Hola a todos el martes tengo un examen y necesito resolver este problema por favor, es el unico que no se como hacerlo
Un globo aerostatico vuela a 100m de altura del suelo, si cuando su velocidades de 25m/s deja caer una bolsa de lastre, calcula prescindiendo del rozamiento del aire:
a) el punto donde toca en el suelo (supuesto horizontal)
b)el tiempo que tarda en caer
c) la velocidad a los 3s de soltar el lastre
si el c es muy largo no importa solo necesito saber el a y el b
muchisimas gracias
(nivel 1º bach)

La velocidad inicial del lastre es vo=25 m/s.. La altura inicial es ho=100. La aceleración es g=-9,8m/s²
Y ahora, como en cualquier ejercicio de tiro vertical... y=ho+vo.t-(1/2).g.t².....y=100+25t-4,9.t². Esa ecuacion te valdrá para todo el ejercicio...
También debes aplicar v=vo-g.t... v=25-9,8.t....
¿Cuando caerá? Cuando y=0... Por tanto 0=100+25t-4,9.t²...
¿la velocidad a los 3 segundos? La v cuando t=3..... v=25-9,8.3...
Terminalo tu ¿ok? Te sugiero con urgencia los videos de caída libre, MRUA y tiro vertical... FISICA Caida libre 01
¿Alguien puede ayudarme con el apartado b de este problema, por favor? ¿Cómo hallo el número inicial de 1 gramo de U, es lo único que quiero saber para calcular la actividad inicial.
Hola, necesito que me ayudeis con este ejercicio, com despejo t de la ecuación de desintegración?
Y también me gustaría saber si los gramos que me dan los he de pasar a átomos
Gracias

Echale un vistazo y nos cuentas.. .Como siempre, deberías primero ir a clase (ver todos los vídeos de las lecciones que afrontas)... Física nuclear
Y luego luchar, investigar, intentarlo... El trabajo duro debe ser el tuyo. Un abrazo!
Hola, necesito ayuda con este ejercicio, no encuentro como calcular la velocidad angular... Por las dos formulas v=rw (velocidad tangencial)= (radio)(velocidad angular) y w=o/t (velocidad angular)=(desplazamiento angular)/(tiempo) necesitaria el tiempo o la velocidad que no los tengo... Se me estaba ocurriendo utilizar el momento de inercia junto con esas formulas, pero no se, estoy enredada. Lo otro que se me ocurrio era hacer el diagrama de fuerzas y hacer F=mg, pero tampoco me funciono, llegue a un punto y me tranque...

Te sugiero los videos de pendulo simple.... Pendulo simple
No puedo ayudarte mucho más, lo siento...
Hola! Me podrían ayudar a resolver este ejercicio de óptica? Gracias!
A que distancia de una lente delgada convergente de f=10 cm hay que colocar un objeto para tener una imagen virtual con un tamaño de 1,5 del objeto?
Calcular la posición de la imagen . Hacer el dibujo

