tan(3x+10°+α) Cot( x+70+α) = 1

Recuerda:
tan(x) = tan(y), si y solo si x = y o x = y + 180°;
cotg(y) = 1/tan(y).
Observa que exploramos la existencia de soluciones de la ecuación de tu enunciado en el intervalo: [0,360°).
Puedes comenzar por expresar al segundo factor en función de la tangente de su argumento, y queda:
tan(3x+10°+a)*( 1/tan(x+70°+a) = 1.
Luego, multiplicas por tan(x+70°+a) en ambos miembros, simplificas en el primer miembro, y queda:
tan(3x+10°+a) = tan(x+70°+a).
Luego, como tienes igualdad entre dos tangentes, tienes dos opciones:
1)
3x+10°+a = x+70°+a, haces pasajes de términos, reduces términos semejantes (observa que tienes cancelaciones), y queda:
2x = 60°, haces pasaje de factor como divisor, y queda:
x = 30°;
luego, para verificar, reemplazas en la ecuación de tu enunciado, reduces las expresiones en los argumentos, y queda:
tan(100°+a)*cotg(100°+a) = 1, que es una identidad trigonométrica válida;
2)
3x+10°+a = x+70°+a + 180°, haces pasajes de términos, reduces términos semejantes (observa que tienes cancelaciones), y queda:
2x = 240°, haces pasaje de factor como divisor, y queda:
x = 120°;
luego, para verificar, reemplazas en la ecuación de tu enunciado, reduces las expresiones en los argumentos, y queda:
tan(370°+a)*cotg(190°+a) = 1, expresas al primer argumento como suma con un término igual a 180°, y queda:
tan(190°+a + 180°)*cotg(190°+a) = 1, que es una identidad trigonométrica válida.
Espero haberte ayudado.
Sobre una recta se ubican los puntos consecutivos A,B, C y D, tal que: AB-CD = 6, BC= 4 y AD= 26. Calcular BD
a)10 b)16 c)18 d)20 e)12

¡Hola! Nos encantaría ayudarte, pero no solemos responder dudas universitarias que no tengan que ver específicamente con los vídeos que David Calle ha grabado como excepción. O de otras asignaturas que no sean Matemáticas, Física y Química. Lo sentimos de corazón… Esperamos que lo entiendas.
Ojalá algún unicoo universitario se anime a ayudarte (de hecho, lo ideal es que todos los universitarios intentarais ayudaros los unos a los otros).
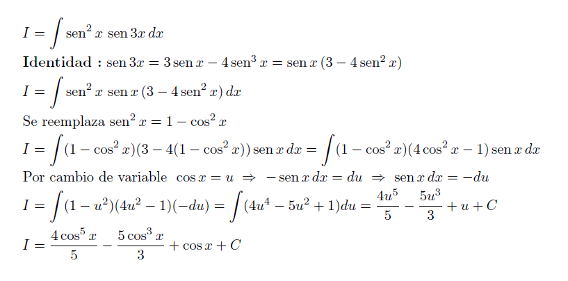
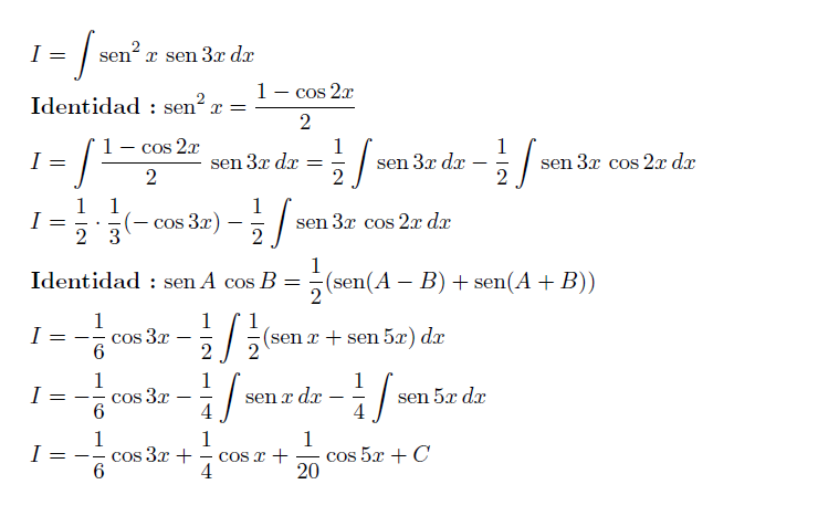
Hola. ¿Me podrían ayudar con estas integrales indefinidas?:
1- ∫ sen2x · sen 3x
2 - ∫ arctg x dx
Muchas gracias.

