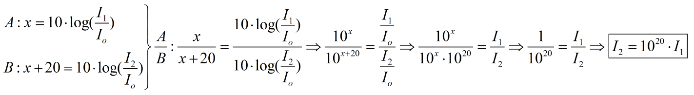
¡Muy buenas tardes a todos! Me gustaría saber si he hecho bien este ejercicio: Un sonido A tiene un nivel de intensidad sonora de 20 dB más que el sonido B. Compara las intensidades de los dos sonidos.
Muchas gracias por su ayuda, les estoy muy agradecido.
Hola, os agradecería que me ayudarais con la segunda parte de este ejercicio.
en los puntos (0,0) y (3,0) de un sistema de coordenadas cartesianas situamos cargas de -2 microculombios y +3 microculombios respectivamente. Calcular la diferencia de potencial electrico entre los puntos (3,4) y (1,0). ¿En que punto una carga de -1 microculombios no experimentara fuerza ninguna?
La diferencia de potencial la he hallado, pero en la fuerza nula la raiz para hallar la distancia me sale negativa...
Gracias
Gravitacion 2º bachiller
La tierra en su orbita eliptica alrededor del sol presenta dos puntos , el afelio y el perihelion, en los que su velocidades es perpendicular a su vector de posicion respecto del sol.Si en el afelio la distancia entre los centros de la tierra y el sol es 152000000 km y en el perihelio 147300000 km calcula:
a)La velocidad de la tierra en el afelio y en el perihelio
b)La excentricidad de la orbita terrestre
c)la aceleracion en el afelio y perihelio
d)Ep y Em en un punto de la elipse que diste 1,5*10 ^8 km del centro del sol

EchaleS un vistazo y nos cuentas ¿ok?... FISICA Momento angular FISICA Tercera ley de KEPLER
a) Se cumple que ra.va=rp.vp...
b) Te sugiero este link... http://www.astrosurf.com/astronosur/planetas1.htm
c) an=v²/R.. En cada caso deberás tener en cuenta si estás en el afelio o el perihelio.. En el afelio, por ejemplo, an= va²/ra²...
d)Ep=-G.M.m/R .... Ec=G.M.m/(2R)...

hemirado? videoa? encutoro?...haave?... Por favor...
Revisa los videos de plano inclinado, trabajo de rozamiento, potencia ... Potencia, energía y rendimiento Plano inclinado
Y nos cuentas ¿ok?. Pero cuida la ortogtafía y la escritura, que es un foro en español, no en chino... :( FISICA - Trabajo de Rozamiento
Buenas unicoos! El lunes tengo examen y se que sale el tipo de ejercicio de vectores a continuacion,pero no estoy muy seguro de como resolverlo:
Una persona desea encontrar un tesoro escondido en una isla para ello en el mapa de ubicacion del tesoro se encuentran los sgtes datos: caminar 150mts al norte,luego 200 mts al este,luego 110 metros 60° al oeste del norte,luego 50 metros 35° suroeste luego 300 mts 70° al noroeste y finalmente 400mts 150° del este al oeste,se pide calcular:
a)Distancia total recorrida
b)En que direccion la persona hubiera llegado en linea recta

Puedes hacerlo de muchas formas. Lo mejor que expreses los vectores y los sumes...
(0,150)+ (200,0)+(-110cos60,110sen60)+(-50cos35,-50sen35)+(-300cos70,300sen70)+(400cos150,400sen150)....
La distancia total será el modulo del vector resultante.
El apartado b) es el vector resultante. si quieres saber el angulo debes hallar la arcotangente vy/vx, siendo tu vector resultante (vx,vy)...
Echales un vistazo.. FISICA Suma de fuerzas y descomposicion vectorial 02
Hola¡¡ unicoos, alguien podría ayudarme con este problema de lanzamiento de proyectiles, quiero encontrar el intervalo pedido. Espero eso ayudita y gracias al maestro que me ayude aquí. Muchas y gracias y saludos.
Que tengo que hacer en el punto b por que el ha era igualr energia potencial y cinetica y me daba pero en el puntoo A no se que hacer si alguien.me pude ayudar
Hola! A ver, no consigo que me salga el apartado a) del siguiente problema de relatividad:
"La piloto espacial Eva pasa sobre Luis a una velocidad constante relativa a él de 0,800c. Eva y Luis ponen sus relojes a cero cuando el frente de la nave de Eva está directamente encima de Luis. Cuando Eva lee 2.50s en su reloj, enciende una luz brillante debajo del frente de su nave.
a) Use la transformación de coordenadas de Lorentz para calcular x y t medidas por Luis para el encendido de la Luz"
Lo complicado es hacerlo por la transformación de Lorentz. En el apartado b) me piden lo mismo pero usando la formula de la dilatación del tiempo, y así sí que sale... Me he dejado demasiadas neuronas en este problema :(
PD: Los resultados serían x=10^9 m, t=4.17 s

Espero te sirva... Física relativista
Me pierde, como a tí, la forma de plantear el enunciado....
No te preocupes, siempre me ayudas un montón, a mi y a todos los Unicoos. Soy consciente de que las preguntas que hago son de universidad, y me sorprende gratamente ver que me respondéis a todo y que apenas me ponéis flags... Ese problema es un horror, llevamos (y digo llevamos porque no soy yo sola) mucho tiempo intentándolo... Creo que mi profesor de física se ha ganado que le haga una visita, jajajajaja :)
Muchas gracias!!