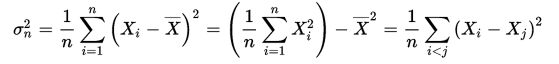
Hola buenas, quería hacer una pregunta, alguien me podría explicar que diferencia hay en estas dos formulas, que sirven para lo mismo, calcular la varianza:
σ2 = ∑( fi × Xi2)/N - X̅ 2
σ2 = ∑ (xi - X̅ )2/N
Es que hay ejercicios que me dan distinto resultado, y no se por que, y ya lo he comprobado un monton de veces
Me podeis ayudar con este ejercicio?
Halla la ecuación de la recta que pasa por los puntos A(0,0) y B(2,-5). Idem con los puntos C(-1,-3) y D(2,7). Representa ambas rectas. Indica si son funciones lineales o afines.
integral 5/(xlnx) dx = 5ln(lnx)+c ???

Puedes verificar mediante la derivación de la expresión general de la función primitiva que has obtenido:
I = 5*ln(lnx) + C,
derivas (observa que debes aplicar la regla de la cadena en el primer término), y queda:
I ' = 5*( 1/lnx )*( 1/x) + 0 = resuelves y cancelas el término nulo = 5 / (x*lnx),
y como has recuperado la expresión del argumento de la integral, has verificado que la solución es correcta.
Espero haberte ayudado.
Hola unicoos, me podrian explicar la parte que esta en rojo marcada? porque el det de una matriz al cuadrado es el det de I?

Debes tener en cuenta cuatro propiedades de los determinantes:
1) El determinante de una matriz es igual al determinante de su matriz traspuesta: det(At) ) = det(A).
2) El determinante de la matriz inversa es igual al recíproco del determinante de la matriz: det(A-1) = 1/det(A).
3) El determinante de la matriz identidad es igual a uno: det(I) = 1.
4) El determinante de un producto de matrices es igual al producto de los determinantes: det(A*B) = det(A)*det(B).
Luego, tienes como hipótesis en tu enunciado:
5) At = A-1.
Luego, recuerda que el producto de una matriz por su matriz inversa es igual a la matriz identidad:
A*A-1 = I, tomas determinantes en ambos miembros, y queda:
det(A*A-1) = det(I),
aplicas la propiedad señalada (4) en el primer miembro, y la señalada (3) en el segundo miembro, y queda:
det(A)*det(A-1) = 1, aplicas la propiedad señalada (5), y queda:
det(A)*det(At) = 1, aplicas la propiedad señalada (1), y queda:
det(A)*det(A) = 1, expresas el primer miembro como una potencia, y queda:
[det(A)]2 = 1, haces pasaje de potencia como raíz, y queda:
det(A) = √(1), por lo que tienes dos soluciones:
det(A) = -1 y det(A) = 1.
Espero haberte ayudado.
Hola.
¿Cómo podría despejar el cos de alfa de ahí? He llegado hasta ahí, pero no se me ocurre nada más.
Gracias.
Un saludo.

Vamos con una orientación.
Plantea la sustitución (cambio de incógnita): x = cosα (1),
luego sustituyes y la ecuación queda:
20x2 + 12000√(1 - x2)*x = 1103,625,
haces pasaje de término, y queda:
12000√(1 - x2)*x = 1103,625 - 20x2,
elevas al cuadrado en ambos miembros, y queda:
[ 12000√(1 - x2)*x ]2 = [ 1103,625 - 20x2 ]2,
distribuyes la potencia y resuelves en el primer miembro, desarrollas el binomio elevado al cuadrado en el segundo miembro, y queda:
144000000*(1 - x2)*x2 = 1217988,140625 - 44145x2 + 400x4,
distribuyes en el primer miembro, y queda:
144000000x2 - 144000000x4 = 1217988,140625 - 44145x2 + 400x4,
haces pasajes de térmnos, reduces términos semejantes, y queda:
-144000000x4 + 144044145x2 - 1217988,140625 = 0,
multiplicas en todos los términos de la ecuación por -1, y queda:
144000000x4 - 144044145x2 + 1217988,140625 = 0,
luego, plantea la sustitución (cambio de incógnita): y = x2 (2), de donde tienes: y2 = x4,
luego sustituyes, y queda:
144000000y2 - 144044145y + 1217988,140625 = 0,
que es una ecuación polinómica cuadrática que puedes resolver,
luego, debes sustituir en la ecuación señalada (2), y luego en la ecuación señalada (1);
y cuando lo hagas, observa que la incógnita "y" toma valores positivos, y que la incógnita "X" toma valores comprendidos entre -1 y 1.
Espero haberte ayudado.