Vamos con una orientación.
1)
Recuerda la identidad trigonométrica: sen2x = ( 1 - cos(2x) )/2 = 1/2 - (1/2)*cos(2x);
luego, sustituyes, y la integral queda:
∫ ( sen2x - sen(3x) )*dx = aplicas la identidad en el primer término = ∫ ( 1/2 - (1/2)*cos(2x) - sen(3x) )*dx = separas en términos:
= ∫ (1/2)*dx - ∫ (1/2)*cos(2x)*dx - ∫ sen(3x)*dx =
y puedes continuar la tarea (observa que la primera integral es directa, y que en la segunda y en la tercera puedes aplicar las sustituciones, o cambios de variables: u = 2x, v = 3x, respectivamente).
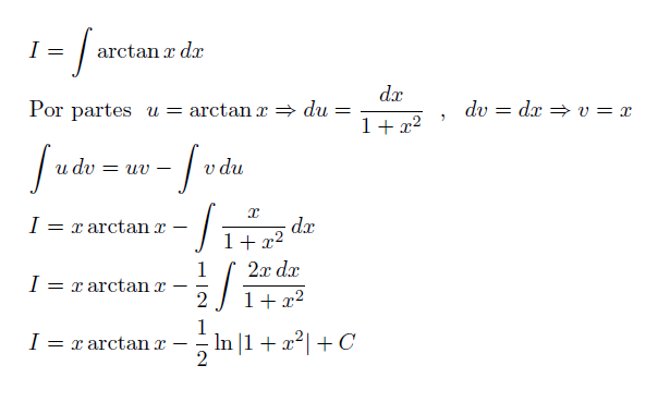
2)
Tienes la integral:
∫ arctanx*dx = ∫ arctanx*1*dx =
y puedes continuar la tarea (observa que puedes aplicar el Método de Integración por partes: u = arctanx, dv = 1*dx).
Haz el intento de terminar el trabajo, y si te resulta necesario, no dudes en volver a consultar.
Espero haberte ayudado.
Hola .¿.me podéis ayudar con este problema y decirme si lo he resuelto bien?
Un billete de lotería cuesta 200 euros. Se vende en décimos , cada uno cuesta 1/10 del precio del billete. Diego ha comprado un décimo y lo reparte entre sus cinco hermanos.
-¿ Qué fracción del billete inicial representa la parte que tiene cada hermano?
-Si el billete obtiene un premio de 3000 euros, ¿qué premio corresponderá a cada hermano?
1/10 de 200 = 200:10= 20x1 = 20 euros 20:5= 4/20
4/20 de 3000 = 150x4=600 euros
1/10 de 200 = 200:10= 20x1 = 20 euros vale el décimo
-¿ Qué fracción del billete inicial representa la parte que tiene cada hermano?
Diego repartió UN décimo entre 5 hermanos --------> 20:5= 4 euros de participación tiene cada hermano
200 euros de participación tiene un billete de lotería
ENTONCES 4/200= 1/50 del billete inicial tiene cada hermano
-Si el billete obtiene un premio de 3000 euros, ¿qué premio corresponderá a cada hermano?
1/1 ---------> 3000 euros
1/50 ---------> x euros x= 3000/50 = 60 euros le corresponderá a cada hermano

a)
Puedes plantear las sustituciones (cambios de incógnitas): u = 1/x (1), v = 1/y (2);
luego sustituyes, y el sistema queda (observa que simplificamos coeficientes:
9u - 3v = 15
u + v = 25/3, aquí haces pasaje de término, y queda: u = 25/3 - v (3);
luego, sustituyes la expresión señalada (3) en la primera ecuación, distribuyes el primer término, y queda:
75 - 9v - 3v = 15, haces pasaje de término, reduces términos semejantes, y queda:
-12v = -60, haces pasaje de factor como divisor, resuelves, y queda: v = 5 (4);
luego, reemplazas en la ecuación señalada (3), resuelves, y queda: u = 10/3 (5).
Luego, reemplazas el valor señalado (5) en la ecuación señalada (1), resuelves y queda: x = 3/10;
luego, reemplazas el valor señalado (4) en la ecuación señalada (2), resuelves y queda: y = 1/5.
d)
Puedes plantear la sustitución (cambio de incógnita): u = 1/x (1);
luego, sustituyes, y el sistema queda:
u + 1/(4y) = 3, aquí haces pasaje de término, y queda: u = 3 - 1/(4y) (2),
4u - 8y = 6;
luego, sustituyes la expresión señalada (2) en la segunda ecuación, distribuyes en su primer término, y queda:
12 - 1/y - 8y = 6, multiplicas en todos los términos de la ecuación por y (observa que y debe ser distinto de cero), y queda:
12y - 1 - 8y2 = 6y, haces pasaje de término, reduces términos semejantes, ordenas términos, y queda:
-8y2 + 6y - 1 = 0,multiplicas por -1 en todos los términos de la ecuación, y queda:
8y2 - 6y + 1 = 0,
que es una ecuación polinómica cuadrática, cuyas soluciones son:
1)
y = 4/16 = 1/4;
luego reemplazas en la ecuación señalada (2), y queda:
u = 3 - 1/1 = 2 (3);
luego, reemplazas el valor señalado (3) en la ecuación señalada (1), resuelves y queda:
x = 1/2;
2)
y = 8/16 = 1/2;
luego reemplazas en la ecuación señalada (2), y queda:
u = 3 - 1/2 = 5/2 (4);
luego, reemplazas el valor señalado (4) en la ecuación señalada (1), resuelves y queda:
x = 2/5.
Espero haberte ayudado.
Tengo dudas al saber cómo queda la inversa de la función f(x)= Ιx2-4Ι, mediante la composición entre f y su inversa, o sea :
f(f-1(x))=x
¿Me ayudan?

