¡UPS! Para ver vídeos en la web debes estar registrado, es totalmente gratuito.

Recuerda además que sólo por ser unicoo, GRATIS, podrás dejar tus dudas en los foros de beUnicoos, acumularás energy y help points y ganarás decenas de medallas. Registrarte solo te llevará unos segundos. Nosotros somos unicoos ¿y tú? #nosvemosenclase

Derivada de una función 00 - Regla de la cadena Interpretado en lengua de signos

Este video incluye subtítulos y ha sido interpretado en lengua de signos para ayudar a personas con discapacidad auditiva GRACIAS a la Plataforma Educativa Peecas y a ASPANPAL, Asociación de Padres de Niños con Problemas de Audición y Lenguaje. #Accesibilidad​ #EducaciónAccesible.
Haremos un primer acercamiento a las derivadas, derivando varias funciones "sencillas" y explicando inicialmente la regla de la cadena.
Este video se irá complementando con varios videos más en orden creciente de dificultad.

Si quieres ampliar la información busca los videos de "regla de la cadena" en esta sección.

Agregar a mi mochila
0/ 1588

* Para utilizar tu mochila o guardar tu progreso y acumular energy points debes ser usuario registrado. Regístrate o inicia sesión

Foro de preguntas y respuestas

logo beUnicoos
Los foros de unicoos se han unificado en nuestra nueva plataforma beUnicoos. Para dejar nuevas preguntas deberás hacerlo allí, donde además podrás encontrar nuevas asignaturas y herramientas para ayudarte más con tus estudios.
  • icon

    ricardo
    el 2/6/19

    Hola buenas en la segunda derivada el apartado de 4√x, al pomerlo como potencia no cambias el signo del 1, y en el apartado anterior si lo cambias ¿sería -1? Muy buenos tus videos y saludos desde Tenerife.

    replythumb_up1 voto/sflag
    icon

    César
    el 18/6/19

    cuando está en el demoninador sube al numerador con signo contrario, fijate bien

    thumb_up0 voto/sflag
  • Usuario eliminado
    el 4/5/19

    derivadas en ecuaciones implicitas?

    replythumb_up0 voto/sflag
    icon

    Antonius Benedictus
    el 4/5/19

  • icon

    carlos
    el 7/9/18

    Buenos días,

    he estado mirando en los comentarios y no encuentro    que nadie lo haya preguntado y seguramente me equivoque pero en la 3º derivada en x3 / √x al finalizar el ejercicio lo divides todo por 2 no debería dividirse solo el 5? quedando 5/2 √x3


    Gracias de antemano.

    replythumb_up0 voto/sflag
    icon

    Antonius Benedictus
    el 7/9/18


    thumb_up2 voto/sflag
  • icon

    juan j. escobar ramos
    el 10/7/18

    No se como hacer y=(1+1/x)

    replythumb_up0 voto/sflag
    icon

    Antonius Benedictus
    el 10/7/18

    Venga, Juan, que ésta está tirada.

