Hola, buenas. Tengo 2 preguntas de probabilidad, alguien sabría cuál sería la respuesta correcta?
1) Es correcto decir que P(C) = P(C∩Bc ) + P(C∩B) ? ¿Por qué?
2) Usando la fórmula para la unión de 2 conjuntos P(A∪B) demuestre que la prob. de la unión de 3 conjuntos se puede expresar mediante la fórmula:
P(A∪B∪C) = P(A) + P(B) + P(C) - P(A∩B) - P(A∩C) - P(B∩C) + P(A∩B∩C)
Son 2 preguntas que se me están haciendo que no se cómo responder, agradecería su ayuda. Saludos !!
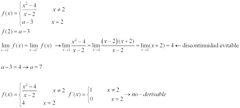
Hola chicos! os dejo aquí una función con lo que yo he hecho, esperando que podais decirme como sigo.
Es una función a trozos con parámetro, me pide que calcule el valor de "a" para que sea continua y derivable. Mi problema es que cuando llego a igual el limite a la función me encuentro que uno de los valores es infinito y no sé como seguir. :(![]()
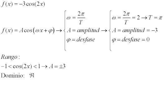
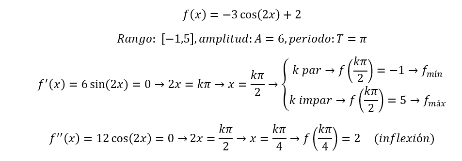
Me ayudan con el análisis de la gráfica de la función 𝑓(𝑥) = −3𝑐𝑜𝑠(2𝑥) + 2.
Construir la gráfica f
periodo, rango, amplitud,
puntos clave y corrimiento de fase
Alguien me puede ayudar con estos dos ejercicios de combinatoria:
-Con las letras de la palabra MURCIÉLAGO queremos formar otras con tres letras¿Cuántas podemos formar,tengan o no sentido?¿Cuántas empiezan por vocal?
La primera pregunta en una variación que daría 720 pero la segunda como se hace?
-Los centros de enseñanza intentan separar a los hermanos gemelos y mellizos de forma que no estén en la misma clase.Si en un centro hay 4 clases de 4ºESO¿de cuantas formas se pueden asignar en diferentes aulas a dos hermanos?

Las que empiezan por A serían A _ _
Las posibilidades V9,2... Pues quedarían 2 posiciones que cubrir con 9 letras diferentes. Suponiendo que no pueden repetirse las letras, claro..
Lo mismo para las del tipo E _ _, I _ _, O _ _ y U _ _ . Por tanto, multiplica por 5 la primera solucion...
Para los gemelos... Asignando a cada clase un numero (1,2,3.4)...
12, 13, 14, 21, 23, 24, 31, 32, 34, 41, 42, 43...
12 posibilidades diferentes... Espero te haya ayudado..