x-2y=7 ------> x=(7+2y)
2*x2-3y2=47 -----> 2*(7+2y)2-3y2=47 -----> 2*(72+4y2+2*7*2y)-3y2=47 -----> 2*(49+4y2+28y)-3y2=47 -----> (98+8y2+56y)-3y2-47=0 ----->
-----------> 5y2+56y+51=0 --------------solucionas con la fórmula para ecuaciones de 2º grado -------> y1= 1 , y2= -51/5
Si sustituyes y1= 1 en x-2y=7 obtienes x1=5
Si sustituyes y2= -51/5 en x-2y=7 obtienes x2= -67/5
¡Hola!
¿Cómo puedo pasar de esta ecuación paramétrica de un plano a la ecuación general?
La necesito para saber la posición relativa de 2 planos.
¡Gracias!
3º ESO
1.- Indica cuáles son las raíces de los polinomios siguientes:
a) x2 • (x − 2) • (x + 4) b) x • (x + 5) • (x − 6) • (x + 4) c) ( x − 3)2 • (x + 1)3 d) ( x − 1)2 • ( x + 1)
2.- Descompón en producto de factores el polinomio, indicando cuáles son sus raíces:
a) P(x) = X4 + 3X3 − x2 − 3x ; b) P(x) = x3 − x2 − 12x ; c) P(x) = x3 − x2 + 4x − 4 ; d) P(x) = x3 − x − 6 ; e) P(x) = x5 − x4 − 5x3 − 3x2 ; f) P(x) = x3 − 7x2 + 14x − 8 ; g) P(x) = 3x4 + 15x2 ; h) P(x) = x4 − 16
Muchas Gracias.
1.- Indica cuáles son las raíces de los polinomios siguientes:
a) x2 • (x − 2) • (x + 4) ------> raíces: 0,2, -4
b) x • (x + 5) • (x − 6) • (x + 4) ------> raíces: 0,-5, 6, -4
c) ( x − 3)2 • (x + 1)3 ------> raíces: 3, -1
d) ( x − 1)2 • ( x + 1) ------> raíces: 1, -1
**Observa que las raíces son los números que hacen que algún/os de los factores sea/n cero, por ejemplo en (x-2) la raíz sería 2 . Si un factor es cero, entonces el valor del polinomio será 0 (pues 0 multiplicado por lo que sea, tantas veces como quieras sigue siendo cero)
Por favor, ¿me podrían ayudar con esto?
Se tienen los sucesos A y B. Si las probabilidades son: P(A)=0'7 ; P(B)=0'6 ; P (ACU BC)= 0'58
a). ¿Son independientes A y B?
b). Halla la probabilidad de que no se cumplan ni A ni B.
a)
El enunciado nos dice que P(ACU BC)=0.58
Si aplicamos Morgan deducimos que P(ACU BC ) = P(A∩B)c=0.58
Por definición del complementario: Si P(A∩B)c=0.58 , entonces P(A∩B)= 1-0.58= 0.42
Sucesos independientes: SÍ se cumple que P(A∩B) = P(A)*P(B)
Sucesos dependientes: NO se cumple que P(A∩B) = P(A)*P(B)
Calculamos P(A)*P(B) sabiendo que P(A)=0'7 ; P(B)=0'6 y obtenemos que P(A)*P(B) = 0.42
Concluimos que SÍ se cumple que P(A∩B) = P(A)*P(B) -----------> SON INDEPENDIENTES
Tengo algunos problemas con ecuaciones de secundaria que se me resisten:
1) Llevo recorridos 7/5 de un trayecto y aún me faltan 84m para llegar a la mitad. ¿Cuál es la longitud del trayecto?
2)Un niño hasta los 2/5 de sus ahorros en un regalo para su hermano. Luego, compra un libro con la tercera parte de lo que le queda, y le sobran 16€.Calcula cuánto dinero tenía ahorrado y cuánto se gasta en el regalo y en el libro.
