Hola buenas, una pregunta alguien sabe cómo o cuánto es la derivada de logaritmo neperiano de -x ??? La de x es 1/x pero la de -x cual es por favor ????
Alguien me puede dar la solución de la problema 6 para corregirlo con mis resultados, por favor? Gracias.
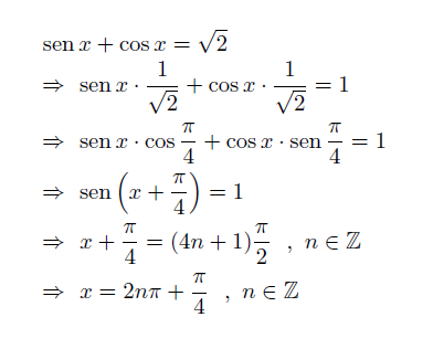
senx + cosx = √2
senx + (√(1-sen2x)) = √2
(√(1-sen2x)) = √2 - senx
(√(1-sen2x))2 = (√2 - senx)2
1-sen2x = 2 + sen2x - 2*√2*senx
2sen2x - 2√2*senx +1 = 0
cambio senx=t
2*t2 - 2√2*t + 1 = 0
resuelves la ecuación de 2º grado y obtienes t=(√2)/2
como t=(√2)/2 y t=senx , entonces senx= (√2)/2;
concluimos que x=arcsen( (√2)/2) = 45º + 360ºK
Buenas tardes, alguien me puede explicar como resolver el ultimo paso el que esta de amarillo que se hace para sacar eso
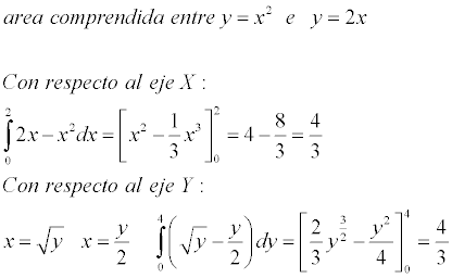
Hola tengo una duda. En varios ejercicios, cuando me dan una funcion y quiero calcular áreas (aplicación de las integrales) me piden sacar esta a partir del eje X o eje Y. Alguien me podría decir la diferencia entre sacar el área en eje X a sacarla en eje Y? Gracias

Ninguna !! en ambos casos sigue siendo una región donde puede ser más sencillo calcular la integral (para el área ) con respecto a la variable " y " o con respecto a la variable " x " ; esto independiente si la región se forma con el eje " X " o con el eje " Y "
Y obviamente una misma curva forma regiones diferentes con el eje Y y con el eje X , pero no deja de ser una región que se puede calcular de manera conveniente como se indica arriba .
Hola
En este ejercicio: https://www.youtube.com/watch?v=e75NShSWrkc
en el apartado c)
¿Se podría sacar el infinitésimo de sen(x3-8) aplicando Taylor en el punto 2, ya que el límite está tendiendo a 2? Porque el infinitésimo es el primer valor no nulo del desarrollo de Taylor en el punto deseado, ¿no?
Gracias.
Un saludo.