Perdonenme x la contiua consulta, pero hay otra integral aquí que me esta líando.
Esa respuesta parece que aplicase fracciones simple, ya maso menos he aprendido ese método pero no debo de aplicarlo, solo he visto hasta integració por partes pero este no creo que sea el caso. Gracias de antemano..
Att: "El Toby"
Unicoos me podrian ayudar con un ejercicios de antiderivadas.
Que se puede hacer con la raíz cuadrada de Sec x o hago un cambio de variable t=Sec x
Gracias de antemano...
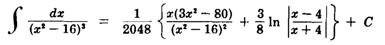
Hola maestros de unicoos, la integral de la imagen es ∫ v^n dv pero me lío en la respuesta da valores muy altos... ayudenmeen este lío. Gracias.

¿Que pasos has seguido?.. Recuerda que (x²-16)³=(x+4)³(x-4)³.. Y tendrás que dividirlo en fracciones simples segun...
A/(x+4)+B/(x+4)²+C/(x+4)³+D/(x-4)+ E/(x-4)²+F/(x-4)³. Te sugiero estos vídeos... Integrales racionales
P.D: ¿No dejaste esta misma duda hace pocos días en los foros?...
Hola amigos de Unicoos, en este semestre creí que límites de funciones de R²→R con transformación a coordenadas polares para tipos algebraicas era suficiente... POR QUÉ FALLA EN ESTO, OBVIO QUE EL LÍMITE NO EXISTE SE PUEDE PROBAR TOMANDO CAMINOS, dile no a la baderita roja, solo ustedes me podrían mostrarme la luz. GRACIAS.
Hola chicos alguno me pasa la deduccion de la formula de superficie de revolcuion porque tengo dudas con la deduccion que hicd yo gracias