buenas sería alguien tan amable de ayudarme con estas integrales ?
∫dy/(x^2 + y^2)
∫x/e^2x*dx
gracias

1)
Tienes la integral con variable y (observa que x es constante en este caso), por lo que puedes plantear la sustitución (cambio de variable):
y = x*w, de donde tienes: dy = x*dw, también tienes: y2 = x2*w2, y también tienes: y/x = w (1),
luego sustituyes, y la integral queda:
I = ∫ x*dw / (x2+x2*w2), extraes factor común en el denominador del argumento de la integral, y queda:
I = ∫ x*dw / ( x2*(1+w2) ), simplificas y extraes factores constantes, y queda:
I = (1/x) * ∫ dw / (1+w2), resuelves, y queda:
I = (1/x)*arctan(w) + C, luego sustituyes la expresión señalada (1), y queda:
I = (1/x)*arctan(y/x) + C.
Espero haberte ayudado.

2)
Tienes la integral:
I = ∫ ( x/e2x )*dx = ∫ x*e-2x*dx,
luego, aplicas el Método de Integración por Partes:
u = x, de donde tienes: du = dx,
dv = e-2x*dx, de donde tienes: v = -(1/2)*e-2x,
luego, la integral queda:
I = -(1/2)*x*e-2x + (1/2) * ∫ e-2x*dx,
luego, resuelves la integral secundaria, y queda:
I = -(1/2)*x*e-2x - (1/4)*e-2x + C.
Espero haberte ayudado.
Hola, tengo un examen de análisis de datos y me vendría bien algo de ayuda con este ejercicio. Gracias

¡Hola! Nos encantaría ayudarte, pero no solemos responder dudas universitarias que no tengan que ver específicamente con los vídeos que David Calle ha grabado como excepción. O de otras asignaturas que no sean Matemáticas, Física y Química. Lo sentimos de corazón… Esperamos que lo entiendas.
Ojalá algún unicoo universitario se anime a ayudarte (de hecho, lo ideal es que todos los universitarios intentarais ayudaros los unos a los otros).

Vamos por etapas:
1°)
Tienes veintiseis letras disponibles, de las que debes elegir dos, con repetición, por lo que la cantidad de elecciones posibles para la primera pareja de letras es (planteas variaciones con repetición de 26 elementos tomados de a 2):
N1 = 26*26 = 262 = 676.
2°)
Tienes diez dígitos disponibles, de los que debes elegir tres, con repetición, por lo que la cantidad de elecciones posibles para la terna de dígitos es (planteas variaciones con repetición de 10 elementos tomados de a 3):
N2 = 10*10*10 = 103 = 1000.
3°)
Tienes veintiseis letras disponibles, de las que debes elegir dos, con repetición, por lo que la cantidad de elecciones posibles para la segunda pareja de letras es (planteas variaciones con repetición de 26 elementos tomados de a 2):
N3 = 26*26 = 262 = 676.
Luego, observa que por cada elección que haces en la primera etapa, tienes disponibles todas las elecciones posibles en la segunda etapa, y una vez hecha la elección, tienes disponibles todas las elecciones disponibles en la tercera etapa, por lo que aplicas el principio de multiplicación, y tienes:
N = N1*N2*N3 = 262*103*262= 264*103 = 456976000 patentes posibles.
Espero haberte ayudado.
hola alguien me ayuda y me explica como hacerlo? Mañana tengo examen y no entiendo :( desde ya gracias

