Hola, David,
Escribo esto en el foro ya que un problema con la página me impide publicar comentarios en el video.
Hablo del video Estadística - Parámetros estadísticos de 1º de bachillerato (https://www.unicoos.com/video/matematicas/1-bachiller/estadistica/estadistica/estadistica-parametros-estadisticos).
Me he percatado de que cuando te refieres a Fi, que es la frecuencia acumulada, la llamas frecuencia absoluta. Esto ocurre durante los primeros minutos del video.
Si no me equivoco yo, se trata de un error. Fi es la frecuencia acumulada y fi la frecuencia relativa.
Me encanta tu trabajo, David, y el de todo tu equipo.
Un saludo,
Hola unicoos ayuda por favor con esta función implicita. Es posible llevarla a una forma explícita y graficarla ?? Acá dejó la foto gracias de antemano

Por favor, sube el enunciado completo del ejercicio o, al menos, cuáles son las tareas que te piden en las que debas emplear la ecuación implícita.
Desde ya, es muy complicado, por no decir imposible, llevar la ecuación a una forma explícita sencilla, tanto en coordenadas cartesianas como polares.

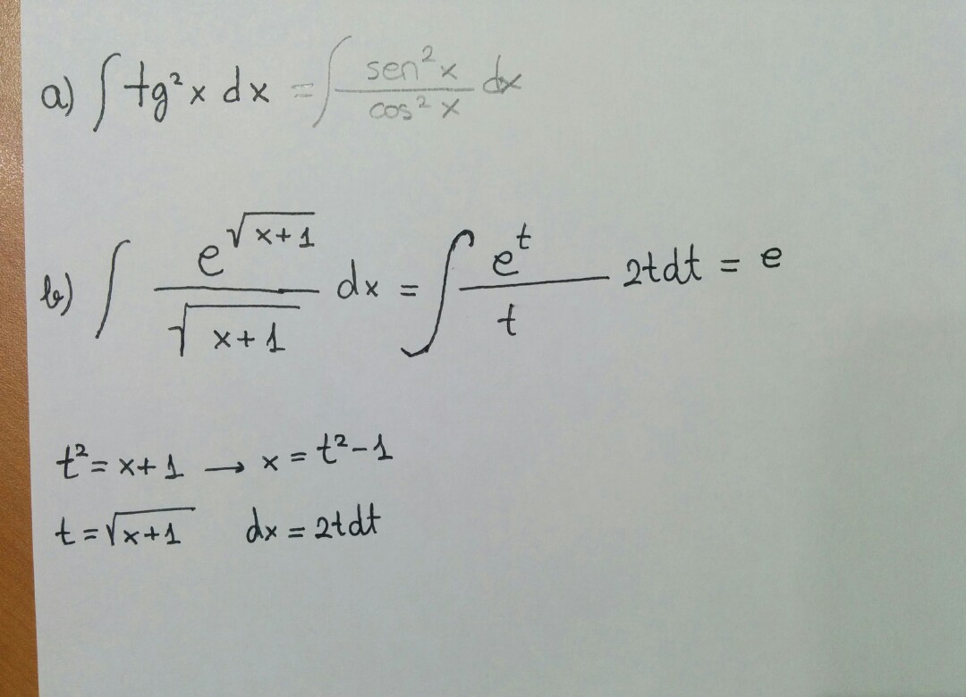
a)
Observa que aplicas la identidad trigonométrica del cuadrado del seno en función del cuadrado del coseno en el argumento de la integral, y queda:
tan2x = sen2x/cos2x = (1 - cos2x)/cos2x = 1/cos2x - 1;
luego sustituyes, integras término a término, y queda:
I = ∫ tan2x*dx = ∫ (1/cos2x - 1)*dx = integras = tanx - x + C.
b)
Has planteado correctamente la sustitución, luego, observa que puedes simplificar el argumento en tu segunda integral, luego extraes el factor constante, y queda:
I = 2 * ∫ et*dt = 2*et + C = sustituyes = 2*e√(x+1) + C.
Espero haberte ayudado.
Buenas tardes, este es el problema.
¿Cuál es la expresión polinómica de una parábola que corta al eje X en 2 y -2. Si se sabe que además pasa por el punto P (-1;1). Muchas gracias!!