    thumb_up6 voto/sflag
  • icon

    juan j. escobar ramos
    el 10/7/18

    y= Ln √senx

    replythumb_up0 voto/sflag
  • icon

    juan j. escobar ramos
    el 9/7/18

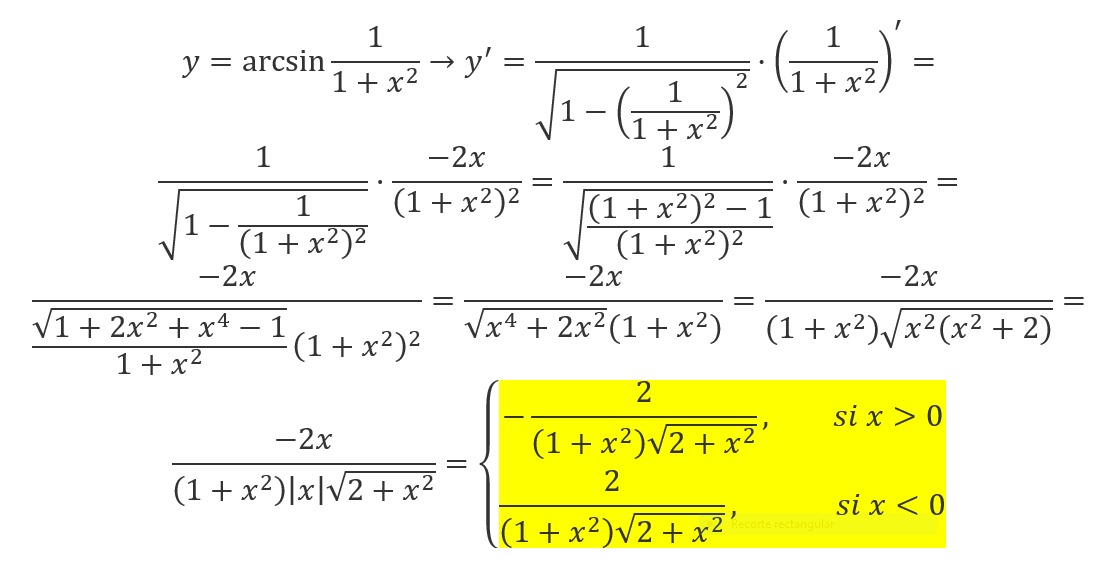
    Arcsen (1÷1+x²) es que no me salen y son de una fiche jejejeje 

    replythumb_up0 voto/sflag
    icon

    Antonius Benedictus
    el 9/7/18


    thumb_up1 voto/sflag
  • icon

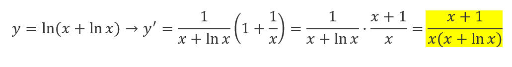
    juan j. escobar ramos
    el 9/7/18

    Ln (x+Lnx) 

    replythumb_up0 voto/sflag
    icon

    Antonius Benedictus
    el 9/7/18


    thumb_up2 voto/sflag
  • icon

    juan j. escobar ramos
    el 9/7/18

    Y este Ln√1+cosx ÷ 1-cosx 

    replythumb_up0 voto/sflag
    icon

    Antonius Benedictus
    el 9/7/18


    thumb_up1 voto/sflag
  • icon

    juan j. escobar ramos
    el 9/7/18

    Como se haría Ln tgx 

    replythumb_up0 voto/sflag
    icon

    Antonius Benedictus
    el 9/7/18


    thumb_up1 voto/sflag
  • icon

    Carla Fernández
    el 15/5/18

    Si tengo un polinomio con diferentes denominadores, y los denominadores son números reales, calculo el m.c.m.?

    replythumb_up0 voto/sflag
    icon

    Antonius Benedictus
    el 15/5/18

    Sube al foro de Matemáticas un ejercicio y te lo explicamos.

    thumb_up0 voto/sflag
  • icon

    Joan Belinchon
    el 12/5/18

    a mi no me da ese resultado

    replythumb_up0 voto/sflag
    icon

    Antonius Benedictus
    el 12/5/18

    Los cálculos con potencias, radicales y la simplificación necesitan una revisión seria.


    thumb_up0 voto/sflag
  • icon

    Alex Muro Adelarpe
    el 10/5/18

    Como se haría la erivada de la raíz de una función  racional?

    replythumb_up0 voto/sflag
    icon

    Antonius Benedictus
    el 11/5/18

    Contestada en el foro de Matemáticas.

    thumb_up0 voto/sflag
  • icon

    Eric
    el 13/3/18

    por que cambia el signo en el segundo ejercicio la segunda derivada?,la de dos entre raiz de x esta en menos luego lo pone en mas

    replythumb_up0 voto/sflag
    icon

    David
    el 3/4/18

    Porque si cambio una potencia del numerador al denominador (o viceversa) se cambia el signo al exponente... Como digo en el video, te sugiero repases los videos de potencias y radicales...

