Distancia entre centros Tierra-Luna 384000 km.

    Solución: 345600 km desde el centro de la Tierra y a 38400 km desde el centro de la luna.

    replythumb_up0 voto/sflag
    icon

    Raul
    el 14/12/16


    thumb_up0 voto/sflag
    icon

    María
    el 14/12/16

    Muchísimas gracias, Raúl.

    thumb_up0 voto/sflag
  • icon

    Raul
    el 14/12/16

    Hola muy buenas a todos!! Necesito vuestra ayuda que estoy ahora mismo atascado a la vez que saturado! 


    CALCULA LA VELOCIDAD APROXIMADA CON LA QUE LLEGARÍA A LA SUPERFICIE DE VENUS UN OBJETO DE 50 KG QUE PARTE DESDE EL REPOSO DESDE UN PUNTO A 500 m DE LA SUPERFICIE DE VENUS.

    datos: Mv (4,87 •10^24) Rv (6050 km)

    respuestas:

    a)94 m/s

    b)57 m/s

    c)108m/s

    d)87m/s


    muchas gracia a todos!!


    replythumb_up0 voto/sflag
    icon

    Francisco Gutiérrez Mora
    el 15/12/16

    Te va, Raul. Un Saludo.

    thumb_up1 voto/sflag
  • icon

    Álvaro Rodríguez González
    el 14/12/16

    Hola! Necesito ayuda en un ejercicio (nivel DIOS como el dice) que nos ha mandado hoy nuestro profesor de física, lo he intentado de todas las formas pero no consigo sacarlo... 

    replythumb_up1 voto/sflag
    icon

    Francisco Gutiérrez Mora
    el 15/12/16

    Álvaro, te envío lo que yo concibo, no sé si es lo que te piden realmente. Un Saludo.

    thumb_up0 voto/sflag
  • icon

    Sol
    el 14/12/16


    Hola! Tuve un exámen hoy y al hacer este ejercicio usé la fórmula  ΔEm = WFr, ya que la fuerza de rozamiento en el trozo B-C no es 0, por lo tanto no se conserva la energía. Pero al llevar a cabo toda esta fórmula me salía μ = -17, y como que eso no puede ser... Por si me podéis ayudar, si hace falta hago de nuevo el ejercicio y os mando el procedimiento. A la gente de la clase les daba μ = 0.33 pero usando la conservación de la energía. Gracias!

    replythumb_up0 voto/sflag
    icon

    Francisco Gutiérrez Mora
    el 14/12/16

    Hola Sol, te envío el ejercicio hecho paso a paso y explicado. Un Saludo.

    thumb_up1 voto/sflag
    icon

    Sol
    el 14/12/16

    Pero... no se puede usar la fórmula ΔEm = WFr?


    Emf - Emo = Fr.d.cosFd = -μ .N.d.cosFd = -μ .m.g.d.cos0 = -μ.m.g.d?

    thumb_up0 voto/sflag
    icon

    Sol
    el 14/12/16

    Por cierto gracias por contestarme y ayudarme :3

    thumb_up0 voto/sflag
    icon

    Francisco Gutiérrez Mora
    el 15/12/16

    A ver Sol:

    Lo que haces está bien, pero la expresión: -μ.m.g.d, a cuántos julios  es igual?

    -μ.m.g.d=-µ·10·10·6=-600μ;  esto hay que igualarlo a la diferencia de Em entre el punto A y el muelle comprimido. Espero haberte aclarado. Un saludo



    thumb_up1 voto/sflag
  • icon

    Juan Luis Estaras Ojeda
    el 14/12/16
    flag

    Sin usar el periodo y teniendo grafica x,t y grafica v,t, como sacarian la ecuacion de un mas?El periodo se puede usar para sustituirlo por t en la ecuacion pero no para obtener otros datos a partir de el, la mecanica creo que era viendo las condiciones iniciales, pero no caigo

    gracias de antemano

    replythumb_up0 voto/sflag
    icon

    David
    el 20/12/16

    Si nos dejas de nuevo una foto con el enunciado exacto y literal, la funcion y todos los datos podremos intentar ayudarte. Un abrazo!

    thumb_up0 voto/sflag
  • icon

    Adrián
    el 13/12/16

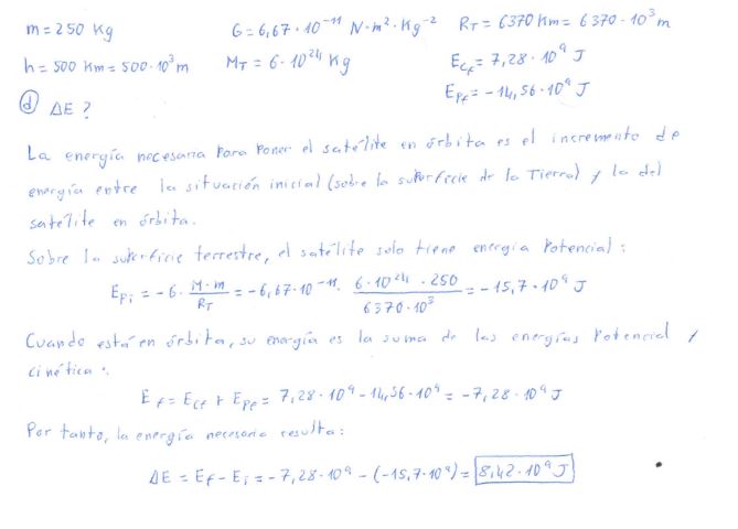
    Me podrias ayudar en este ejercicio. Sobre todo no entiendo la diferencia en que te pida el trabajo o la energia para ponerlo en orbita. Muchas gracias de antemano

    replythumb_up0 voto/sflag
    icon

    Guillem De La Calle Vicente
    el 13/12/16


    thumb_up0 voto/sflag
    icon

    Javier Martin Mena
    el 13/12/16

    E

    thumb_up0 voto/sflag
  • icon

    mauricio
    el 13/12/16

    no logro entender ... me pueden ayudar porfavor

    replythumb_up0 voto/sflag
    icon

    Javier Martin Mena
    el 13/12/16

    1- Simplemente tienes que utilizar la formula de T = (Vf-V0)/G o h = V0.T.(1/2).g.t2. Lo único que cambia es que en el vacío no hay ninguna resistencia en la caída es decir, no hay fuerzas de rozamiento. 


    2- Para este apartado vamos a ver un ejemplo.

    - Velocidad inicial de lanzamiento ............ Vo = 5 m /s ↑ 

    - Velocidad final en el punto más alto ........ Vf = 0 
    - Fuerza de la gravedad ............. .......... .... .....g = – 9,8 m /s² ↓ 
    - Altura máxima alcanzada .......... ................ h = ? 

    Para hallar la altura utilizamos la formula de ( Vf )² – ( Vo )² = 2 . g . h ---------) Y simplemente sustituir valores.------) ( 0 ) – ( 5 )² = 2 ( – 9,8 ) ( h ) =) – 25 = – 19,6 h =) (-25/-19,6) = h donde  h = 1,275 metros 




    thumb_up1 voto/sflag
    icon

    Francisco Gutiérrez Mora
    el 14/12/16

    Mauricio, te lo dejo explicado paso a paso. Un Saludo.

    thumb_up1 voto/sflag
  • icon

    ariel
    el 13/12/16

    hola una mano con este por favor 

    replythumb_up0 voto/sflag
    icon

    Francisco Gutiérrez Mora
    el 13/12/16

    Te va, Ariel.

    thumb_up0 voto/sflag