¡Hola! Necesito ayuda...
¿Cómo resuelvo este ejercicio?:
(3√8)2× (5√4)

Comienza por tratar con cada factor de la expresión por separado:
( ∛(8) )2 = resuelves la raíz cúbica = (2)2 = resuelves la potencia = 4;
5√(4) = expresas al argumento como una potencia = 5√(22).
Luego, tienes la expresión de tu enunciado:
( ∛(8) )2 * 5√(4) = reemplazas = 4 * 5√(22),
y observa que hemos obtenido la mínima expresión posible, ya que el exponente de la potencia es menor que el índice de la raíz en el segundo factor.
Espero haberte ayudado.
Hola buenos días. Me podrían corregir el siguiente ejercicio y decirme si lo he hecho bien? El enunciado es el siguiente: Calcula la ecuación de la recta paralela a la recta r: (x + y-z = 0 2x-y + z-1 = 0) que pasa por el punto P = (0,1,0). ![]()

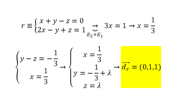
Observa que debes corregir un signo en la segunda ecuación, antes de sumarlas para despejar la variable y:
observa que la segunda ecuación de la resta debe quedar: 2x - y + λ = 1;
luego sumas las ecuaciones, y queda:
-3y + 3λ = 1, multiplicas por -1/3 en todos los términos de la ecuación, y queda:
y - λ = -1/3, haces pasaje de término, y queda:
y = -1/3 + λ;
luego, despejaste correctamente: x = 1/3;
y las ecuaciones cartesianas paramétricas de la recta r quedan:
x = 1/3,
y = -1/3 + λ,
z = λ,
con λ ∈ R;
y el vector: v = <0,1,1> es uno de sus vectores directores.
Luego, tienes un punto de la recta buscada: P(0,1,0), y como es paralela a la recta r, tienes también uno de sus vectores directores, por lo que puedes plantear las ecuaciones cartesianas paramétricas de esta nueva recta:
x = 0 + 0μ,,
y = 1 + 1μ,
z = 0 + 1μ,
con μ ∈ R;
luego, cancelas términos nulos, y quedan:
x = 0,,
y = 1 + μ,
z = μ,
con μ ∈ R.
Espero haberte ayudado.