Calcular δ/δs (f o g)(1,0) si f y g son las siguientes:
f(u,v) = cos(u)sen(v)
g(s,t) = cos[(t2·s) , ln(√(1+s2)]
¡Hola! Nos encantaría ayudarte, pero no solemos responder dudas universitarias que no tengan que ver específicamente con los vídeos que David Calle ha grabado como excepción. O de otras asignaturas que no sean Matemáticas, Física y Química. Lo sentimos de corazón… Esperamos que lo entiendas.
Ojalá algún unicoo universitario se anime a ayudarte (de hecho, lo ideal es que todos los universitarios intentarais ayudaros los unos a los otros)
¿Me podrían decir cómo resuelvo este problema de sistemas?
Un comerciante compró 500 envases de leche, 200 de zumo de fruta y 50 paquetes de café, y pagó 640€ en total.
Cierto tiempo después había vendido la leche, ganando un 30%; el zumo de fruta, ganando un 20% y el café, perdiendo un 10%. Por todo ello obtuvo 768 €.
Sabiendo que el precio de compra de cada envase de zumo fue el 60% del precio de compra de cada paquete de café, ¿cuáles fueron los precios de compra y de venta de cada uno de los tres productos?

Hola Cristina te ayudo
acabo de plantearlo
L= precio de venta envases de leche
Z= precio de venta zumos
C=precio de venta paquetes de café
Primera ecuación de compra
500L + 200Z + 50C = 640
Segunda ecuación de venta
(500L + 500L*0,30)+(200Z + 200Z*0,20)+(50C - 50C*0,10)= 768
Relación de precios
Z=0,6C
A partir de ahí te saldrá
A mi me salió precio del café = 2€
Saludos desde Boli

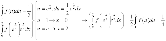
Plantea la sustitución (cambio de variable):
u = ex/2, de donde tienes: du = ex/2*dx/2 = (1/2)*ex/2*dx, y observa que los límites de integración quedan: u(0) = 1, u(2) = e;
luego sustituyes, y la integral queda:
I = 1∫e f(u)*(1/2)*du = 1∫e f(u)*(1/2)*du = (1/2) * 1∫e f(u)*du = reemplazas = (1/2)*(1/2) = 1/4.
Espero haberte ayudado.
Hola! Alguien me puede ayudar con este problema?
Una empresa que fabrica cosméticos para el cabello, envasa el 40% del champú en la planta I y el resto en la planta II. En el llenado, que se realiza automáticamente en ambas plantas, el contenido es inferior al estipulado un 3% de las veces para la planta I y un 2,5% para la II. Si se extrae al azar un envase de la producción, ¿cuál es la distribución Bernouilli en relación al suceso: “envase con contenido impropio”?
Observa que la x no puede tomar ningún valor entre en el intervalo (-inf, -1) , debido a que haría que la raíz fuera negativa, y por lo tanto fuera del dominio de los reales.
Tampoco puede tomar el valor x= -1 porque f(-1)=1/√0 = 1/0 y eso es una indeterminación, por lo que también lo descartamos.
Tampoco puede tomar el valor x=0, porque f(0)= (1-1)/0 = 0/0 , que tampoco está definido en los números reales.
**Para cualquier otro valor de x en f(x), excepto los remarcados en las líneas anteriores, la función SÍ está definida, por lo que el Dominio= (-1,0) U (0,inf) , o equivalentemente ℛ - { (-inf, -1) U {-1} U {0} }
Buenas tardes, ¿me podrían ayudar con estas integrales? :
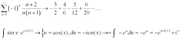
- ∫ sinx · ecosx dx
- Área de la región limitada por f(x) = x2 - 4x + 5, su recta tangente a x=3 y los semiejes positivos.
Muchas gracias.

¡Hola! Nos encantaría ayudarte, pero no solemos responder dudas universitarias que no tengan que ver específicamente con los vídeos que David Calle ha grabado como excepción. O de otras asignaturas que no sean Matemáticas, Física y Química. Lo sentimos de corazón… Esperamos que lo entiendas.
Ojalá algún unicoo universitario se anime a ayudarte (de hecho, lo ideal es que todos los universitarios intentarais ayudaros los unos a los otros).