Observa que el dominio de la función es: D = R - {-1,1}.
Observa que puedes operar en la expresión de la función:
f(x) = x3/(x2-1) = x*x2/(x2-1) = x*( (x2-1) + 1 )/(x2-1) = distribuyes y simplificas, y queda:
f(x) = x + x/(x2-1) = x + x / x2*(1-1/x2) = x + 1 / x*(1-1/x2).
Luego, estudia la existencia de asíntotas horizontales
Lím(x→-∞) f(x) = Lím(x→-∞) ( x + 1 / x*(1-1/x2) ) = -∞,
ya que el primer término tiende a -infinito y el segundo término tiende a cero;
Lím(x→+∞) f(x) = Lím(x→+∞) ( x + 1 / x*(1-1/x2) ) = +∞,
ya que el primer término tiende a +infinito y el segundo término tiende a cero;
por lo que tienes que la gráfica de la función no presenta asíntotas horizontales.
Luego, estudia la existencia de asíntotas verticales:
Lím(x→-1-) f(x) = Lím(x→-1-) ( x + x/(x2-1) ) = -∞,
ya que el primer término tiende a -1 y el segundo término tiende a -infinito;
Lím(x→-1+) f(x) = Lím(x→-1+) ( x + x/(x2-1) ) = +∞,
ya que el primer término tiende a -1 y el segundo término tiende a +infinito;
por lo que tienes que la gráfica de la función preesnta asíntota vertical cuya ecuación es: x = -1;
Lím(x→1-) f(x) = Lím(x→1-) ( x + x/(x2-1) ) = -∞,
ya que el primer término tiende a 1 y el segundo término tiende a -infinito;
Lím(x→1+) f(x) = Lím(x→1+) ( x + x/(x2-1) ) = +∞,
ya que el primer término tiende a 1 y el segundo término tiende a +infinito;
por lo que tienes que la gráfica de la función preesnta asíntota vertical cuya ecuación es: x = 1.
Luego, estudia la existencia de asíntotas oblicuas, cuya ecuación tiene la forma: y = m*x + b:
mi = Lím(x→-∞) f(x)/x = Lím(x→-∞) ( x + 1 / x*(1-1/x2) )/x = Lím(x→-∞) ( 1 + 1 / x2*(1-1/x2) ) = 1,
ya que el primer término es igual a 1 y el segundo término tiende a cero;
bi = Lím(x→-∞) ( f(x) - mi*x ) = Lím(x→-∞) ( x + 1 / x*(1-1/x2) - x ) = Lím(x→-∞) ( 1 / x*(1-1/x2) ) = 0,
ya que el numerador es igual a 1 y el denominador tiende a -infinito,
luego, tienes que la gráfica de la función presenta asíntota oblicua izquierda cuya ecuación es: y = x;
md = Lím(x→+∞) f(x)/x = Lím(x→+∞) ( x + 1 / x*(1-1/x2) )/x = Lím(x→+∞) ( 1 + 1 / x2*(1-1/x2) ) = 1,
ya que el primer término es igual a 1 y el segundo término tiende a cero;
bd = Lím(x→+∞) ( f(x) - md*x ) = Lím(x→+∞) ( x + 1 / x*(1-1/x2) - x ) = Lím(x→+∞) ( 1 / x*(1-1/x2) ) = 0,
ya que el numerador es igual a 1 y el denominador tiende a +infinito,
luego, tienes que la gráfica de la función presenta asíntota oblicua derecha cuya ecuación es: y = x.
Luego, queda que hagas el gráfico.
Espero haberte ayudado.
Hola, me ayudais a hacer este ejercicio? Tengo que calcular en que puntos presentan discontinuidades y de que tipo son. Gracias!!

Comienza por factorizar al numerador (N) y al denominador (D) de la expresión de la función (observa que el numerador es una expresión polnómica cuadrática, y que el denominador es una expresión polinómica cúbica, para la que 3 es una de sus raíces):
N = x2-x-6 = (x+2)*(x-3);
D = x3-5x2-2x+24 = (x-3)*(x2-2x-8) = (x-3)*(x+2)*(x-4), cuyas raíces son x = 3, x = -2 y x = 4.
Luego, observa que el dominio de la función es: D = R - {-2,3,4}.
Luego, plantea la expresión de la función:
f(x) = (x2-x-6)/(x3-5x2-2x+24) = sustituyes = (x+2)*(x-3) / (x-3)*(x+2)*(x-4) = simplifcas = 1/(x-4).
Luego, estudias el caracter de las discontinuidades:
Lím(x→-2) f(x) = Lím(x→-2) 1/(x-4) = -1/6,
por lo que la gráfica de la función presenta discontinuidad puntual (o evitable) en x = -2;
Lím(x→3) f(x) = Lím(x→3) 1/(x-4) = -1,
por lo que la gráfica de la función presenta discontinuidad puntual (o evitable) en x = 3;
Lím(x→4-) f(x) = Lím(x→4-) 1/(x-4) = -∞,
ya que el numerador es igual a 1 y el denominador tiende a cero desde valores negativos;
Lím(x→4+) f(x) = Lím(x→4+) 1/(x-4) = +∞,
ya que el numerador es igual a 1 y el denominador tiende a cero desde valores positivos;
por lo que la gráfica de la función presenta asíntota vertical cuya ecuación es: x = 4.
Espero haberte ayudado.