    thumb_up1 voto/sflag
  • icon

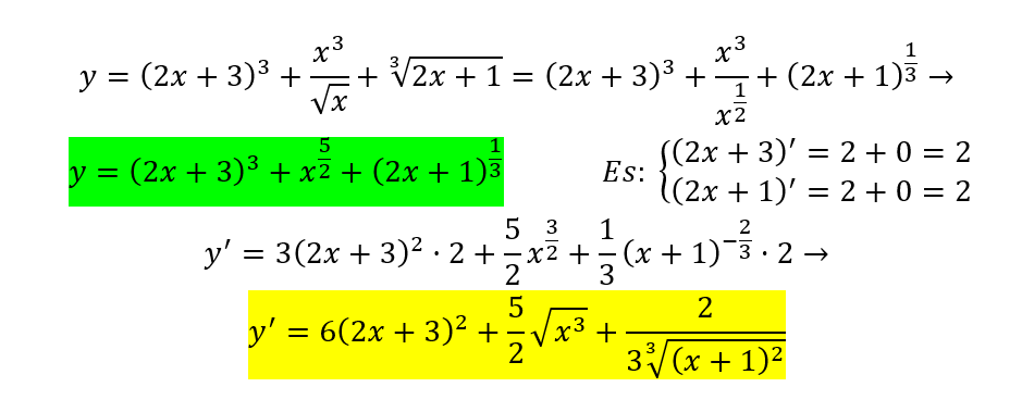
    Ismael V.
    el 12/3/18

    Una cosa, David. En el minuto 13:14 pones en la pizarra que la función es igual a su derivada, pero en realidad son cosas distintas. No marcas que haya una derivada de la función.
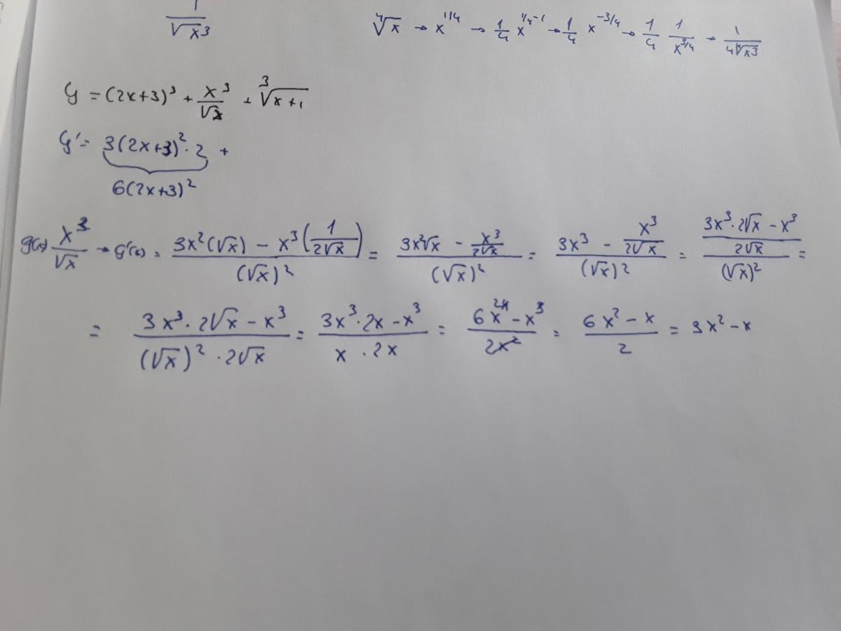
    Se trata del tercer ejercicio. Según eso, y=(2x+3)3+(x3/√x)+∛2x+1=6(2x+3)2+(5√x3/2)+2/(3∛(2x+1)2).

    En realidad, y=(2x+3)3+(x3/√x)+∛2x+1 y y'=6(2x+3)2+(5√x3/2)+2/(3∛(2x+1)2).


    replythumb_up1 voto/sflag
    icon

    Antonius Benedictus
    el 12/3/18
    flag

    Sí, es un despiste del profe, Buen ojo, Ismael.

    thumb_up2 voto/sflag
  • icon

    miren
    el 26/2/18

    buenas noches david:

    tengo una duda, como se resuelve este ejercicio:

    y=ln×(senx^2)^2

    muchas gracias, saludos

    replythumb_up0 voto/sflag
    icon

    Antonius Benedictus
    el 26/2/18

    Sube al foro de Matemáticas una foto del enunciado original, por favor.

    thumb_up0 voto/sflag
  • icon

    Alberto Argumosa Garcia
    el 31/8/17

    (6x-raizx)elevado a 6

    cual seria la derivada

    replythumb_up0 voto/sflag
    icon

    Antonius Benedictus
    el 31/8/17

    Alberto, sube la duda al foro de Matemáticas.

    thumb_up0 voto/sflag
  • icon

    Neus Crowley
    el 5/7/17
    flagflag

    como seria la derivada de:

    x²+2x÷(x+1)


    replythumb_up0 voto/sflag
  • icon

    Mili Z.B
    el 7/6/17
    flagflag

    Hola, buenas, ¿cómo sería esta derivada?

