Foro de preguntas y respuestas de Matemáticas

logo beUnicoos
Los foros de unicoos se han unificado en nuestra nueva plataforma beUnicoos. Para dejar nuevas preguntas deberás hacerlo allí, donde además podrás encontrar nuevas asignaturas y herramientas para ayudarte más con tus estudios.

  • icon

    Nahuel Martinez
    el 23/1/18

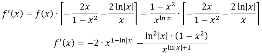
    Hola me puedes ayudar con resolver esto aplicando el método de derivación logarítmica  y=(1-x^2)/x^lnx

    replythumb_up0 voto/sflag
    icon

    Ángel
    el 23/1/18

    ¿Tu función es f1 o f2 ?

    f1 = ( (1-x2)/x )ln(x)

    f2 = (1-x2)/(xln(x))           

    thumb_up0 voto/sflag
    icon

    Nahuel Martinez
    el 23/1/18

    f2

    thumb_up0 voto/sflag
    icon

    Axel Morales Piñón.
    el 23/1/18


    thumb_up0 voto/sflag
  • icon

    Sergi Raga Estruch
    el 22/1/18

    Me podéis resolver el d, gracias 

    replythumb_up0 voto/sflag
    icon

    Ángel
    el 22/1/18

    (AB-x)/AB =  (AC-y)/AC = 900/1064 

    7/(AB) = 11/(AC) = 900/1064 

    AB=(1064*7)/900= 8.2755... cm    y   AC=(1064*11)/900= 13 cm


    Luego,

    AB-x= 7  ---->  -x= 7-8.27555...  ---->  x= 1.27555... cm

    AC-y= 11  ---->  -y= 11-13  ---->   y = 2cm


    thumb_up1 voto/sflag
  • icon

    Froylan
    el 22/1/18

  • icon

    Nadia Sánchez Montosa
    el 22/1/18

    Buenas noches, estoy bloqueada con esta ecuación trigonométrica...

    sen(x + 30º) + cos(x + 60º) = 1 + cos2x

    Muchas gracias.

    replythumb_up0 voto/sflag
    icon

    Ángel
    el 22/1/18

                                              sen(x + 30º)           +                  cos(x + 60º)                        = 1 + cos2x

                            senx*cos30º + sen30º*cosx + cosx*cos60º - senx*sen60º             = 1 + cos2x - sen2x

                senx*cos30º + sen30º*(√(1-sen2x)) + (√(1-sen2x))*cos60º - senx*sen60º = 1 + 1-sen2x - sen2x


    Sólo tienes que sustituir los valores de ángulos conocidos por su valor numérico y obtendrás una ecuación de segundo grado con cambio de variable t=senx

    Después hallar los cuatro valores de x utilizando x= arcsen(t) y verificar si alguna/s de la/s equis satisfacen

    la ecuación original  sen(x + 30º) + cos(x + 60º) = 1 + cos2x


    thumb_up1 voto/sflag
    icon

    Antonius Benedictus
    el 23/1/18


    thumb_up1 voto/sflag
  • icon

    aitor muñoz
    el 22/1/18

    Hola unicos, me plantean un problema matemático, y tengo la sensación de que el resultado no es tan sencillo como parece:

    Un niño tiene un montón de caramelos con una peculiaridad matemática. Si los agrupa de 2 en 2, le sobra 1, y ocurre lo mismo agrupándolos de 3 en 3, de 4 en 4... y  así incluso hasta agruparlos de 10 en 10. Cual seria la cantidad mas pequeña de caramelos que puede tener el niño?


    gracias, me lo han planteado mis hijas y no se que contestarles... :-(


    replythumb_up0 voto/sflag
    icon

    Gabriel
    el 23/1/18

    Hola Aitor.

    Creo que la solución sería que al sobrar a todos los grupos 1, al irlos agrupando de 2 en 2, de 3 en 3, así hasta 10, la solución sería buscar un múltiplo de todos ellos. Así que tendríamos...

    10 * 9 * 8 * 7 * 6 = 30.240

    No considero el del 1 al 5 porque...

    1 es divisor de todos.

    10 es múltiplo de 2 y 5

    9 es múltiplo de 3

    8 es múltiplo de 4

    SOLUCION 30.241


    thumb_up1 voto/sflag
    icon

    Ángel
    el 23/1/18

    Cuidado, Gabriel.

    Descomponemos en factores primos:

    2=21

    3=31

    4=22

    5=51

    6=31*21

    7=71

    8=23

    9=32

    10=21*51


    Hacemos el mínimo común múltiplo de  2,3,4,5,6,7,8,9,10 ; esto es equivalente a buscar un número (las unidades en el montón de caramelos) del que no sobre ninguno

    http://www.estudiantes.info/matematicas/minimo_comun_multiplo.htm

    comunes y no comunes con el mayor exponente de los números (2,3,4,5,6,7,8,9,10) =

    mcm(2,3,4,5,6,7,8,9,10) =

    23*32*51*71 =

    8*9*7*5 =

    2520


    Para que sobre 1 caramelo y el nº sea MÍNIMO(=cantidad más pequeña), el niño tendrá que tener 2520+1= 2521 caramelos en el montón.


    thumb_up2 voto/sflag
  • icon

    victor
    el 22/1/18

    hola unicos estoy bloqueado con esta ecuacion 

    replythumb_up0 voto/sflag
    icon

    Ángel
    el 22/1/18

    Si haces el mínimo común múltiplo de los denominadores obtienes: 10(x-2)(x+3)


    Tienes que proceder así:

    1º Pasas a común denominador

    2º Te quedas con los numeradores (eliminas denominadores)...cuidado con los signos!

    3º Reordenas hasta obtener la ecuación de segundo grado 12x2-x-1=0

    4º La solucionas con la fórmula y verificas que son soluciones válidas x1= -1/4 ; x2= 1/3


    Si dudas en algún paso nos cuentas.

    thumb_up0 voto/sflag
  • icon

    Laura
    el 22/1/18

    Buenas tardes unicoos!! tengo que pasar la siguiente ecuación paramétrica a ecuación rectangular:

    x = cosθ

    y= sen θ - cosθ



    replythumb_up0 voto/sflag
    icon

    Antonius Benedictus
    el 22/1/18


    thumb_up1 voto/sflag
  • icon

    lbp_14
    el 22/1/18

    Hola Unicoos me ayudan con este ejercicio no entiendo que hay que hacer con B>0

    Muchas gracias


    replythumb_up0 voto/sflag
    icon

    Antonius Benedictus
    el 22/1/18


    thumb_up0 voto/sflag
  • icon

    victor
    el 22/1/18

    hola un poco de ayuda con esta pregunta gracias 


    replythumb_up0 voto/sflag
    icon

    Ángel
    el 22/1/18

    tu ecuación=

    ln((2x)*(x+1)) = ln(3x+1)

    ((2x)*(x+1)) = (3x+1)

    (2x2+2x) = (3x+1)

    2x2+2x = 3x+1

    2x2-3x+2x-1 = 0

    2x2-x-1 = 0

    x1=1

    x2= -1/2


    Verificamos las equis que son mayores que 0 (sólo nos quedamos con las estrictamente positivas), y determinamos que la única solución válida es x=1 .


    thumb_up1 voto/sflag
    icon

    Antonius Benedictus
    el 22/1/18


    thumb_up1 voto/sflag
  • icon

    Constanza Bastías
    el 22/1/18

    Hola! Ayuda con esta pregunta, gracias!!


    replythumb_up0 voto/sflag
    icon

    Antonius Benedictus
    el 22/1/18


    thumb_up1 voto/sflag