Foro de preguntas y respuestas de Matemáticas

logo beUnicoos
Los foros de unicoos se han unificado en nuestra nueva plataforma beUnicoos. Para dejar nuevas preguntas deberás hacerlo allí, donde además podrás encontrar nuevas asignaturas y herramientas para ayudarte más con tus estudios.

  • Usuario eliminado
    el 20/1/18

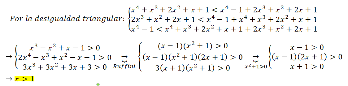
    Hola buenos días. Me podrían corregir el siguiente ejercicio y decirme si lo he hecho bien? El enunciado es el siguiente: Encuentra la ecuación del plano que pasa por los puntos A = (1,3,2) y B = (- 2,5,0) y es paralela a la recta (x = 3-λ, y = 2 + λ , z = -2-3λ).

    replythumb_up0 voto/sflag
    icon

    Guillem De La Calle Vicente
    el 20/1/18

    Lo tienes perfecto!

    Es importante también justificar todos los pasos que haces.

    El plano sera paralelo a AB(-3,2,-2) y a d(-1,1,-3).

    Un vector normal al plano es: (-3,2,-1)x(-1,1,-3)=(-4,-7,-1) ---> n(4,7,1)   (Utilizó la noción de espacio vectorial)

    El plano es: 4(x-1)+7(y-3)+1(z-2)=0 ---> 4x+7y+z-27=0.

    Saludos.

    thumb_up1 voto/sflag
  • icon

    Martín Sebastian
    el 20/1/18

    hola buenas noches. Tengo problemas con este enunciado:

    Sean A y B dos sucesos posibles y P(A/B) = 0, entonces A y B son sucesos:

    a) Mutuamente excluyentes 

    b) Independientes

    c) Compatibles

    d) Ninguna de las anteriores.

    Me ha aparecido en un examen de la facultad. Si de paso me podrian decir como hacer para darme cuenta de cuando dos sucesos son exluyentes, o dependientes y demas lo agradeceria. 

    replythumb_up0 voto/sflag
    icon

    Antonius Benedictus
    el 20/1/18


    thumb_up1 voto/sflag
    icon

    Guillem De La Calle Vicente
    el 20/1/18


    thumb_up2 voto/sflag
  • icon

    carlos
    el 20/1/18

    Cómo se resuelve esta integral ∫ |x|dx ?


    replythumb_up0 voto/sflag
    icon

    Ángel
    el 20/1/18

    ∫ |x|dx  = 

    --------->  ∫ x dx   si  x ≥ 0    =    (x2)/2 + C1   si  x ≥ 0 

    --------->  ∫ -x dx   si  x < 0    =    -(x2)/2 + C2   si  x < 0


    thumb_up1 voto/sflag
    icon

    Guillem De La Calle Vicente
    el 20/1/18


    thumb_up2 voto/sflag
  • icon

    Manu López Jurado
    el 20/1/18

    Se que esta pregunta no va aquí ni de lejos, pero no se donde preguntar y estudio matemáticas así que... La pregunta es si el plan PRO sirve para universitarios. Saludos y gracias.

    replythumb_up0 voto/sflag
    icon

    Antonius Benedictus
    el 20/1/18

    Solo para repasar y para ciertas carreras donde la Matemática que se da es solo un poco más que en Bachiller. En carreras técnicas y de Ciencias creo que te puede aportar poco. Un saludo.

    thumb_up1 voto/sflag
  • icon

    Natalia
    el 20/1/18

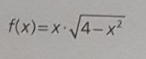
     Buenas tardes,  a la hora de hacer el limite de esta función cuando x tiende a menos infinito da igual que  lo que quede dentro de la raiz sea negativo? Muchas gracias 

    replythumb_up0 voto/sflag
    icon

    Guillem De La Calle Vicente
    el 20/1/18

    Yo diría que este límite no existe, pero no estoy seguro al 100% porque si te fijas el dominio de la función es [-2, 2], por tanto no tiene sentido en el conjunto de los números reales que la x tiende a menos infinito.

    Saludos.

    thumb_up1 voto/sflag
    icon

    Manu López Jurado
    el 20/1/18

    Concuerdo con Guillem, esa función no sale de [-2,2] luego no tiene sentido su límite en infinito


    thumb_up0 voto/sflag
  • icon

    Carla Alexandra Olivas Guerrero
    el 19/1/18

    Buen día, una ayuda por favor:

    xx= ∛4/9

    a)2/3    b)2   c)3/2   d)4   e)5/2

    replythumb_up0 voto/sflag
    icon

    Neofito 007
    el 20/1/18

    x^x = (4/9)^(1/3)  , además  4/9 = (2/3)^2 
    x^x = [ (2/3)^2 ]^(1/3)
    x^x = (2/3)^(2/3)
    x = 2/3

    NOTA :   "   ^  "  significa potencia o " elevado a "


    thumb_up0 voto/sflag
    icon

    Guillem De La Calle Vicente
    el 20/1/18


    thumb_up2 voto/sflag
  • icon

    Laura
    el 19/1/18

    Hola únicos!! me pide pasar la ecuación paramétrica: x= secθ, y=tgθ a ecuación rectangular



    replythumb_up0 voto/sflag
    icon

    Guillem De La Calle Vicente
    el 19/1/18


    thumb_up2 voto/sflag
  • icon

    Bárbara Acosta
    el 19/1/18

    Por favoor! Alguien me puede decir como se debería resolver este problema;  ¿Cuánto tiene que valer? m y n para que el polinomio P(x)=2x3+mx2+nx+2 tenga por raíces x=2 y x=1. Graciaaas


    replythumb_up0 voto/sflag
    icon

    Guillem De La Calle Vicente
    el 19/1/18


    thumb_up2 voto/sflag
  • icon

    anaespo
    el 19/1/18

    Cómo se hace este límite?el límite tiende a 2 y la x del seno está elevada a 3

    replythumb_up0 voto/sflag
    icon

    Antonio
    el 19/1/18

    Aplicando L'Hôpital

    La solución es 12

    thumb_up0 voto/sflag
    icon

    Guillem De La Calle Vicente
    el 19/1/18


    thumb_up0 voto/sflag
    icon

    Antonius Benedictus
    el 19/1/18


    thumb_up0 voto/sflag
    icon

    anaespo
    el 21/1/18

    Pero el seno de un número partido ese número no es 1 solamente cuando el límite tiende a cero??? se puede utilizar esa regla con el dos??

    thumb_up0 voto/sflag
    icon

    Antonio
    el 26/1/18

    No es cuando el limite tiende a cero, es cuando a lo que tu llamas número tiende a cero

    fíjate que si x tiende a 2 entonces x3- 8 tiende a cero

    thumb_up0 voto/sflag
  • icon

    Jordi García
    el 19/1/18

    Ayuda, ¿alguien sabe hacer alguno de estos ejercicios?



    Gracias.

    replythumb_up0 voto/sflag
    icon

    Antonius Benedictus
    el 19/1/18


    thumb_up0 voto/sflag
    icon

    Antonius Benedictus
    el 20/1/18


    thumb_up0 voto/sflag