Debes tener en cuenta que la función f tiene dominio: Df = R, y su imagen es: If = [0.+∞), y que la función no es biyectiva,
observa, por ejemplo: f(-2) = 0 y f(2) = 0, y lo mismo ocurre con cualquier para de valores de x que sean opuestos.
Luego, si haces un gráfico, verás que la función es:
decreciente en el intervalo (-∞,-2),
creciente en el intervalo (-2,0),
decreciente en el intervalo (0,2),
creciente en el intervalo (2,+∞).
Luego, para que exista la función inversa, debes restringir el dominio de la función a alguno de estos intervalos, por ejemplo:
Si eliges el último intervalo, tienes: Df = (2,+∞) e If = (0.+∞),
y la expresión de la gráfica de la función queda (observa que el argumento del valor absoluto es positivo para este dominio):
y = x2 - 4, haces pasajes de términos, y queda:
-x2 = -y - 4, multiplicas en todos los términos de la ecuación por -1, y queda:
x2 = y + 4, haces pasaje de potencia como raíz (observa que elegimos el signo positivo para este dominio), y queda:
x = √(y +4), que es la ecuación explícita de la gráfica de la función para la variable x;
luego, permutas variables, y queda:
y = √(x +4), que es la ecuación explícita de la gráfica de la función inversa,
cuya expresión queda:
f-1(x) = √(x +4), y cuyo dominio es: Di = (0.+∞), y cuya imagen es: Ii = (2,+∞).
Luego, puedes plantear las composiciones:
(f-1 o f)(x) = f-1( f(x) ) = f-1(x2 - 4) = √(x2 - 4 + 4) = √(x2) = |x| = x, ya que x toma valores positivos en el dominio de la función f;
(f o f-1)(x) = f( f-1(x) ) = f( √(x +4) ) = ( √(x +4) )2 - 4 = |x + 4| - 4 =
observa que el argumento del valor absoluto es positivo para todo valor x del dominio de la función inversa =
= x + 4 - 4 = x.
Espero haberte ayudado.

Si tienes el primer intervalo (semicerrado), tienes: Df = (-∞,-2] e If = [0.+∞),
y la expresión de la gráfica de la función queda (observa que el argumento del valor absoluto es positivo para este dominio):
y = x2 - 4, haces pasajes de términos, y queda:
-x2 = -y - 4, multiplicas en todos los términos de la ecuación por -1, y queda:
x2 = y + 4, haces pasaje de potencia como raíz (observa que elegimos el signo negativo para este dominio), y queda:
x = -√(y +4), que es la ecuación explícita de la gráfica de la función para la variable x;
luego, permutas variables, y queda:
y = -√(x +4), que es la ecuación explícita de la gráfica de la función inversa,
cuya expresión queda:
f-1(x) = -√(x +4), y cuyo dominio es: Di = [0.+∞), y cuya imagen es: Ii = (-∞,-2].
Luego, puedes plantear las composiciones:
(f-1 o f)(x) = f-1( f(x) ) = f-1(x2 - 4) = -√(x2 - 4 + 4) = -√(x2) = -|x| = observa que x toma valores negativos en el dominio de la función f =
= -(-x) = x;
(f o f-1)(x) = f( f-1(x) ) = f( -√(x +4) ) = ( -√(x +4) )2 - 4 = |x + 4| - 4 =
observa que el argumento del valor absoluto es positivo para todo valor x del dominio de la función inversa =
= x + 4 - 4 = x.
Espero haberte ayudado.