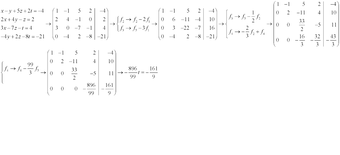
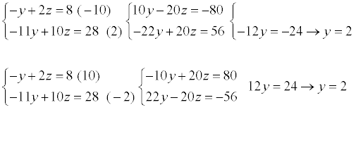
Una pregunta: ¿Cómo podré saber cuál sería el signo del número que multiplica cada ecuación, en el método de reducción, sin que los resultados me den diferentes? por ejemplo
-y+2z=8 (10)
-11y+10z=28 (-2) para eliminar la Z el resultado de y me dará positivo; contrario a que si pongo el 10 en negativo y el 2 positivo el resultado será negativo. Por eso es mi pregunta de arriba. :) y gracias a quien me lo pueda explicar.
Ec.diferencial 2x''-x = -1. Si x(t) es la solución de la ecuacion cumple x(0) = -4 i x'(0) = 0 entonces
(a) lim t→+∞ x(t) = 1.
(b) lim t→+∞ x(t) = −∞.
(c) x(1) = 0.
(d) lim t→+∞ x(t) = +∞.
Ayuda por favor
Observa que tienes una ecuación diferencial lineal, de segundo orden y con coeficientes constantes, que no es homogénea.
Luego, su ecuación característica es: 2r2 - 1, cuyas soluciones son: r1 = -1/√(2) y r2 = 1/√(2);
luego, la solución general de la ecuación homogénea asociada es:
xh = a*e-t/√(2) + b*et/√(2), con a y b constantes reales;
luego, la solución particular toma la forma (observa que el término de inhomogeneidad tienes una constante, que es independiente de la solución homogénea, que es sumas de funciones exponenciales):
xp = K, con K real, de donde tienes: y ' = 0 e y ' ' = 0,
luego sustituyes en la ecuación diferencial de tu enunciado, cancelas términos y queda:
0 - K = -1, haces pasaje de factor como divisor, y queda: K = 1, por lo que la solución particular es: xp = 1,
Luego, plantea la expresión de la solución general de la ecuación diferencial de tu enunciado:
x = xh + xp, sustituyes expresiones, y queda:
x = a*e-t/√(2) + b*et/√(2) + 1; cuya función derivada primera queda expresada:
x ' = -a*e-t/√(2)/√(2) + b*et/√(2)/√(2), y la función derivada segunda queda expresada:
x ' ' = a*e-t/√(2)/2 + b*et/√(2)/2.
Luego, reemplazas los valores de las condiciones iniciales (t = 0, x = -4, x ' = 0), resuelves términos, y queda el sistema de dos ecuaciones con dos incógnitas:
a + b + 1 = -4
-a/√(2) + b/√(2) = 0, de aquí puedes despejar: b = a (*);
luego, sustituyes la expresión señalada (*) en la primera ecuación, y luego despejas: a = -5/2,
luego reemplazas en la ecuación señalada (*) y queda: b = -5/2.
Luego, reemplazas los coeficientes en la solución general que está remarcada, y queda:
x(t) = -(5/2)*e-t/√(2) - (5/2)*et/√(2) + 1.
Luego, plantea el límite:
Lím(t→+∞) x(t) = Lím(t→+∞) [ -(5/2)*e-t/√(2) - (5/2)*et/√(2) + 1 ] =
= Lím(t→+∞) [ -(5/2)/et/√(2) - (5/2)*et/√(2) + 1 ] = -∞,
ya que el primer término tiende a cero, el segundo tiende a -infinito y el tercero es constante.
Luego, evalúa:
x(1) = -(5/2)*e-1/√(2) - (5/2)*e1/√(2) + 1 ≠ 0.
Luego tienes que la opción (b) es una respuesta correcta, y que las otras opciones son incorrectas.
Espero haberte ayudado.