      (x-1)ln2(x)

    replythumb_up0 voto/sflag
  • icon

    Keily
    el 4/6/17

    Me puedes ayudar con esta derivada?

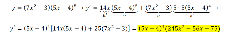
    D[(7x2  -3) (5x - 4)5 ]

    Graciaas!

    replythumb_up0 voto/sflag
    icon

    Antonius Benedictus
    el 4/6/17


    thumb_up2 voto/sflag
  • icon

    Daniel Martín Romero
    el 26/5/17

    hola me e he quedado encallado con esta derivada: √3x / x2

    Como lo puedo hacer

    replythumb_up0 voto/sflag
    icon

    Antonius Benedictus
    el 26/5/17

    Contestada en el foro.

    thumb_up1 voto/sflag
  • icon

    Maria De Los Reyes Jimenez
    el 18/4/17

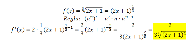
    buenas tarde, tengo una duda. no entiendo por que al hacer la derivada  de la raiz cubica de 2x+1 queda: 2 partido ,tres por la raiz cubica de 2x+1 al cuadrado. por que se pone ese tres por la raiz de 2x+1 al cuadrado?

    replythumb_up1 voto/sflag
    icon

    Antonius Benedictus
    el 18/4/17


    thumb_up1 voto/sflag
  • icon

    Tere Pallarés
    el 6/4/17

    Buenas tardes Profesor,aqui le dejo estas derivadas,podría resolverlas?no me aclaro con ellas

    replythumb_up1 voto/sflag
    icon

    Antonius Benedictus
    el 6/4/17


    thumb_up2 voto/sflag
  • icon

    Tere Pallarés
    el 5/4/17

    Buenos dias Profesor,aquí le dejo estas derivadas,podría resolverlas.

    Gracias.Un saludo

    replythumb_up1 voto/sflag
    icon

    Antonius Benedictus
    el 5/4/17


    thumb_up2 voto/sflag
  • icon

    Tere Pallarés
    el 4/4/17

    Buenos dias.Podría resolver las siguientes derivadas?

    Gracias.Un saludo

    replythumb_up1 voto/sflag
    icon

    Antonius Benedictus
    el 4/4/17

    Tere, súbelas al foro poco a poco. Necesitaría dedicarte a tí toda la mañana.

    thumb_up1 voto/sflag
  • icon

    Tere Pallarés
    el 2/4/17

    Hola,no me aclaro con estas derivadas,podria resolverlas?

    Gracias

    replythumb_up1 voto/sflag
  • icon

    mariiii
    el 11/2/17
    flag

    hola! tu vídeos me ayudan mucho, estoy aprendiendo cantidad.

    En este video, en la tercera derivada que haces, el segundo término, como se haría si fuera con la fórmula de cociente, es que a mi profesor le gustan mucho ese tipo de derivadas y al intentarlo con la formula del cociente no me ha salido.

    muchas gracias!!!


    replythumb_up1 voto/sflag
  • icon

    Magalí
    el 13/9/16
    flagflag

    Hola!necesito ayuda con esta derivada, sé como derivar en cada caso, pero cuando tengo la cadena no sé como minimizarla para llegar al resultado más pequeño posible.

    replythumb_up2 voto/sflag
    icon

    David
    el 14/9/16

    Para dudas que no tienen que ver explicitamente con el vídeo, lo ideal es que uséis los foros generales de matemáticas, física y química

    Se trata ADEMÁS de que DESPUES DE IR A CLASE (ver los vídeos relacionados con vuestras dudas) enviéis dudas concretas, muy concretas. Y que nos enviéis también todo aquello que hayais conseguido hacer por vosotros mismos. Paso a paso, esté bien o mal. No solo el enunciado. De esa manera podremos saber vuestro nivel, en que podemos ayudaros, cuales son vuestros fallos.... Y el trabajo duro será el vuestro. #nosvemosenclase Nos cuentas ¿ok?

