Ayuda con el planteamiento. Demuestre que la suma de dos funciones estrictamente crecientes, es también una función estrictamente creciente. Ya lo hice sumando una función creciente con otra creciente, pero me gustaría usar la definición de una función estrictamente creciente para la demostración, o sea:
x1<x2 → f(x1)<f(x2)
El promedio de 50 números es 38, siendo 45 y 55 dos de los números. Eliminando estos dos números, al promedio de los restantes es:
a) 36.5 b) 37.0 c)37.2 d) 27.5 e) 37.5
como se demuestra
para todo m que pertenece a los naturales si m>1 => m>=2 es mayor o igual >=
para todo n que pertenece a los naturales si n>=2 =>n-1 pertenece a los naturales
para todo m que pertenece a los naturales, Existe un n que pertenece a los naturales tal que m<n<m+1

Extiende hacia la izquierda, y señala con una línea de puntos, al segmento horizontal que contiene al segmento señalado x.
Luego, observa que tienes tres cuadriláteros, cuyas áreas miden:
A1 = 108 m2 (rectángulo de arriba y a la derecha, cuya altura mide: 4 m, y cuya base mide: 50-x-4 = 46 -x metros),
aquí puedes plantear la expresión de su área: A1 = (46-x)*4 = 108 m2, haces pasaje de factor como divisor, y queda:
46-x = 19, haces pasajes de términos, y queda: 19 m = x;
A2 = (4+19)*4 = 23*4 = 92 m2 (rectángulo de arriba y a la izquierda, cuya altura mide: 4 m,
y cuya base mide: 4+x = 4+9 = 13 m);
A3 = 4*4 = 16 m2 (cuadrado de abajo y a la izquierda, cuyos lados miden x = 19 m).
Luego, el área del departamento rectangular es: A1 = 108 m2, como está indicado en la figura,
y el área del otro departamento (en forma de L) es: A2 + A3 = 92 + 16 = 108 m2.
Espero haberte ayudado.
hola unicoos:
La suma de los cuadrado de 2 numeros naturales que se dferencian en 3 numeros no llega a 29 ¿cuales pueden ser esos numeros?
Quisiera saber si la formula para el sistema de ecuacion que planteo a continuacion es la correcta:
x2 + y2 < 29
x2 - y2 = 3
Gracias de antemano
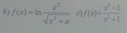
b) f(x)= ln((x2)/(√(x2+a)))
Regla de la cadena: haces la derivada del ln de ((x2)/(√(x2+a))) , que es (1/((x2)/(√(x2+a)))) multiplicada por la derivada del cociente ((x2)/(√(x2+a))) , que es
[((2x)*(√(x2+a)) - (x2)*((2x)/(2√(x2+a)))]/(√(x2+a))2 y queda:
f´(x)= (1/((x2)/(√(x2+a)))) * [((2x)*(√(x2+a)) - (x2)*((2x)/(2√(x2+a)))]/(√(x2+a))2
Intenta simplificar y si no te sale nos cuentas
c) f(x)=(x2-1)/ (x2+1)
Aplicas la derivada de un cociente:
f´(x)=((2x)*(x2+1)-(x2-1)*(2x))/ (x2+1)2
simplificas:
=((2x3+2x)-(2x3-2x))/ (x2+1)2
=(2x3+2x-2x3+2x)/ (x2+1)2
= f´(x)= (4x)/ (x2+1)2
f(x)= ln((x2)/(√(x2+a)))
f´(x)= (1/((x2)/(√(x2+a)))) * [((2x)*(√(x2+a)) - (x2)*((2x)/(2√(x2+a)))]/(√(x2+a))2
f´(x)= (√(x2+a))/x2 * [ 2x√(x2+a) - x3/(√(x2+a)) ]/(x2+a)
f´(x)= (√(x2+a))/x2 * [ (2x√(x2+a) - x3)/(√(x2+a)) ]/(x2+a)
f´(x)= { [(2x√(x2+a) - x3)]/x2 }/(x2+a)
f´(x)= { [(2√(x2+a))/x - x)] }/(x2+a)
hola buenas me podrias decir como hacer esta operacion??
√2x+8 + √x =2
Gracias de antemano

Puedes comenzar haciendo pasaje de término, y queda:
√(2x+8) = 2 - √(x), elevas al cuadrado en ambos miembros de la ecuación, y queda:
( √(2x+8) )2 = ( 2 - √(x) )2,
simplificas índice y exponente en el primer miembro, desarrollas el segundo miembro, y queda:
2x + 8 = 4 - 4√(x) + ( √(x) )2, simplificas índice y exponente en el último término, y queda:
2x + 8 = 4 - 4√(x) + x, haces pasajes de términos, reduces términos semejantes, y queda:
4√(x) = -x - 4, elevas al cuadrado en ambos miembros, y queda:
( 4√(x) )2 = (-x - 4)2,
resuelves el primer miembro, desarrollas el binomio elevado al cuadrado en el segundo miembro, y queda:
16x = x2 + 8x + 16, haces pasajes de términos, y queda:
-x2 + 8x - 16 = 0, multiplicas por -1 en todos los términos de la ecuación, y queda:
x2 - 8x + 16 = 0, factorizas el trinomio cuadrado perfecto en el primer miembro, y queda:
(x - 4)2 = 0, haces pasaje de potencia como raíz, y queda:
x - 4 = 0, haces pasaje de término, y queda:
x = 4.
Luego, reemplazas en la ecuación del enunciado para verificar, resuelves argumentos, y queda:
√(2*4+8) + √(4) = 2, resuelves el argumento en la primera raíz, y queda:
√(16) + √4) = 2, resuelves raíces, y queda:
4 + 2 = 2, resuelves el primer miembro, y queda:
6 = 2, que es una igualdad Falsa, por lo que puedes concluir que la ecuación no tiene solución
Espero haberte ayudado.