Foro de preguntas y respuestas de Matemáticas

logo beUnicoos
Los foros de unicoos se han unificado en nuestra nueva plataforma beUnicoos. Para dejar nuevas preguntas deberás hacerlo allí, donde además podrás encontrar nuevas asignaturas y herramientas para ayudarte más con tus estudios.

  • icon

    A. Q Torres
    el 22/1/18

    Necesito ayuda con este ejercicio. Hay q resolver y discutir. Pero tras intentar hacerlo por crammer no consigo simplificar los polinomios 


    replythumb_up0 voto/sflag
    icon

    César
    el 22/1/18

    Sistemas de ecuaciones

    Mirate los videos hay alguno similiar

    thumb_up0 voto/sflag
  • icon

    lbp_14
    el 22/1/18

    Hola Unicoos 

    Me ayudan con este determinante, me ha quedado algo denso.

    Muchas gracias


    replythumb_up0 voto/sflag
    icon

    César
    el 22/1/18

    POr Gauss



    thumb_up0 voto/sflag
  • icon

    Laura
    el 22/1/18

    Buenas!! Tengo una duda sobre ecuaciones funcionales, ¿cómo demuestro las siguientes igualdades? 

    f(x+y)=f(x)·f(y)

    f(x) + f(y) - f(x+y) = xy

    f(x+y) +f(x-y)= 2· f(x) · cos(y)


    Muchas gracias!

    replythumb_up1 voto/sflag
    icon

    César
    el 22/1/18

    Enunciado original Laura

    thumb_up0 voto/sflag
    icon

    Laura
    el 22/1/18

    Perdón, no he formulado bien la pregunta. Me sabe mal, los enunciados están en catalán pero supongo que se entienden. Mis dudas son del 49a, 49g y 53.


    Muchas gracias!

    thumb_up0 voto/sflag
  • icon

    lbp_14
    el 22/1/18

    Hola unicoos,

    me podrian ayudar con este, muchas gracias

    Si M es una matriz cuadrada y ΙMΙ= 6 , ¿qué se puede decir del determinante de M^3 ? ¿Y del determinante de 2M?

    replythumb_up0 voto/sflag
    icon

    César
    el 22/1/18

    |M^3 |=6^3

     2|M|=2*6=12

    thumb_up1 voto/sflag
    icon

    lbp_14
    el 22/1/18

    Me puede escribir cual es la propiedad que has aplicado? Muchas gracias

    thumb_up0 voto/sflag
  • icon

    MARI JOSE
    el 22/1/18

    Hola buenas tardes, alguien me puede ayudar con este determinante? gracias

    replythumb_up0 voto/sflag
    icon

    César
    el 22/1/18


    thumb_up0 voto/sflag
    icon

    MARI JOSE
    el 22/1/18

    Pero por qué está mal:  F3*(-1) + F2 ?????

    thumb_up0 voto/sflag
  • icon

    Ignasi
    el 22/1/18

    Uno de proporciones:

    Queremos construir una maqueta de un coche que la podamos introducir en el maletero del coche.

    Las dimensiones del coche son: 4,8 m. de largo, 1,80 m. de altura y 1,47 m. de ancho. El maletero mide 1,60m x 1,20m x 0,60cm.

    1- ¿Cuales son la dimensiones máximas que puede tener la maqueta?

    2- ¿Cuál es el volumen del maletero de la maqueta?


    Gracias amigos!


    replythumb_up0 voto/sflag
    icon

    Ángel
    el 22/1/18

    1- ¿Cuales son la dimensiones máximas que puede tener la maqueta?

    Escala máxima para el largo---->  4.8 * x   =  1.6   ------->   x= 1:3       

    Escala máxima para altura---->  1.8 * x   =  1.2      ------->   x= 2:3 

    Escala máxima para altura---->  1.47 * x   =  0.6     ------->   1:3 < x < 2:3


    Nos quedamos con la x que "restringe más" porque "exige" que se reduzca más al pasar del tamaño real del coche a la maqueta, este valor de escala es 1:3 

    Al reducir a escala 1:3 cabrá la maqueta "por los pelos" a lo largo


    (4.8 x 1.80 x 1.47) x 1:3 =  (1.6m x 0.6m x 0.49m)  son las dimensiones máximas de la maqueta.


    thumb_up1 voto/sflag
    icon

    Ángel
    el 22/1/18

     (1.6m x 0.6m x 0.49m)  son las dimensiones máximas de la maqueta

    Escala máxima para el largo ------->   x= 1:3       

    Escala máxima para altura ------->   x= 2:3 

    Escala máxima para altura  ------->    x = 0.6 : 1.47 = 0.2 : 0.49


    2- ¿Cuál es el volumen del maletero de la maqueta?

