Hola me pueden ayudar con este ejercicio 4
Solo en la parte que me dice
Haga el diagrama del ciclo en el plano PT.
No se como gráficar el adibatico.
Gracias

Lo siento de corazón pero no respondo dudas universitarias (o que no sean especificamente de las asignaturas de matematicas, fisica o quimica) que no tengan que ver específicamente con los videos que ya he grabado como excepcion. … Espero lo entiendas. Es posible te ayuden estos vídeos... Ciclo de Carnot
Hola a todos los Unicoos.com, quisiera que me explicaran como es que ustedes adjuntan las fotos con respuestas o guías de estudios en este foro
Hola a todos, tengo unos ejercicios y se me están complicando mucho, si alguno de ustedes me pudiera colaborar con como hacerlos o una ayuda se los agradecería mucho.
Toca hacer el diagrama de cuerpo libre y responder lo enunciado.
Muchas gracias.
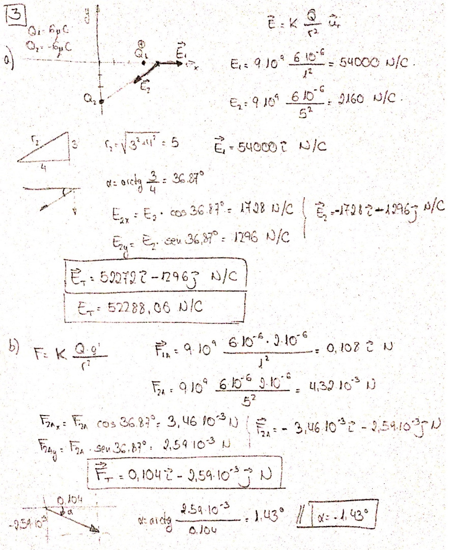
Tengo el siguiente problema y me gustaría saber si lo que llevo hecho está bien, además de ayuda para el apartado c, que no se como hacerlo.
Dos cargas q1 = 6 µC y q2 = –6 µC están situadas en el punto (3, 0) y en el punto (0, –3) respectivamente, todas las distancias están expresadas en metros. Calcule y dibuje:
a) La intensidad de campo eléctrico (en forma vectorial y en módulo) en el punto (4, 0).
b) El vector fuerza electrostática que ejercen dichas cargas sobre una carga de 2 µC situada en el punto (4, 0). Da también el ángulo.
c) Trabajo necesario para llevar una carga de 5 µC desde el punto (4, 0) hasta el punto (0, 0) si el sistema está formado por las cargas iniciales q1 = 6 µC y q2 = –6 µC situadas en el punto (3, 0) y en el punto (0, –3) respectivamente. ¿Quién realiza el trabajo?
Muchas gracias :)

El a) está perfecto
Para el b) habría sido suficiente con multiplicar el campo electrico obtenido anteriormente por la carga de 2µC pues F=E.q...
Para el c) tienes que hallar el potencial en el punto (4,0).. Vo= Vo1+Vo2= K.q1/1 + K.q2/5 = 9.10^9.6.10^(-6). (1-1/5)=54000.(4/5)=43200 V....
El potencial en el punto (0,0)... Vf=Vf1+Vf2 = K.q1/3 + K.q2/3 =0... pues q1=-q2...
El trabajo será Wo->f= 5.10^(-6). (vo-vf)= 5.10^(-6) .(43200)= 0.216 J
El trabajo lo realiza el campo por ser positivo....
Hola buenas!
Un trineo por una superfície horizontal de nieve con una velocidad inicial de 4m/s. Si el coeficiente dinámico de fregamiento es 0.14, que distancia recorrerá antes de frenarse?
Gracias
Bueno lo que queremos determinar es la distancia del trineo bajo las condiciones dadas,aplicanco las ecuaciones de cinemática nos quedaria así
S= V²-V²o / 2a ahora para determinar la aceleración usamos la 2da Ley del movimiento
∑F = ma y como la unica fuerza que actúa sobre el cuerpo en la dirección del movimiento es la de rozamiento
µN = ma
µmg = ma simplificando las masas
µg = a
ahora solo quedaria sustituir las variables por sus valores numerico y ya
Saludos Dwilliams

En realidad , luego discurriendo más lo he sacado , me ah salido - 0,566, pero casi es lo mismo que tu resultado , mira lo he hecho calculando todso lso momentos lineales , luego los he igualado y sumado , y de ahí como en uno hay una incógnita que es la v final la he despejado y me sale ese resultado, pero muchas gracias de todos modos.
Hola! Queria haceros una pregunta sobre una duda en un ejercicio. Os digo el enunciado:Un cuerpo de 1 kilogramo de mueve con velocidad constante hacia arriba por una pendiente de 30° y 1 m de longitud , gracias a una fuerza aplicada paralelamente al plano. El coeficiente de rozamiento es de 0,3. Calcular el trabajo de cada fuerza y el trabajo total. He realizado los pasos, pero me atranco a la hora de determinar el valor de F, y a su vez el de Wf. ¿Me echais una mano? Estos son los pasos que he realizado. Gracias.
Para determinar la fuerza resultante que es la que hace que el cuerpo suba por la pendiente y ajustandonos a tus dudas, tendriamos que aplicar la 2da ley de mov
∑F = ma ahora trabajando en el eje donde se produce el mov del cuerpo quedaria así:
Eje x
∑F = ma pero como el cuerpo asciende con velocidad contanste(MRU) la aceleración en el eje X es cero
∑F = 0
F+Fgx+Fr =0
F−Fgx−Fr =0
F=Fgx+Fr
F = mgsenθ + µN
Trabajando en el eje Y para determinar la normal
Eje Y
∑F = ma
∑F = 0
N+Fgy= 0
N= mgcosθ Sustiuimos la N en la ecuación
F = mgsenθ + µN
F = mgsenθ + µmgcosθ tomamos como factor comun mg nos daria
F= mg(senθ + cosθ)
Solo tendras que darles valor a las variables.
Ahora puedes determinar el trabajo mediante la ecuación W = F* d
Saludos Dwilliams