    thumb_up2 voto/sflag
  • icon

    Gaizka
    el 30/8/16

    Buenas!
    En la última parte del tercer ejercicio (raíz cúbica de 2x+1) se podría utilizar la regla de la cadena con la fórmula de la derivada de una raíz? (1/2*(raíz cúbica de 2x+1)) * 2 ?
    Un saludo!

    replythumb_up2 voto/sflag
    icon

    David
    el 1/9/16

    NO. La formula de la raiz que indicas solo es valida para RAICES CUADRADAS.

    thumb_up1 voto/sflag
  • icon

    Kristina Alekova
    el 12/8/16

    Holaa, como se haría la derivada en un ejercicio en el cual no me dan numeros?
    Por ejemplo:
    f(x)'= ln cos arctan e^x

    Gracias!

    replythumb_up1 voto/sflag
    icon

    David
    el 16/8/16

    Como en los vídeos de esta lección. Poco a poco...
    Primero deriva el ln, luego el coseno, luego la arctan y luego e^x...
    Te sugiero avances un poco m ás, veas algunos videos más, antes de enfrentarte a este... Animo! Besos!

    thumb_up3 voto/sflag
  • icon

    Miguel Ángel
    el 10/7/16

    Hola, David.
    Sé que me complico la vida, pero aunque no tengo "Una Mente Maravillosa" si la tengo complicada y rebuscada. Pero no te preocupes, jamás preguntaré aquí cuál es el algoritmo que resuelve "el movimiento de las palomas", salvo que os quiera declarar mi locura. :P
    No sé si se podría dar el caso, pero ¿la derivada de "2x + infinito" sería 2 puesto que infinito es un número?
    Un saludo y gracias por todo lo que enseñas, me sirve como estudiante universitario y como padre que soy.

    replythumb_up2 voto/sflag
    icon

    David
    el 13/7/16

    Sí, sería 2...

    thumb_up3 voto/sflag
  • icon

    Josüé
    el 10/6/16

    Hola profe, muy buena su explicación, siempre se le entiende.
    Seria genial si pudiera hacer un vídeo de diferenciabilidad de funciones, en ese tema estoy un poco flojo. Espero por favor tome mi mensaje, gracias profe, son todo un éxito sus clases

    replythumb_up1 voto/sflag
  • icon

    Osman Blanco
    el 7/6/16

    Me podrías ayudar con esta derivada 4cos3x - 3sen 4x

    replythumb_up1 voto/sflag
    icon

    David
    el 7/6/16

    Por ser fácil te cuento, pero el trabajo duro debe ser el vuestro...
    -12sen(3x)-12cos(4x)...

    thumb_up2 voto/sflag
  • icon

    Marcelo
    el 4/6/16

    hola David, saludos desde Chile, tengo una consulta con respecto al vídeo. en el ejercicio numero dos cuando derivaste la raiz cuarta de de x pasaste el un cuarto como exponente positivo y en el ejercicio anterior queda negativo. eso no lo entendí gracias.

    replythumb_up0 voto/sflag
    icon

    David
    el 6/6/16

    La raiz cuarta de x es x^(1/4)... Antes de derivar... Y cuando derivas x^(1/4) te queda (1/4)x.^(1/4-1)...
    En el caso anterior teníamos 1/√x=1/(x^(1/2)) que por estar dividiendo, en el denominador, queda con exponente negativo y sería x^(-1/2)...
    Te sugiero revises detenidamente el video.... Y que repases las propiedades básicas de las potencias. Un abrazo!

    thumb_up2 voto/sflag
  • icon

    Rasi Alfayed
    el 6/4/16
    flag

    david las ultimas 2 me tienen loco trate de resolverlas y seme fue la chispa en una parte, y es en la siguiente: una derivada de la x elevado a un numero me daria el numero elevado a la x menos 1 eso los entiendo pero si el número es 1 como se colocaría porque la x no va a quedar elevada a la 0 al resolverla

    replythumb_up0 voto/sflag
    icon

    David
    el 7/4/16

    La derivada de "un numero elevado a la x menos 1"... Lo siento, no entiendo.... ¿nos dejas una foto con el enunciado exacto y literal en el foro de matematicas?

    thumb_up1 voto/sflag
  • icon

    Iván González Vera
    el 26/3/16

    Hola David,

    Sobre la derivada 2/(raiz)x . Entiendo el procedimiento que haces y lo considero correcto, pero si utilizo la calculadora me da otro resultado, y en webs como: http://www.dervor.com/derivadas/derivada_cociente.html también dan otro resultado como bueno.
    ¿Algun aporte extra para acabar de entender la diferencia de resultados?

