
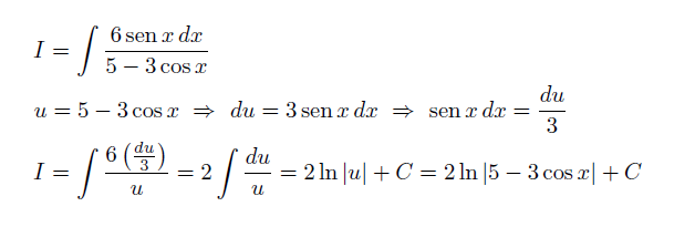
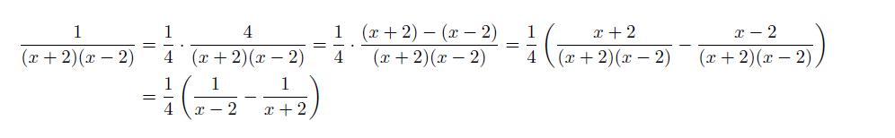
Tema a repasar : Fracciones parciales , en sí este tema no es propio del cálculo superior (integrales , derivadas ...) sino es un tema de matemática elemental , de colegio . Lo que se hace es llevar la expresión algebraica racional a una suma de fracciones .
Qué forma tienen las fracciones ? Cuando se puede expresar como una suma de fracciones ? Cómo son los numeradores o denominadores ? todo eso es parte del tema de Fracciones Parciales , es probable que lo encuentres en cualquier libro de álgebra elemental.![]()
3º ESO
1.- Halla las soluciones de estas ecuaciones de segundo grado sin desarrollar la identidad notable.
a) ( 2x − 7 )2 = 25 b) ( 3x + 2 )2 = 121 c) ( 4x − 2 )2 = 196 d) (2x − 1 )2 =4
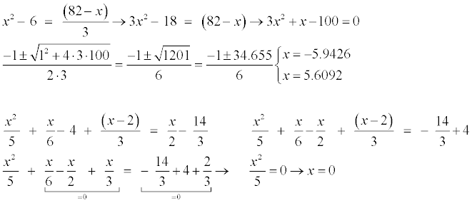
2.- Halla las soluciones de las siguientes ecuaciones.
a) x2 − 6
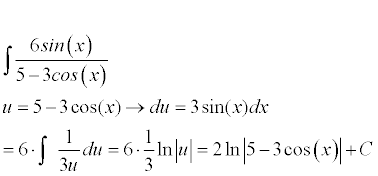
Hola buenas tardes, me gustaría saber si hay algún video que me ayude a resolver esta actividad, estudio a distancia y no estoy entendiendo bien el tema de limites, continuidad y asíntotas.
Busca función a trozos unicoos, discontinuidad unicoos o mira esta serie de vídeos:
https://www.youtube.com/watch?v=3AP6OodY1W8
https://www.youtube.com/watch?v=N4BG7SW6gZw
https://www.youtube.com/watch?v=N4BG7SW6gZw
Este último es un repaso de las asíntotas de una función