Hola, buenas tardes. Alguien podría ayudarme a encontrar la distribución de probabilidad o función masa de probabilidad (fmp) del siguiente ejercicio por favor:![]()
Gracias de antemano, saludos.

¡Hola! Nos encantaría ayudarte, pero no solemos responder dudas universitarias que no tengan que ver específicamente con los vídeos que David Calle ha grabado como excepción. O de otras asignaturas que no sean Matemáticas, Física y Química. Lo sentimos de corazón… Esperamos que lo entiendas.
Ojalá algún unicoo universitario se anime a ayudarte (de hecho, lo ideal es que todos los universitarios intentarais ayudaros los unos a los otros).
Utilize teorema del coseno para sacar la distancia aqui te dejo un link para que te sirva http://www.universoformulas.com/matematicas/trigonometria/teorema-coseno/ saludos!
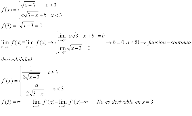
Exacto, para que sea derivable se tiene que cumplir siempre que:
además de los límites laterales de la función sean iguales (que sea continua),
también tienen que coincidir los límites laterales en la DERIVADA de la función.
**Si falla alguna condición, como es el caso de tu ejercicio, podremos concluir que no es derivable.