    Muchas gracias,
    Un saludo unicoo.

    replythumb_up0 voto/sflag
    icon

    David
    el 28/3/16

    La derivada de 2/√x es 1/√x³ que también puedes expresar como x^(-3/2)...

    thumb_up1 voto/sflag
  • icon

    Evelin Mojsiejczuk
    el 19/2/16
    flag

    Como resuelvo un ejercicio de derivada cuando tiene delta x??

    replythumb_up0 voto/sflag
    icon

    David
    el 24/2/16

    ¿¿??

    thumb_up0 voto/sflag
  • icon

    Maria
    el 10/2/16
    flagflag

    Hola David, una pregunta como se haría esta derivada (3X^2 + 5X - 1)^6 + X^2 -Ln X.

    Se calcularía 1 el paréntesis o se haría la derivada de este y luego se elevaría ?

    replythumb_up0 voto/sflag
    icon

    José Miguel
    el 10/2/16

    Hola María, eso sería el primer apartado de la derivada. La derivada de una función elevada a un número es: el número (exponente) por esa misma función elevada a número menos uno por la derivada de la función (que sería la derivada de lo que hay entre paréntesis, y luego seguirías para terminar esta que nos planteas.
    Saludos!

    thumb_up2 voto/sflag
  • icon

    José Marlon Ochoa Garcia
    el 9/2/16

    entonces si en el denominador tuviéramos una potencia por ejemplo uno entre x elevado al cuadrado la potencia pasaría raíz cuadrada multiplicando al uno???

    replythumb_up0 voto/sflag
    icon

    José Miguel
    el 10/2/16

    No no José! En todo caso podrías representarlo como x elevado a la menos dos, pero nada de raíces. Raíz sería si la x estuviese elevada a 1/2, que es distinto de 1/x²
    Saludos!

    thumb_up2 voto/sflag
  • icon

    susel
    el 17/11/15

    Hola david me quedo una duda en el ejercicio y = ln (x^2-1) su derivada no seria y´=(1/x) * (x^2-1) * 2x?
    No entiendo porque en el ln donde va x colocas (x^2-1)

    replythumb_up0 voto/sflag
  • icon

    leydy velasco
    el 14/11/15
    flagflag

    hola david, quisiera que me ayudaras con esta derivada gracias:
    (x+(x+(x)^1/2)^1/2)^1/2

    replythumb_up0 voto/sflag
    icon

    David
    el 16/11/15

    Para dudas que no tienen que ver explicitamente con el vídeo, lo ideal es que uséis los foros generales de matemáticas, física y química
    Se trata ADEMÁS de que DESPUES DE IR A CLASE (ver los vídeos relacionados con vuestras dudas) enviéis dudas concretas, muy concretas. Y que nos enviéis también todo aquello que hayais conseguido hacer por vosotros mismos. Paso a paso, esté bien o mal. No solo el enunciado. De esa manera podremos saber vuestro nivel, en que podemos ayudaros, cuales son vuestros fallos.... Y el trabajo duro será el vuestro. #nosvemosenclase Nos cuentas ¿ok?

    thumb_up3 voto/sflag
  • icon

    florencia
    el 28/10/15

    hola david, hay algun video de la regla de la cadena pero en mas de una variable???? gracias

    replythumb_up0 voto/sflag
    icon

    David
    el 29/10/15

    Sí, los de derivadas parciales... Derivadas Parciales
    Espero te sirvan...

    thumb_up0 voto/sflag
  • icon

    Valentina
    el 15/8/15
    flagflag

    Hola
    Podrías hacer la demostración de la derivada de a^x????... Intente hacerla pero no llegué :c

    replythumb_up0 voto/sflag
  • icon

    Lourdes Pastore
    el 8/8/15
    flag

    Una pregunta con el ejercicio 5 y con el siguiente que propuso con ese mismo (min 20:39).