     (1.6m x 0.6m x 0.49m) x (1:3 x 2:3 x 0.2:0.49)=  (0.53333  x  0.4  x  0.2) m3≈   0.04267 m3

    thumb_up1 voto/sflag
    icon

    César
    el 22/1/18


    thumb_up0 voto/sflag
  • icon

    Jorge García Guirola
    el 22/1/18
    flag

    Propongo un ejercicio de tecnología industrial:


    replythumb_up0 voto/sflag
    icon

    Guillem De La Calle Vicente
    el 22/1/18

    Mejor en el foro de física!

    Saludos.

    thumb_up1 voto/sflag
  • icon

    mar martin
    el 22/1/18

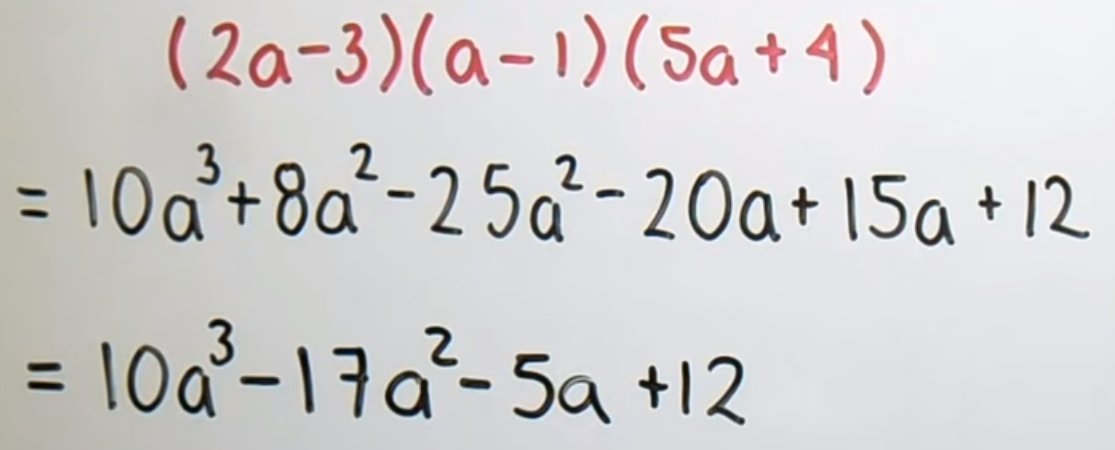
    Hola no encuentro la multiplicacion de polinomios 3º eso, alguien me podria ayudar?


    replythumb_up0 voto/sflag
    icon

    Ángel
    el 22/1/18








    thumb_up1 voto/sflag
  • icon

    Pamela Zambrano
    el 22/1/18


    replythumb_up0 voto/sflag
    icon

    Guillem De La Calle Vicente
    el 22/1/18


    thumb_up0 voto/sflag
  • icon

    JR
    el 22/1/18

    Buenas!
    Pregunta de 4o de ESO, en los temas de conjuntos y representación en la recta real
    ¿Alguien entiende el enunciado?

    "Desarrolla el siguiente valor absoluto: |4/3 - x|"

    replythumb_up0 voto/sflag
    icon

    Antonius Benedictus
    el 22/1/18

    Pon foto del enunciado original completo.

    thumb_up1 voto/sflag
    icon

    Guillem De La Calle Vicente
    el 22/1/18


    thumb_up1 voto/sflag
    icon

    JR
    el 22/1/18

    Tal cual lo escribo entrecomillado, Antonio. ¿No le ves sentido tampoco, no?
    Gracias por tu tiempo.

    thumb_up1 voto/sflag