¿Cómo se resuelve este ejercicio?
Hallar el plano que contiene a la recta v de ecuación paramétrica
v: (2,1,3)+t (02,1,0) y es perpendicular al plano de ecuación x + z = 2

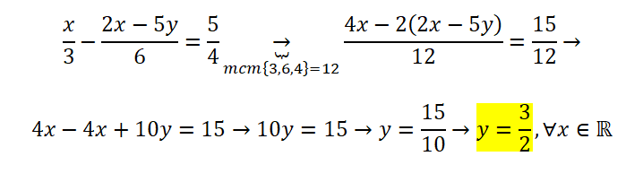
Comienza por multiplicar en todos los términos de la ecuación por 12, y queda:
12*x/3 - 12*(2*x - 5*y)/6 = 12*5/4;
luego, simplificas en cada término, y queda:
4*x - 2*(2*x - 5*y) = 15;
luego, distribuyes en el segundo término, y queda:
4*x - 4*x + 10*y = 15;
luego, cancelas términos opuestos, y queda:
10*y = 15;
luego, haces pasaje de factor como divisor, y queda:
y = 15/10;
luego, simplificas el segundo miembro, y queda:
y = 3/2;
y observa que la ecuación es independiente de la incógnita x.
Espero haberte ayudado.
cual es la raíz sexta de 729i

Observa que el módulo del número complejo es 729 = 36, y que su argumento es 90° = π/2 rad;
luego, su expresión en forma polar (módulo-argumento) es: (36)π/2.
Luego, te piden calcular las raíces sextas del número complejo, y para ello plantea:
w = 6√( (36)π/2 );
luego, aplicas la Fórmula de De Moivre para las raíces, y queda:
wk = ( 6√(36) )(π/2+2*k*π)/6, con k = 0, 1, 2, 3, 4, 5;
luego, simplificas raíz y potencia en la expresión del módulo, distribuyes y simplificas en la expresión del argumento, y la expresión general de las raíces sextas del número complejo de tu enunciado queda:
wk = (3)π/12+k*π/3, con k = 0, 1, 2, 3, 4, 5;
luego, reemplazas valores y resuelves en la expresión del índice, y queda:
w0 = (3)π/12,
w1 = (3)5π/12,
w2 = (3)3π/4,
w3 = (3)13π/12,
w4 = (3)17π/12,
w5 = (3)7π/4.
Espero haberte ayudado.
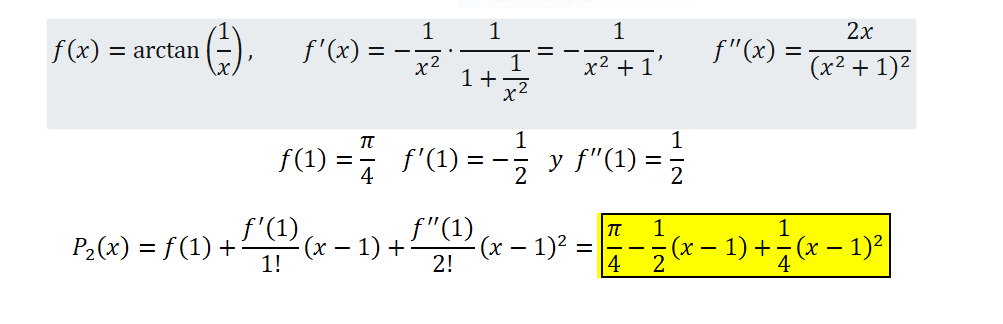
Hola, como se haría la siguiente función: f(x)= arctg (1/x), mediante el polinomio de Taylor, de orden 2 en el punto 1.

Plantea las expresiones de las derivadas que necesitas:
f(0)(x) = arctan(1/x) = arctan(x-1),
f(1)(x) = 1/(1+x-2)*(-x-2) = 1/(1+x-2)*(-1/x2) = -1/(x2+1) = -(x2+1)-1,
f(2)(x) = +1*(x2+1)-2*2x = 2x/(x2+1)2.
Luego, evalúas para el centro de desarrollo (c = 1), y quedan:
f(0)(1) = arctan(1/1) = arctan(1) = π/4,
f(1)(1) = -1/(12+1) = -1/(1+1) = -1/2,
f(2)(1) =2*1/(12+1)2 = 2/(1+1)2 = 2/4 = 1/2.
Luego, plantea la expresión general del Polinomio de Taylor de orden dos:
P2(x) = f(0)(c) + f(1)(c)*(x-c) + ( f(2)(c)/2! )*(x-c)2;
luego, reemplazas valores, y queda:
P2(x) = π/4 + (-1/2)*(x-1) + ( (1/2)/2 )*(x-1)2;
resuelves coeficientes, y queda:
P2(x) = π/4 - (1/2)*(x-1) + (1/4)*(x-1)2.
Espero haberte ayudado.
Un ejercicio de escalas de 2o de ESO:
Hacemos un dibujo a escala 1:50 y, a continuación, lo reproducimos a escala 3:2. ¿Cuál es la escala resultante?
Muchas gracias!

Puedes llamar L a una longitud real, x a su representación en el primer dibujo e y a su representación en el segundo dibujo.
Luego, tienes los datos:
e1 = 1/50,
e2 = 3/2,
e = a determinar;
luego, puedes plantear para el primer dibujo:
x/L = e1, haces pasaje de divisor como factor, y queda:
x = L*e1 (1);
luego, puedes plantear para el segundo dibujo:
y/x = e2, haces pasaje de divisor como factor, y queda:
y = x*e2 (2).
Luego, sustituyes la expresión señalada (1) en la ecuación señalada (2), y queda:
y = L*e1*e2 (3).
Luego, plantea la expresión de la escala resultante:
e = y/L, sustituyes la expresión señalada (3), y queda:
e = L*e1*e2/L, simplificas, y queda
e = e1*e2,
que es la expresión general para la composición entre dos escalas, como es el caso que tienes en tu enunciado;
luego, reemplazas valores, y queda:
e = (1/50)*(3/2) = 3/100,
por lo que puedes concluir que la escala resultante queda expresada: 3:100.
Espero haberte ayudado.
Escala real----> 1:1
Pasamos a escala 1:50 (lo hacemos más pequeño)-----> 1:1 × 1:50 = (1× 1) : (1× 50) = 1:50
Escala resultante---> Pasamos de escala 1:50 a 3:2 (lo agrandamos, aunque resulta una escala más pequeña que la real) -----> 1:1 × 1:50 x 3:2 = (1× 1 x 3) : (1× 50× 2 ) = 3:100