holaa, como hago este ejercicio: Calcula las asintotas de la siguiente función y sitúa la curva respecto a ella. Gracias !!

Vamos con una orientación.
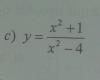
Observa que el dominio de la función es: D = R - {-2,2}.
Luego, restas y sumas 4 en el numerador de la expresión, agrupas, y queda:
y = ( (x2-4) + 5 ) / (x2-4 );
luego, distribuyes el denominador, simplificas el primer término, y queda:
y = 1 + 5/(x2-4 ), que es la forma estándar de la expresión de la función.
Luego, observa que tienes asíntota horizontal, cuya ecuación es: y = 1,
ya que los límites para x tendiendo a -infinito y a +infinito de la expresión son iguales a 1.
Luego, observa que tienes asíntota vertical cuya ecuación es: x = -2,
ya que el límite tendiendo a -2 por la izquierda es igual a +infinito, y tendiendo por la derecha es igual a -infinito.
Luego, observa que tienes asíntota vertical cuya ecuación es: x = 2,
ya que el limite tendiendo a 2 por la izquierda es igual a -infinito, y tendiendo por la derecha es igual a +infinito.
Queda que hagas los planteos y cálculos de los límites.
Espero haberte ayudado.
A.Verticales
Buscamos los valores que hacen el denominador x2-4 igual a cero:
x2-4= 0 -----> x2=4 -----> x= -2 , x= 2
A.Horizontales
Como el grado del numerador y del denominador es igual a 2 (son iguales), dividimos los coeficientes que acompañan a las equis de mayor grado:
(1x2)/(1x2) = y --------> y= 1

¡Hola! Nos encantaría ayudarte, pero no solemos responder dudas universitarias que no tengan que ver específicamente con los vídeos que David Calle ha grabado como excepción. O de otras asignaturas que no sean Matemáticas, Física y Química. Lo sentimos de corazón… Esperamos que lo entiendas.
Ojalá algún unicoo universitario se anime a ayudarte (de hecho, lo ideal es que todos los universitarios intentarais ayudaros los unos a los otros).
Tengo que hallar la ecuacion de la recta que pasa por los puntos A(0,0) y B(2,-5). Lo tengo que hacer con la formula y=mx+n. Ya me he visto los videos pero ahí se hace de otra forma y no me sirve. Me podeis ayudar?