Observa que el dominio de la función es: D = (-∞,-1) u (-1,1) u (1,+∞) = R - {-1,1}.
Luego, observa que tienes una expresión racional, y que puedes efectuar la división entre el polinomio numerador y el polinomio denominador (te dejo la tarea), y tienes que el cociente es: C(x) = 2, y el resto es: R(x) = 3;
luego, puedes escribir la expresión fraccionaria en forma estándar ( P(x)/Q(x) = C(x) + R(x)/Q(x) ), y queda:
f(x) = 2 + 3/(x2-1) = 2 + 3/( (x+1)*(x-1) ) = descompones como suma de fracciones simples, y queda:
f(x) = 2 - (3/2)*( 1/(x+1) ) + (3/2)*( 1/(x-1) ) (1),
luego, plantea las expresiones de las funciones derivadas primera y segunda:
f ' (x) = (3/2)*( 1/(x+1)2 ) - (3/2)*( 1/(x-1)2 ) (2),
f ' ' (x) = -3/(x+1)3 + 3/(x-1)3 (3).
Luego, tienes información que debes obtener al estudiar cada una de las expresiones, por lo que vamos por etapas:
1°)
a)
Intersección con el eje OX (para este caso es conveniente emplear la expresión del enunciado):
f(x) = 0, sustituyes y queda:
(2x2+1)/(x2-1) = 0, haces pasaje de divisor como factor (observa que es distinto de cero en todo el dominio), y queda:
2x2 + 1 = 0,
y observa que la ecuación no tiene solución real, por lo que tienes que la gráfica de la función no corta al eje OX.
b)
Intersección con el eje OY (para este caso es conveniente emplear la expresión del enunciado):
f(0) = (2*02+1)/(02-1) = 1/(-1) = -1,
por lo que la gráfica corta al eje OY en el punto P1(0,-1).
c)
Asíntotas verticales (observa que puede haberlas en x = -1 y en x = 1):
Lím(x→-1-) f(x) = Lím(x→-1-) [ 2 - (3/2)*( 1/(x+1) ) + (3/2)*( 1/(x-1) ) ] = +∞ (observa que el primer término es constante, que el segundo término tiende a +∞, y que el tercer término tiende a -3/4),
Lím(x→-1+) f(x) = Lím(x→-1+) [ 2 - (3/2)*( 1/(x+1) ) + (3/2)*( 1/(x-1) ) ] = -∞ (observa que el primer término es constante, que el segundo término tiende a -∞, y que el tercer término tiende a -3/4),
luego, tienes que la recta cuya ecuación es: x = -1 es asíntota vertical de la función, superior por la izquierda e inferior por la derecha;
Lím(x→1-) f(x) = Lím(x→1-) [ 2 - (3/2)*( 1/(x+1) ) + (3/2)*( 1/(x-1) ) ] = -∞ (observa que el primer término es constante, que el segundo término tiende a -3/4, y que el tercer término tiende a -∞),
Lím(x→1+) f(x) = Lím(x→1+) [ 2 - (3/2)*( 1/(x+1) ) + (3/2)*( 1/(x-1) ) ] = +∞ (observa que el primer término es constante, que el segundo término tiende a -3/4, y que el tercer término tiende a +∞),
luego, tienes que la recta cuya ecuación es: x = 1 es asíntota vertical de la gráfica de la función, inferior por la izquierda y superior por la derecha.
d)
Asíntotas horizontales (observa que el dominio admite límites para x tendiendo a ∞):
Lím(x→-∞) f(x) = Lím(x→-∞) [ 2 - (3/2)*( 1/(x+1) ) + (3/2)*( 1/(x-1) ) ] = 2 (observa que los dos últimos términos de la expresión tienden a cero),
Lím(x→+∞) f(x) = Lím(x→+∞) [ 2 - (3/2)*( 1/(x+1) ) + (3/2)*( 1/(x-1) ) ] = 2 (observa que los dos últimos términos de la expresión tienden a cero),
luego, tienes que la recta cuya ecuación es: y = 2 es asíntota horizontal de la gráfica de la función, tanto por la izquierda como por la derecha.
Luego, pasamos a la siguiente etapa.

2°)
Puntos críticos (posibles máximos o posibles mínimos), y observa que a función derivada está definida en todo el dominio de la función:
f ' (x) = 0, sustituyes la expresión señalada (2), y queda:
(3/2)*( 1/(x+1)2 ) - (3/2)*( 1/(x-1)2 ) = 0, multiplicas en todos los términos de la ecuación por 2/3, y queda:
1/(x+1)2 - 1/(x-1)2 = 0, haces pasaje de término, y queda:
1/(x+1)2 = 1/(x-1)2, haces pasajes de divisores como factores, y queda:
(x-1)2 = (x+1)2, desarrollas los binomios elevados al cuadrado, y queda:
x2-2x+1 = x2+2x+1, haces pasajes de términos, reduces términos semejantes (observa que tienes cancelaciones), y queda:
-4x = 0, haces pasaje de factor como divisor, y queda:
x = 0, que es la abscisa del punto crítico: P1(0,-1), que en este ejercicio coincide con el punto de intersección entre la gráfica de la función y el eje OY.
3°)
Posibles inflexiones, y observa que la función derivada segunda está definida en todo el dominio de la función:
f ' ' (x) = 0, sustituyes la expresión señalada (3), y queda:
-3/(x+1)3 + 3/(x-1)3 = 0, multiplicas en todos los términos de la ecuación por 1/3, y queda:
-1/(x+1)3 + 1/(x-1)3 = 0, haces pasaje de término, y queda:
1/(x-1)3 = 1/(x+1)3, haces pasajes de divisores como factores, y queda:
(x+1)3 = (x-1)3, desarrollas los binomios elevados al cubo, y queda:
x3+3x2+3x+1 = x3-3x2+3x-1,
haces pasajes de términos, reduces términos semejantes (observa que tienes cancelaciones), y queda:
6x2 + 2 = 0, que es una ecuación polinómica cuadrática que no tienes soluciones reales,
por lo que tienes que la gráfica de la función no presenta inflexiones.
Luego, pasamos a la siguiente etapa.

