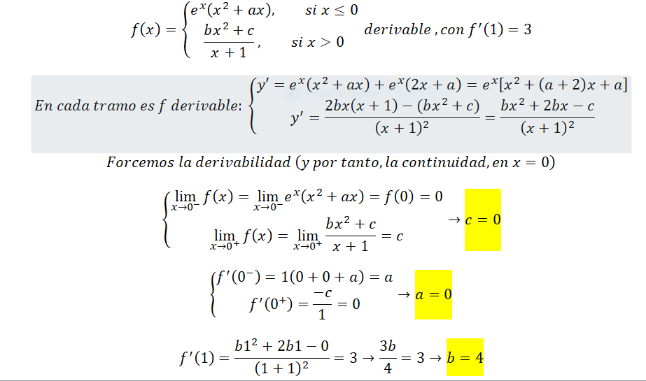
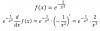
Hola Unicoos me he quedado atascada, esque el número (e) está elevado a √x y eso no se como resolverlo.
Me podrían ayudar
Muchas gracias
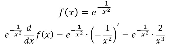
Cuando me dicen que debo calcular la elasticidad de una función, y no me dan el punto que debo hacer.
Es que no he encuentro ningun video sobre esto.
Buenas, ¿cómo se realizaría este ejercicio? Muchas gracias y un saludo.
Una partícula cuya masa es 0,4 kg está sometida simultáneamente a dos fuerzas F1 = 2 N i – 4 N j
y F2 = 2,6 N i + 5 N j. Si la partícula está en el origen y parte del reposo para t = 0, calcular (a) su
vector posición r y (b) su velocidad v para t = 1,6 s.

Tienes la masa de la partícula: M = 0,4 Kg.
Tienes las expresiones vectoriales de las fuerzas: F1 = < 2 , -4 > y F2 = < 2,6 , 5 >, expresadas en newtons.
Tienes el instante inicial: ti = 0.
Tienes la posición inicial de la partícula: ri = < 0 , 0 >.
Tienes la velocidad inicial de la partícula: vi = < 0, 0 >.
Tienes el instante final: tf = 1,6 s.
Tienes la posición final: rf = < xf , yf > a determinar.
Tienes la velocidad final: vf = < vfx , vfy > a determinar.
Luego, puede plantear la expresión de la fuerza resultante que actúa sobre la partícula:
F = F1 + F2 = < 2+2,6 , -4+5 > = < 4,6 , 1 >.
Luego, aplicas la Segunda Ley de Newton, y tienes la ecuación vectorial:
M*a = F, haces pasaje del factor escalar como divisor, resuelves, y queda:
a = F/M = < 4,6 , 1 >/0,4 = < 4,6/0,4 , 1/0,4 > = < 11,5 , 2,5 >, expresada en m/s2.
Luego, plantea la ecuación vectorial tiempo-velocidad de Movimiento Rectilíneo Uniformemente Variado:
vf = vi + a*(tf - ti), reemplazas expresiones, y queda:
vf = < 0 , 0 > + < 11,5 , 2,5 >*(1,6 - 0), resuelves en el último término, cancelas el primer término nulo, y queda:
vf = < 18,4 , 4 >,expresada en m/s.
Luego, plantea la ecuación vectorial tiempo-posición de Movimiento Rectilíneo Uniformemente Variado:
rf = ri + vi*(tf - ti) + (1/2)*a*(tf - ti)2, cancelas términos escalares iguales a cero, y queda:
rf = ri + vi*tf + (1/2)*a*tf2, cancelas términos vectoriales nulos, y queda:
rf = (1/2)*a*tf2, reemplazas expresiones, y queda:
rf = (1/2)*< 11,5 , 2,5 >*1,62, resuelves factores escalares, y queda:
rf = 1,28*< 11,5 , 2,5 >, resuelves, y queda:
rf = < 14,72 , 3,2 >, expresada en m.
Espero haberte ayudado.

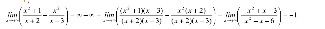
Debes corregir en tu último miembro.
Observa que en el miembro central de tu cadena de igualdades extraes denominador común, y el argumento del límite queda:
f(x) = ( (x2+1)(x-3) - x2(x+2) ) / (x+2)(x-3) = (x3 -3x2+x-3-x3-2x2) / (x+2)(x-3),
reduces términos semejantes en el numerador (observa que tienes cancelaciones), desarrollas el denominador, y queda
f(x) = (-5x2+x-3) / (x2-x-6),
extraes factores comunes con los mayores exponentes, y queda:
f(x) = x2(-5+1/x-3/x2) / x2(1-1/x-6/x2),
simplificas, y queda:
f(x) = (-5+1/x-3/x2) / (1-1/x-6/x2),
luego, tomas el límite para x tendiendo a +infinito y, efectivamente, tienes que es igual a -5.
Espero haberte ayudado.