
Vamos con una orientación.
Has planteado bien la descomposición de la expresión de la función a integrar como suma de fracciones simples:
(x2-3x+2)/(x3-3x2-3x-4) = (x2-3x+2) / (x-4)*(x2+x+1) = A/(x-4) + (Bx+C)/(x2+x+1) = extraes denominador común:
= ( A*(x2+x+1) + (Bx+C)*(x-4) ) / (x-4)*(x2+x+1);
luego, como tienes que las expresiones remarcadas son iguales, y tienes que sus denominadores son iguales, puedes plantear que sus numeradores son iguales, y tienes la ecuación:
A*(x2+x+1) + (Bx+C)*(x-4) = x2-3x+2,
que es una igualdad entre polinomios, por lo que puedes evaluarla para tres valores distintos (observa que x =4 es un valor muy conveniente), por ejemplo para x = 4, x = 0 y x = 1, y queda el sistema de ecuaciones:
21*A = 6, aquí haces pasaje de término, y queda: A = 2/7;
A - 4*C = 2, reemplazas, haces pasaje de término, y queda: -4*C = 12/7, haces pasaje de factor como divisor, y queda:
C = -3/7;
3*A - 3*B - 3*C = 0, divides por -3 en todos los términos de la ecuación, haces pasaje de término, y queda: B = 5/7.
Luego, reemplazas valores en la suma de integrales que tienes en tu imagen, extraes factores numéricos en los dos términos, y queda:
I = (2/7)*∫ ( 1/(x-4) )*dx + (1/7)*∫ ( 5*x - 3)/(x2+x+1) )*dx.
Observa que la integración es directa en el primer término.
Observa que el denominador del segundo término puedes escribirlo en la forma:
x2+x+1 = (x2+x+1/4) + (1-1/4) = (x+1/2)2 + 3/4;
y que luego puedes aplicar la sustitución trigonométrica:
x = √(3/4)*tanw - 1/2, de donde tienes: dx = √(3/4)*dw/cos2w,
y puedes continuar la tarea, que por cierto, es bastante lo que te queda por hacer.
Espero haberte ayudado.

Este ya es más interesante que el anterior, debes hacer lo siguiente:
1) vector AB= B-A = (x-3, y-1, z +1)
2) producto escalar con el vector normal del plano (son perpendiculares cos(90)) --> (x-3,y-1,z+1) * (3,-2,1) = 0 --> 3x - 9 -2y + 2 + z + 1 = 0 --> 3x - 2y + z - 6 = 0
3) construir ec. paramétrica dela recta que te dan y aislar el punto B en cada componente --> x = 1 + k , y = 2k, z = -1 + 3k
4) Sustituir cada componente de B en la ecuación anterior y aislar k --> 3 + 3k - 4k - 1 + 3k - 6 = 0 --> k = 2
5) Sustituir k en la recta paramétrica y saber (x,y,z) que corresponden a los componentes de B --> B= (3,4,5)
Hola, ¿cómo se haría este ejercicio?
Nuestra profesora nos ha hecho cambiar el denominador de la función (x - 1 → x - 3), ¿pero que no tenemos que utilizar sólo la función cuando es > -1, ya que nos encontramos entre x=1 y x=2?
Gracias.

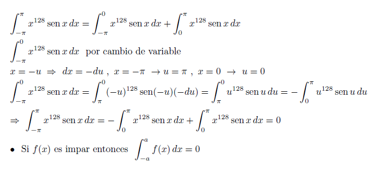
Hay una propiedad para la integral de una función impar si el intervalo de integración es simétrico .
En este caso la función integrando es una función impar y el intervalo de integración es simétrico por lo tanto el resultado es cero.
Igual en caso no conozcas lo puedes hacer por un simple cambio de variable.