4°)
Crecimiento, decrecimiento y concavidad: divides al dominio en intervalos, con los puntos críticos y las posibles inflexiones como puntos de corte (observa que en este ejercicio tenemos un solo punto crítico, y no tenemos posibles inflexiones), luego, eliges un representante para cada intervalo, y evalúas para él los signos que toman las expresiones de las funciones derivada primera y derivada segunda:
I1 = (-∞,-1), representante: x = -2, luego tienes: f ' (-2) > 0, y f ' ' (-2) > 0,
por lo que tienes que la gráfica de la función es creciente y cóncava hacia arriba en este intervalo;
I2 = (-1,0), representante x = -1/2, luego tienes: f ' (-1/2) > 0, y f ' ' (-1/2) < 0,
por lo que tienes que la gráfica de la función es creciente y cóncava hacia abajo en este intervalo;
I3 = (0,1), representante x = 1/2, luego tienes: f ' (1/2) < 0, y f ' ' (1/2) < 0,
por lo que tienes que la gráfica de la función es decreciente y cóncava hacia abajo en este intervalo;
I4 = (1,+∞), representante: x = 2, luego tienes: f ' (2) < 0, y f ' ' (-2) > 0,
por lo que tienes que la gráfica de la función es decreciente y cóncava hacia arriba en este intervalo;
luego, observa que la gráfica de la función solo presenta máximo relativo en x = 0, ya que en este punto pasa de ser creciente a decreciente, pero observa que no es absoluto, porque la gráfica tiene puntos "más altos" que él.
Luego, queda que hagas el gráfico cualitativo.
Espero haberte ayudado.
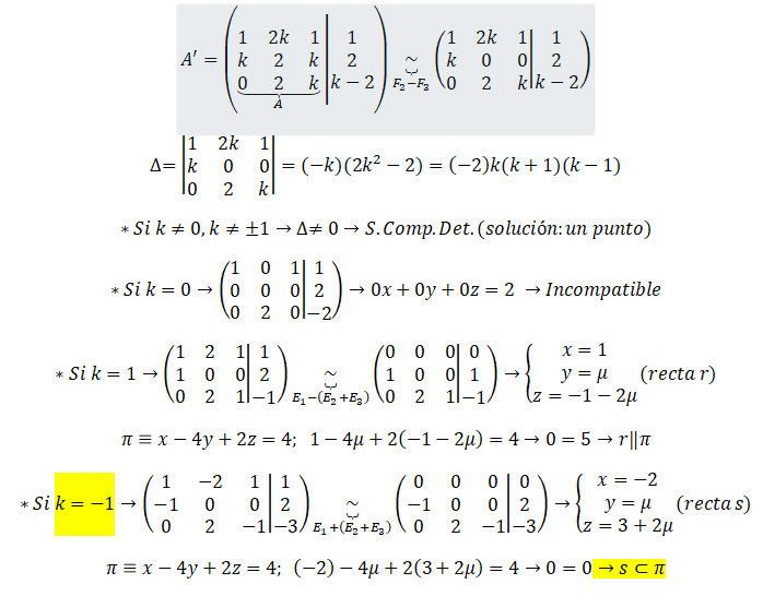
Buenas noches unicoos. Tengo un problema de álgebra. Los vectores u→ y v→ forman un angulo de 60.Hallar l u l si l v l=4 y (u→ - v→)⊥v→.
l u l= modulo de u.
l v l= modulo de v.
u→= vector.
v→= vector.
⊥= perpendicular.
Saludos Cordiales

Tienes que los vectores v y (u-v) son perpendiculares, por lo que puedes plantear que su producto escalar es igual a cero:
v • (u - v) = 0, distribuyes, y queda:
v • u - v • v = 0, expresas los productos escalares en función de los módulos de los vectores y del ángulo determinado por ellos, y queda:
|v|*|u|*cos(60°) - |v|*|v|*cos(0°) = 0, reemplazas el valor del módulo de |v|, el valor de cos(60°) y el valor de cos(0°), y queda:
4*|u|*(1/2) - 4*4*1 = 0, resuelves productos numéricos, y queda:
2*|u| - 16 = 0, divides por 2 en todos los términos de la ecuación, y queda:
|u| - 8 = 0, haces pasaje de término, y queda:
|u| = 8.
Espero haberte ayudado.