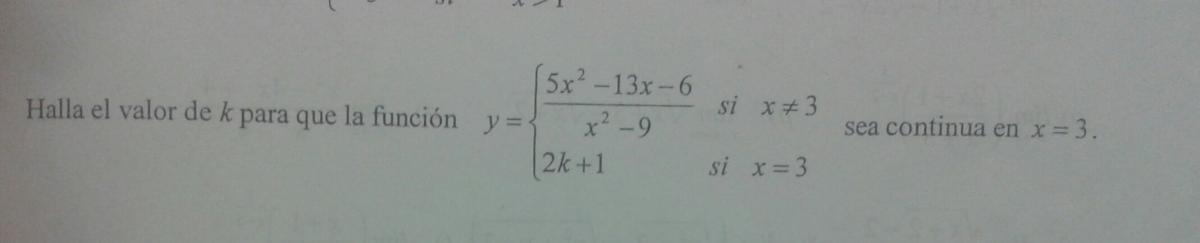
Hola, me ayudáis con esta función de límites? Suelo hacer una recta y colocar los valores, pero me lía ver que x no vale 3. Gracias !!!

Debes aplicar la definición de continuidad de una función en un punto de su dominio.
1°)
f(3) = 2k+1 (a determinar).
2°)
Lím(x→3) f(x) = Lím(x→3) (5x2-13x-6)/(x2-9) = factorizas:
= Lím(x→3) 5(x-3)(x+2/5) / (x+3)/(x-3) = simplificas:
= Lím(x→3) 5(x+2/5)/(x+3) = 17/6.
3°)
Planteas:
f(3) = Lím(x→3) f(x), sustituyes, y queda:
2k + 1 = 17/6, haces pasaje de término, y queda:
2k = 11/6, haces pasaje de factor como divisor, y queda:
k = 11/12.
Luego, la expresión de la función de tu enunciado queda:
f(x) =
(5x2-13x-6)/(x2-9) si x ≠ 3
17/6 si x = 3.
Espero haberte ayudado.

Vamos con una orientación.
r)
Multiplica al numerador (N) y al denominador (D) por las expresiones "conjugadas" de ambos, y luego distribuye entre factores "conjugados", y quedan:
N = (√(x+2)-2)(√(x+2)+2)*(√(x+7)+3) = distribuyes entre los dos primeros factores =(x+2-4)*(√(x+7+3) = (x-2)*(V(x+7)+3),
D = (√(x+7)-3)(√(x+7)+3)*(√(x+2)+2) = distribuyes entre los dos primeros factores = (x+7-9)*(√(x+2)+2) = (x-2)*(√(x+2)+2).
Luego, sustituyes expresiones, simplificas, y el argumento del límite queda:
f(x) = (√(x+7)+3) / (√(x+2)+2), y luego puedes calcular el límite.
s)
Multiplicas y divides por la expresión "conjugada" del argumento del límite, y el numerador (N) y el denominador (D) quedan:
N = ( √(x2-2)-√(x2+x-3) )*( √(x2-2)+√(x2+x-3) ) = distribuyes = (x2-2 - (x2+x-3) ) = (x2-2-x2-x+3) = -x+1,
D = ( √(x2-2)+√(x2+x-3) ).
Luego, sustituyes expresiones, y el argumento del límite queda:
g(x) = (-x+1)/( ( √x2-2)+√(x2+x-3) )(x2-2)+√(x2+x-3) ), extraes factores comunes con los mayores exponentes, y queda:
g(x) = x(-1+1/x) / ( √( x2(1-2/x2) ) + √( x2(1+1/x-3/x2) ) ),
distribuyes raíces, simplificas índices y exponentes (observa que son pares), y queda:
g(x) = x(-1+1/x) / ( |x|√(1-2/x2) + |x|√(1+1/x-3/x2) ), extraes factor común en el denominador, y queda:
g(x) = x(-1+1/x) / |x|( √(1-2/x2) + √(1+1/x-3/x2) ),
simplificas (observa que x toma valores positivos, por lo que tienes: x/|x| = x/x = 1), y queda:
g(x) = (-1+1/x) / ( √(1-2/x2) + √(1+1/x-3/x2) ), y luego puedes calcular el límite.
Espero haberte ayudado.
Muy buenas, ¿Para cuando un vídeo de integración numérica?
Un saludo
Tengo muchas dificultades para sacar las Asintotas, los puntos críticos y crecimiento y los puntos de inflexión y concavidad de: xe^1/x. ¿podéis enseñarme como es el ejercicio?
Asintotas:
https://www.symbolab.com/solver/step-by-step/asymptotes%20xe%5E%7B%5Cfrac%7B1%7D%7Bx%7D%7D?or=related
puntos críticos:
https://www.symbolab.com/solver/step-by-step/critical%20points%20xe%5E%7B%5Cfrac%7B1%7D%7Bx%7D%7D?or=related
crecimiento:
https://www.symbolab.com/solver/step-by-step/monotone%20intervals%20%5Cleft(xe%5E%7B%5Cfrac%7B1%7D%7Bx%7D%7D%5Cright)
puntos de inflexión:
¿Alguien me podría explicar como calcular los betas de estas matrices? NO SÉ COMO SE PUEDE CALCULAR LA MATRIZ INVERSA SI NO SON CUADRADAS. Solo pongo esa parte del ejercicio porque la duda que tengo es el proceso que hay que seguir para hacer inversa una matriz NO cuadrada. MUCHAS GRACIAS!

¡Hola! Nos encantaría ayudarte, pero no solemos responder dudas universitarias que no tengan que ver específicamente con los vídeos que David Calle ha grabado como excepción. O de otras asignaturas que no sean Matemáticas, Física y Química. Lo sentimos de corazón… Esperamos que lo entiendas.
Ojalá algún unicoo universitario se anime a ayudarte (de hecho, lo ideal es que todos los universitarios intentarais ayudaros los unos a los otros).