    En el ejercicio propuesto era y= e^cosx^2 + 7^2x. Cuando derivó la primera función (e^cosx^2) dijo que iban a aparecer tres multiplicaciones. Estoy totalmente de acuerdo con eso. Pero no entiendo por qué no salieron tres multiplicaciones en el ejercicio 5 original (y= e^cosx + 7^x). Yo habría derivado x también.

    ¿Me puede explicar por qué en el segundo si se deriva x y en el primero no?

    replythumb_up0 voto/sflag
    icon

    David
    el 10/8/15

    ¿¿?? La derivada de x es 1.... No entiendo, lo siento...

    thumb_up0 voto/sflag
  • icon

    Mey
    el 16/6/15
    flag

    Y no se podría hacer la derivada de un cociente en lugar de pasar a función exponencial?

    replythumb_up0 voto/sflag
  • icon

    pilarmt17
    el 14/6/15

    http://image.slidesharecdn.com/tabladederivadaseintegrales-130819203600-phpapp01/95/tabla-de-derivadas-e-integrales-1-638.jpg?cb=1376944594

    http://image.slidesharecdn.com/tabladederivadaseintegrales-130819203600-phpapp01/95/tabla-de-derivadas-e-integrales-2-638.jpg?cb=1376944594

    Aquí están todas las derivadas que en 1ºBach se utilizan con sus respectivos ejemplos, por si sirve de ayuda.

    replythumb_up3 voto/sflag
    icon

    David
    el 15/6/15

    :-) Gracias!

    thumb_up0 voto/sflag
  • icon

    Joy
    el 20/5/15

    En la tercera derivada, al derivar el (2x+3)^3 y te da el 6(2x+3)^2, no se podría derivar el 2x y poner 6(2+3)^2?

    replythumb_up0 voto/sflag
    icon

    David
    el 23/5/15

    NO. CUIDADO! La derivada de f^n es n.f^(n-1). f '
    Te sugiero todos los vídeos de esta lección.. #nosvemosenclase ;-)

    thumb_up0 voto/sflag
  • icon

    Rodrigo
    el 16/5/15
    flagflag

    Hola alguien me puede ayudar a derivar (√x)^x ?? Graciass :)

    replythumb_up0 voto/sflag
    icon

    David
    el 18/5/15

    Echale un vistazo... Derivacion logaritmica
    P.D. Para dudas que no tienen que ver explicitamente con el vídeo, usa por favor el foro general...

    thumb_up0 voto/sflag
  • icon

    juldorak
    el 4/4/15
    flagflag

    Muy Buenas.. gracias de antemano.
    Estoy preparándome la PAU+25 y no veo clara la simplificación de este tipo de ejercicios:
    f(x)= (x-raiz de 1-x²)²
    Siento si no se entiende muy bien..pero no se insertar el simbolo raiz

    replythumb_up0 voto/sflag
  • icon

    Guillermo Andrade
    el 4/2/15

    me gustaria ver mas ejercicios sobre deribadas un ejemplo.. y= ln de una raiz cuadrada elevada a una potencia xD
    mi profesor es desgraciado y nos pone ejercicios asi :c

    replythumb_up0 voto/sflag
    icon

    David
    el 5/2/15

    Tienes decenas de vídeos de derivadas y podrás encontrar lo que buscas si ves los siguientes vídeos... Por otro lado, cuidado con tus comentarios pues no consiento en unicoos que le faltéis el respeto a vuestros profesores...

    thumb_up15 voto/sflag
  • icon

    moni
    el 3/2/15
    flagflag

    Hola Profesor . Tengo una duda con este ejercicio
    f (x)= 2 elevado a log en base 3 (sen (x))
    Mi duda es que primero bajo el log y después resuelvo . O derivo primero el 2 ???

    replythumb_up0 voto/sflag
  • icon

    mariela.toledo
    el 11/12/14
    flag

    hola profesor me podría ayudar con este ejercicio de derivada,quiero saber si lo realice bien.

    1) derivar y resolver hasta su mínima expresión
    a) f(x) = ln ³ [sen (3x) ]
    f'(x) = 1/3 . [sen (3x) ] . cos(3x) . 3

    b) f(x) = sen ( 5x³ - x) ²
    f'(x) = cos 2( 5x³ - x) . 15x² - 1

    replythumb_up1 voto/sflag