Echale un vistazo... Lente convergente OPTICA
A partir de ahí, se trata de que DESPUES DE IR A CLASE (ver los vídeos relacionados con vuestras dudas) enviéis dudas concretas, muy concretas. Y que nos enviéis también todo aquello que hayais conseguido hacer por vosotros mismos. Paso a paso, esté bien o mal. No solo el enunciado. De esa manera podremos saber vuestro nivel, en que podemos ayudaros, cuales son vuestros fallos.... Y el trabajo duro será el vuestro. Nos cuentas ¿ok?
#nosvemosenclase ;-)
Hola, queria saber porque en ondas teniendo esta ecuacion:
A sen (wt -kx)
Porque se resta kx si va para el sentido positivo cuando avanza la onda? gracias
Hola a todos los UNICOOS, les escribo nuevamente porque tengo un duda sobre un problema, lo he resuelto y las respuestas no terminan de convencerme y por eso les pido, por favor, que me orienten de cómo sería la solución correcta. El problema dice: DADO EL SIGUIENTE SISTESMA ( DAN UNA FIGURA CON UNA POLEA, UN BLOQUE APOYADO EN LA SUPERFICIE INCLINADA Y UN CILINDRO QUE CUELGA DE LA CUERDA)
a) CALCULAR LA ACELERACIÓN DEL SISTEMA. MASA DEL CILINDRO=5Kg, MASA DEL BLOQUE=8Kg. EL PLANO ESTÁ INCLINADO 30º.
b) CALCULAR LA TENSIÓN DE LA CUERDA.
COEFICIENTE DE ROZAMIENTO=0.2
no pudo resolver este problema
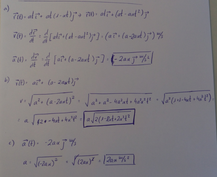
un punto se mueve en el plano en el xy segun la ley r=ati+at(1-αt)j donde α son constante positiva y t es el tiempo la velocidad del punto en función
A) aceleracion en funcion de tiempo
B)modulo de la velocidad
C) modulo aceleración
3. Se necesita aplicar una fuerza hacia debajo de 45 N y de 15N, para sumergir una caja de plástico en agua y aceite respectivamente. Si el bloque tiene un volumen de 8000 cm₃.
• Determina en base a esto la densidad del aceite. La densidad del agua es de 1000 kg/m3
4. Se necesita arrastrar un baúl, si recorre 20 metros en 10 segundos, a partir del reposo con una aceleración constante. Si el coeficiente de fricción vale 0.4 determina:
• Valor de la fuerza horizontal
• Valor del Tmec total
• Valor de la Pmec que ejerce cada una de sus fuerzas
• Valor de la Ec que lleva al baúl a los 20 metros.
5. Realiza una tabla de Velocidad VS Tiempo y Posición VS Tiempo. (Utiliza Ecuación de la pendiente y Ecuación General)
6. Un Aviso que pesa 168 N Se sostiene por medio de 2 cuerdas A y B, Las cuales forman un ángulo de 22.5 grados con la horizontal respectivamente, el aviso está en reposo (equilibrio estático)
• Determina que fuerza ejercen las cuerdas A y B sobre el aviso.
7. Una esfera pesa 800 N en el aire, Cuando se sumerge en el agua pesa 265 N pero al sumergirla en aceite la esfera pesa 275 N. Determina en base a esto:
• La densidad del aceite.
• La densidad de la esfera.
8. Se arroja una piedra verticalmente hacia arriba con una velocidad de 2m/s desde el bborde de un barranco de 75 metros de altura, determina:
• ¿Cuánto tiempo después llega al fondo del barranco?
• ¿Cuál fue su velocidad al momento de llegar?
• ¿Qué distancia total recorrió?
9. Se aplica una fuerza de 25 N durante 4seg. Sobre un bloque de 55N para desplazarlo en una superficie horizontal con un coeficiente de fricción dinámico de 0.3 en base a esto determina:
• Magnitud de la aceleración del bloque.
• Magnitud de la velocidad que adquiere el bloque a los 4 segundos.
• Desplazamiento que recorre a los 4 segundos.
10. Densidad.
11. Velocidad inicial, Tiro vertical, Caída Libre.
Necesito saber como resolver estos problemas, me he saltado varias clases y ahora me he puesto a pensar que quiero pasar la materia y aprender de la física, espero que puedan ayudarme.

No podemos (ni quiero) haceros los deberes de 8 en 8....
Se trata de que DESPUES DE IR A CLASE (ver los vídeos relacionados con vuestras dudas) enviéis dudas concretas, muy concretas. Y que nos enviéis también todo aquello que hayais conseguido hacer por vosotros mismos. Paso a paso, esté bien o mal. No solo el enunciado. De esa manera podremos saber vuestro nivel, en que podemos ayudaros, cuales son vuestros fallos.... Y el trabajo duro será el vuestro. #nosvemosenclase Nos cuentas ¿ok?
Si faltaste a clase, te vendrá genial ver los vídeos de esos temas.... Te sugiero Tiro Vertical - Caída libre Fuerza de rozamiento Estática de fluidos Movimiento Rectilineo Uniformemente acelerado MRUA Movimiento Rectilineo Uniforme MRU FISICA Teorema de LAMY
Si en un ejercicio no te dan la altura del objeto, calculas si la imagen será derecha o invertida con el aumento, pero ¿cómo saber si será menor o mayor que el objeto si no te dicen el valor de dicho objeto?
Ejemplo: Se dispone de una lente convergente de distancia focal 20 cm. Determine la
posición y la naturaleza de la imagen formada por la lente si el objeto está situado, delante de
ella, a las siguientes distancias: a) 50 cm b) 15 cm

Debes obtener y' e y... Para obtener el aumento, A=y'/y....
Te sugiero los videos de lentes... Lente convergente OPTICA
En el material adicional, tienes además una imagen con todas las fórmulas y dibujos...