primero realiza un diagrama de cuerpo libre del punto que te piden descomponiendo las fuerzas en algo similar a lo que hice, despues plantea la sumatoria de fuerzas en el eje "x" que quedaria algo asi
T-P=m.a la aceleración es la aceleración centralita que la podes reemplazar por (v^2)/R


La bola experimenta una fuerza centrípeta, al girar alrededor de la cuerda, en la cuerda aparece una fuerza de tensión que evita que la bola salga de la trayectoria.Ambas fuerzas han de igualarse para que se mueva a la velocidad constante v.La tension implicada es T_x=T·Cos φ.La fuerza centrípeta F_c=(m·v^2)/R. Despejando T, T=(m·v^2)/(R·Cos φ)
Alguien podria ayudarme a resolver este ejercicio no se por donde cogerlo gracias de antemano.
Ejercicio 1 . Una pequeña central hidroeléctrica tiene un salto de agua de 60 m. El agua procede de una presa capaz de almacenar 10000 m3. Con este volumen la presa puede funcionar sin interrupción durante 16 horas. Toda la energía potencial que tiene el agua llega a la turbina, pero el rendimiento de la turbina, al transformarla en energía eléctrica solo alcanza el 80%.
Calcular:
a) La energía eléctrica útil, expresada en kWh, proporcionada por la turbina.
b) La potencia de dicha turbina.
Hola....! disculpa pero quería saber si me podían ayudar con este ejercicio de física:
Un resorte de constante elástica K = 100 N/m se encuentra comprimido por un bloque de masa m = 1 Kg. Cuando se lo libera el bloque atraviesa un trayecto de longitud L = 2 m donde existe rozamiento y cuyo coeficiente dinámico es = 0,2 . Finalmente asciende por un plano inclinado sin rozamiento y abandonando el mismo con una velocidad cuyo modulo es 4 m/s . Considere que el plano inclinado tiene una altura h = 1 m y ángulo de inclinación = 37º.
a) Hallar la compresión inicial del resorte.
b) Hallar la altura máxima respecto del piso que alcanzo el bloque luego de abandonar el plano inclinado.
Agradezco mucho, la ayuda. Quiero entenderlo, pero no encuentro forma.
Gracias.
Hola, como sería este ejercicio amigo ?
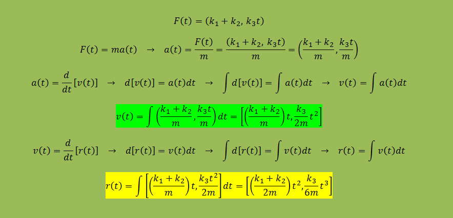
Un objeto de masa m está en el origen de un sistema de coordenadas, en reposo y en equilibrio. En t = 0 s se aplica una fuerza F(t) cuyas componentes son Fx (t)=k 1+k2 y Fy (t)=k 3 t donde k1, k2 y k3 son tres constantes. Calcula los vectores de posición r(t) y velocidad v(t) en función del tiempo.
Muchas Gracias
Buenas. Necesito ayuda con este problema:
Un niño (m=30 kg) está montado en la rueda del parque de diversiones. La rueda gira uniformemente en un círculo vertical de radio 20m y completa una vuelta cada 22 segundos. ¿Cuál es la fuerza resultante sobre el niño en la parte más alta de la trayectoria?
Según la 2ª Ley de Newton, Ftotal =ma. Ftotal = Fc + P (recuerda que la fuerza centrípeta siempre está dirigida hacia el centro de la trayectoria circular que se describe. A partir de ahí no es muy difícil, pues Fc=mv2/R y P=mg. Se sabe que v=x/t , y el espacio recorrido es la longitud de la circunferencia (L=2πR). Se deduce entonces que v=2πR/t. Como dispones de todos los datos, sustituyes y resuelves el ejercicio.
Buenas tardes unicoos quiero que me ayuden con este problema. Desde una altura de 80 m cae un objeto en el musmi instante que empieza caer y un individuo inicia una carrera para evitar su impacto en el suelosi se encuentra a una distanciaorizontalde 30m de la vertical de caida pregunta que velocudad constante debe tomar para lograrlo

Con todo respeto, pero el problema está muy mal planteado. En base a lo que entendí, la respuesta que te podría dar, a mi perspectiva, sería que el individuo no tendría que moverse de su posición inicial. Si un objeto caerá en un punto de impacto de manera vertical, no tengo que emprender ninguna carrera para esquivarlo, si me encuentro a una distancia bastante larga del punto de impacto. Sería una tontería empezar a moverme hacia el punto de impacto, al menos que el individuo se esté moviendo por voluntad propia y NO SEPA que un objeto esta por caer en la trayectoria que sigue. Recomiendo que revises el enunciado nuevamente y lo mejores a ver si lo habrás escrito mal. Y si el problema es así tal cual como lo escribes, me dices de donde lo sacaste para revisar su fuente y así archivarlo en mis problemas de física sin sentido.
Buenaa unicoos, me podrian ayudar en este ejercicio de vectores: * Un patinador realiza los siguientes movimientos, a (20m,30º), b(40m,120º), c(50m,0º) y d(80m,0º). ¿cual es el desplazamiento total S(sumatoria) expresado mediante sus componentes? Y ¿cual es el desplazamiento total S expresado mediante su modulo y su argumento?. Las respuesta son:
1) S= (87,3m; -24,6m)
2) S= (90,6m; 344,15).
Espero su rrspuestas. Muchas gracias

30,
120 y 0 grados, ¿Con respecto a qué? Hay que ser más específico a la hora de
escribir vectores. Así tal cual como está escrito el problema, yo y otras
personas lo pueden interpretar de diferentes maneras. Sugiero que revises
nuevamente el enunciado el problema a ver si se te escapo algún detalle con
respecto a la dirección de los vectores. Espero tu respuesta..

Te envió el problema asumiendo que todas las direcciones están dadas con respecto al eje +x. Por componentes rectangulares (primera imagen) y por el método del triángulo (segunda imagen). Y de paso te digo que los libros siempre tienen errores. El hecho de que hagas un problema y no te de lo que dice el libro no siempre quiere decir que el equivocado sea el estudiante. Repito: si las direcciones de los vectores están dadas con respecto al eje +x, la respuesta que te estoy dando es la correcta. Cualquiera duda, me cuentas. Saludos.
Francisco Javier, podrías ayudarme con esto para mañana porfavor que no lo entiendo? Muchas gracias.
Datos: Masas atómicas: H= 1; O= 16; S= 32.

Lamento no haberte podido ayudar, Raisa. La verdad no soy muy bueno en Química. Si aún necesitas el problema, te sugiero que la pregunta la hagas en la sección “Química”. Haya de seguro que si te pueden ayudar personas que si dominan esa rama. Pero igual te agradezco por tenerme la confianza. Un abrazo.