Foro de preguntas y respuestas de Matemáticas

logo beUnicoos
Los foros de unicoos se han unificado en nuestra nueva plataforma beUnicoos. Para dejar nuevas preguntas deberás hacerlo allí, donde además podrás encontrar nuevas asignaturas y herramientas para ayudarte más con tus estudios.

  • icon

    Vivi
    el 23/1/18

    Me ayudan con el 6, 21, 23 porfa!

    replythumb_up0 voto/sflag
    icon

    Ángel
    el 23/1/18

    23)

    n= ((an- a1)/d)+1

    n= ((y -(20x-19y))/(y-x))+1

    n= ((y -20x+19y)/(y-x))+1

    n= ((20y -20x)/(y-x))+1

    n= 20*((y -x)/(y-x))+1

    n= 20*(1)+1

    n=21 términos.


    thumb_up0 voto/sflag
    icon

    Ángel
    el 23/1/18

    6)

    ---------->  A las 2 horas y media (= 2½ horas= 2.5 horas) el desagüe mayor habrá vaciado (2.5)/5 = 1/2 del total de la pileta

    ---------->  A las 2 horas y media (= 2½ horas= 2.5 horas) el desagüe menor habrá vaciado (2.5)/11 = (25)/110 = 5/22  del total de la pileta


    --------------------> Entonces a las 2 horas y media funcionando juntos se habrán vaciado (1/2)+(5/22) = (11/22)+(5/22) = 16/22 = 8/11 del total de la pileta

    -------------------->El enunciado nos dice que a las 2 horas y media funcionando juntos se habrán vaciado 352 m3

    Por lo tanto: (8/11)*x=352  ------>  x=(352*11)/8 = 484 m3 ES EL TOTAL DE LA PILETA 


    CONCLUIMOS QUE  DESPUÉS DE FUNCIONAR 2 HORAS Y MEDIA JUNTAS, QUEDAN 484-352=          132 m3   ((OPCIÓN B))                       


    thumb_up0 voto/sflag
  • icon

    victor
    el 23/1/18

    hola unicos este problema no me acaba de salir que me podéis ayudar:


    dos vértices opuestos de un rombo están situados en los puntos P (-1, -2) y Q (0,3) Sabemos que la superficie del rombo es de 13 unidades.Calculen los otros vértices

    gracias



    replythumb_up0 voto/sflag
    icon

    Antonius Benedictus
    el 23/1/18


    thumb_up0 voto/sflag
  • icon

    sandra
    el 23/1/18

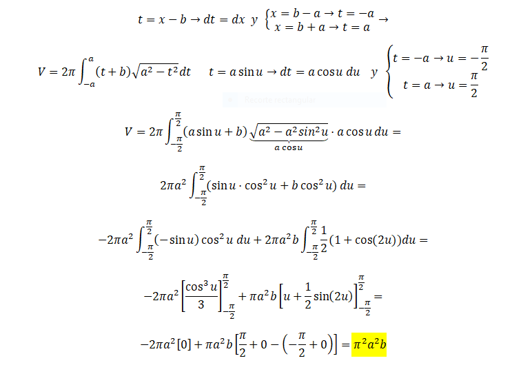
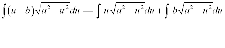
    hola, me podríais ayudar con esta integral??


    C

    replythumb_up0 voto/sflag
    icon

    César
    el 23/1/18

    haz el cambio (x-b)=u



    thumb_up0 voto/sflag
    icon

    Antonius Benedictus
    el 23/1/18


    thumb_up1 voto/sflag
  • icon

    Carla
    el 23/1/18

    Hola. ¿Me podrían ayudar con esta integral? No se por dónde cogerla. Gracias.

    replythumb_up0 voto/sflag
    icon

    Antonius Benedictus
    el 23/1/18

    Cambio de variable; 

    t=cos(2x)

    thumb_up0 voto/sflag
    icon

    Axel Morales Piñón.
    el 23/1/18

    Del tipo arcotangente.

    thumb_up0 voto/sflag
  • icon

    Javier CS
    el 23/1/18

    Hola, necesitaría ayuda con los siguientes ejericios. Dejo el enlace a la captura de pantalla:
    Actividades: https://i.gyazo.com/4f057fc75116dc1da5af63e8bb3815fb.png
    Gracias de antemano.

    replythumb_up0 voto/sflag
    icon

    Antonius Benedictus
    el 23/1/18

  • icon

    ngb
    el 23/1/18

    Hola: Tengo la siguiente duda. Para hallar el término independiente D de la ecuación general de un plano, sustituyo cualquier valor de algún punto del plano en la ecuación y depende del punto que coja me da diferente valor D. ¿Es normal o me estoy confundiendo en algo?


    replythumb_up0 voto/sflag
    icon

    Antonius Benedictus
    el 23/1/18

    No puede ser. Sube un ejercicio.

    thumb_up0 voto/sflag
  • icon

    Froylan
    el 23/1/18

    Hola pueden verificar si este polinomio lo simplifique bien



    replythumb_up0 voto/sflag
    icon

    Guillem De La Calle Vicente
    el 23/1/18


    thumb_up1 voto/sflag
    icon

    Antonius Benedictus
    el 23/1/18


    thumb_up0 voto/sflag
  • icon

    Sergio
    el 23/1/18

    Podrías hacer un video de sacar mcm de varios polinomios par 4eso? 

    replythumb_up0 voto/sflag
    icon

    Guillem De La Calle Vicente
    el 23/1/18

    Creo que no hay ningún vídeo de esto, pero sí que hay las aplicaciones que tiene el mcm de polinomios, y por tanto aparece en vídeos como este:

    https://www.youtube.com/watch?v=fyoP9EWxZRE

    Seguro que hay más si buscas.

    Saludos.

    thumb_up1 voto/sflag
  • icon

    Laura
    el 23/1/18

    Hola!

    Me podrían ayudar a hallar la solución general de la ecuación diferencial:

    dy/dx = y/x+2x+1

    replythumb_up0 voto/sflag
    icon

    César
    el 23/1/18


    thumb_up1 voto/sflag
  • icon

    Laura
    el 23/1/18

    Buenas tardes, tengo dudas en un problema donde hay que utilizar inducción. El problema dice lo siguiente:

    Demuestra que todos los numeros 12008, 120308, 1203308, ... son divisibles por 19.

    Muchas gracias!

    replythumb_up0 voto/sflag
    icon

    Guillem De La Calle Vicente
    el 23/1/18


    thumb_up2 voto/sflag
    icon

    César
    el 23/1/18

    Sin llegar a ser induccion 


    thumb_up1 voto/sflag