Hola buenas, quería hacerles una cuestión. ¿Cuál es el método para calcular la distancia de una recta a un plano?

Ahí vamos con una orientación (damos por entendido que la recta y el plano son paralelos).
Comienza por determinar un punto de la recta (al que llamamos: A).
Luego, plantea las ecuaciones cartesianas paramétricas de la recta que pasa por el punto A y es perpendicular al plano (llamamos: r a esta recta, y observa que su vector director es el vector normal al plano).
Luego, plantea la intersección entre la recta r y el plano (llamamos B al punto de intersección).
Luego, calcula la distancia entre el punto A y el punto B, que es igual a la distancia entre la recta y el plano.
Espero haberte ayudado.
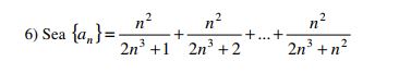
En este caso la sucesion mayorante es (n^2/(2n^3)+1)*n^2 y la minorante (n^2/(2n^3)+n^2)*n^2 (RESUELTO)
Lo que no se es como saber por que hay que multiplicar los numeradores, en este caso se multiplica por n^2, pero no se en que hay q fijarse para saberlo
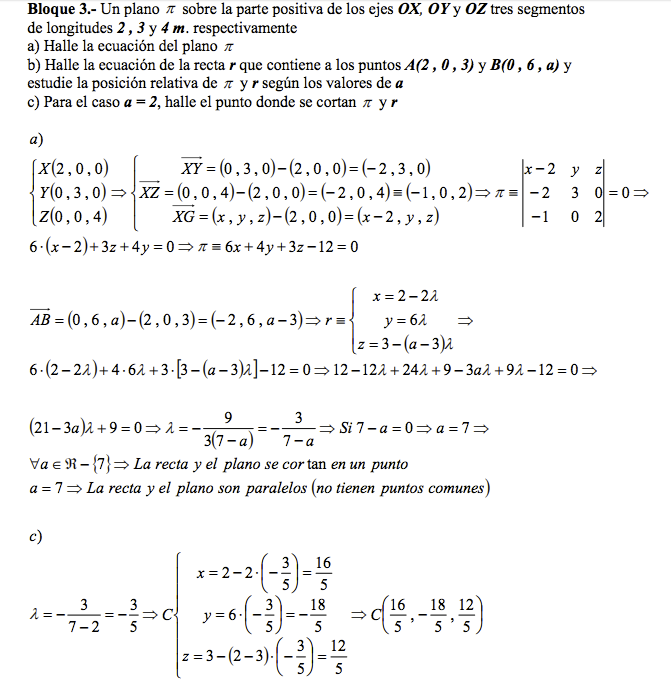
Tengo una duda, en el aprtado B de este ejercicio, el apartado B (no está marcado pero empieza con AB= ....) la Z da Z= 3 - (a-3)λ , Ese signo (-) entre 3 y (a-3) es correcto?? a mi me parece que no, y si lo es no entiendo porque!! GRACIAS
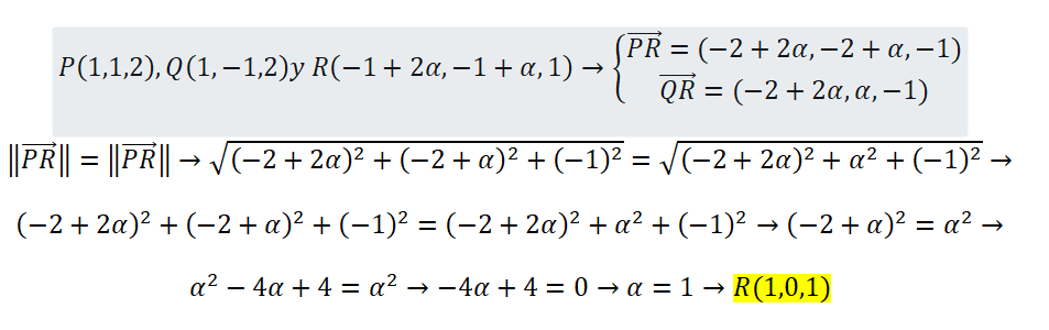
DADA LA RECTA r: x=-1+2α; y=-1+α; z=1 y los puntos P(1,1,2) y Q(1, -1,2) se pide:
hallar el punto de la recta r para el o los que el triangulo PQR es isósceles de lados iguales PR y QR
A VER SI ME ECHAIS UN CABLE. GRACIAS
Sea f:(-∞,-1] U [2,+∞]-----------> B
f(x)=x÷x-1
Hallar B tal que f sea sobreyectiva.

Vamos con una orientación.
Considera la función cuya expresión es:
F(x) = x/(x-1) = ( (x-1) + 1 )/(x-1) = 1 + 1/(x-1),
cuyo dominio es: DF = R - {1} = (-∞,1) u (1,+∞), y cuya imagen es: IF = R - {1} = (-∞,1) u (1,+∞);
y si te tomas la tarea, verás que la función es creciente en ambos subintervalos de su dominio,
que tiene asíntota vertical cuya ecuación es: x = 1, y asíntota horizontal cuya ecuación es: y = 1,
que su función inversa tiene su misma expresión: F-1(x) = 1 + 1/(x-1),
y que la función y su función inversa son biyectivas.
Luego, evalúa
F(-1) = 1 + 1/(-1-1) = 1 + 1/(-2) = 1 - 1/2 = 1/2, que pertenece al primer subintervalo del dominio de la función;
F(2) = 1 + 1/(2-1) = 1 + 1 = 2, que pertenece al segundo subintervalo del dominio de la función.
Luego, restringes el dominio y la imagen de la función F, y tienes la expresión de la función que piden en tu enunciado:
f(x) = x/(x-1) = 1 + 1/(x-1),
cuyo dominio es: Df = = (-∞,-1] u [2,+∞), y cuya imagen es: If = = (-∞,1/2] u [2,+∞) = B.
Luego, tienes que la función f es biyectiva.
Espero haberte ayudado.