Área del cuadrado (el cuadrado es un paralelogramo) delimitado por las líneas discontinuas rosas y rojas:
Acuadrado= 6.252= 39.0625 m2
Área del triángulo "rosa" de base y altura 6.25:
AtriangRosa= (6.25*6.25)/2 = 19.53125 m2
Área del triángulo "rojo" de base y altura 2.25:
AtriangRojo= (2.25*2.25)/2 = 2.53125 m2
si sen θ es negativo y tan θ es positivo, entonces θ en que cuadrante queda?

Observa que si el ángulo θ está expresado con un número negativo, tienes que está leído en sentido horario a partir del semieje positivo OX.
Observa que si la tangente del ángulo (tanθ) toma valores positivos, entonces tienes que el ángulo θ pertenece al primero o al tercer cuadrante.
Observa que lo que determina el signo de la tangente del ángulo es el cuadrante al que pertenece.
Por ejemplo:
a)
tan(-135°) = -tan(135°) = -(-1) = +1, y tienes que θ = -135° pertenece al tercer cuadrante,
también podrías haber planteado:
tan(-135°) = tan(-135°+360°) = tan(225°) = +1;
b)
tan(-315°) = -tan(315°) = -(-1) = +1, y tienes que θ = --315° pertenece al primer cuadrante,
también podrías haber planteado:
tan(-315°) = tan(-315+360°) = tan(45°) = +1.
Espero haberte ayudado.

Hay que leer un poco la teoría , aprender como son las razones en los cuadrantes es muy muuuuyyy importante y necesario.
El seno es negativo en el tercer y cuarto cuadrante
La tangente es positiva en el primer y tercer cuadrante
Conclusión el ángulo está en el tercer cuadrante . No puede estar en el primero ya que allí el seno es positivo y en este caso afirman que es negativo.

Vamos con una orientación.
Puedes designar:
w = ∛(x3+8x2),
y la expresión del argumento del límite queda:
w - x = (w-x)*(w2+w*x+x2) / (w2+w*x+x2) = distribuyes el producto y cancelas términos opuestos:
= (w3-x3)/(w2+w*x+x2),
luego, vuelve a sustituir la expresión correspondiente a w, y puedes intentar continuar con la tarea.
Espero haberte ayudado.
Me pueden ayudar por favor?
Las 3/8 partes de un depósito de agua de lluvia están llenas. Si se utilizan 3/10 del total del depósito para regar un jardín, ¿qué parte queda llena de agua?
Muchas gracias.

Observa que el volumen de agua disponible es: Vd = 3/8 = 3*10 / 8*10 = 30/80 del volumen del depósito.
Observa que el volumen de agua utilizado es: Vu = 3/10 = 3*8 / 10*8 = 24/80 del volumen del depósito.
Luego, restas expresiones, y tienes el volumen de agua remanente:
Vr = Vd - Vu = 30/80 - 24/80 = 6/80 = simplificas = 3/40 del volumen del depósito.
Espero haberte ayudado.

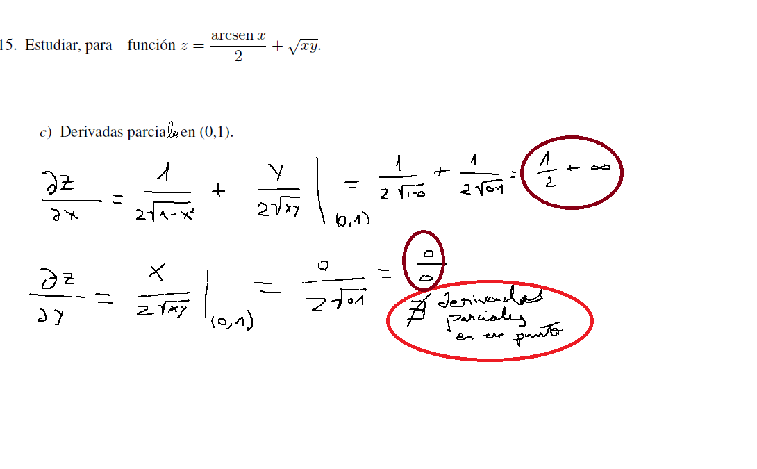
Debes tener en cuenta que las expresiones que has obtenido por medio de las reglas de derivación se indeterminan en el punto en estudio A(0,1), por lo que debes plantear las derivadas por medio de la definición, a fin de verificar su existencia o no existencia.
Tienes la expresión de la forma:
z = u + v, con:
a)
u = (1/2)*arcsenx,
cuyas derivadas parciales tienen expresiones que has planteado correctamente:
ux = (1/2)*( 1/√(1-x2) ), que evaluada en el punto en estudio queda: ux(0,1) = (1/2)*(1/1) = 1/2,
uy = 0, que evaluada en el punto en estudio queda: uy(0,1) = 0.
b)
v = √(x*y),
cuyas derivadas parciales toman valores en el punto en que planteamos a partir de las definiciones:
vx(0,1) = Lím(h→0) [√( (0+h)*1 ) - √(0*1)]/h = Lím(h→0) [√(h) - 0]/h = Lím(h→0) √(h)/h = simplificas = Lím(h→0) 1/√(h) = ∞,
vy(0,1) = Lím(k→0) [√( 0*(1+k) ) - √(0*1)]/h = Lím(h→0) [√(0) - 0]/h = Lím(h→0) 0/h = 0.
Luego, plantea las expresiones generales de las derivadas parciales de una suma de funciones:
zx(0,1) = ux(0,1) + vx(0,1), que no está definida en el punto en estudio, por no existir su segundo término;
zy(0,1) = uy(0,1) + vy(0,1) = reemplazas valores = 0 + 0 = 0.
Luego, puedes concluir que la función cuya expresión tienes en el enunciado no tiene derivada parcial con respecto a x en el punto A(0,1), pero si tiene derivada parcial con respecto a y en dicho punto, cuyo valor es cero.
Espero haberte ayudado.
Alguna ayuda con la ecuacion sen(3x) + sen(x) =cos(2x)

Para comenzar, debes tener en cuenta la identidad de transformación en producto de la suma de dos senos:
sena + senb = 2*sen( (a+b)/2 )*cos( (a-b)/2 ),
luego sustituyes expresiones (a =3x, b = x) en el primer miembro, y queda:
2*sen(2x)*cosx = cos(2x).
Luego, debes tener en cuenta las identidades del seno y del coseno del doble de un ángulo:
sen(2x) = 2*senx*cosx,
cos(2x) = cos2x - sen2x,
luego, sustituyes expresiones, y queda:
2*2*senx*cosx*cosx = cos2x - sen2x,
reduces y reduces factores en el primer miembro, y queda
4*senx*cos2x = cos2x - sen2x.
Luego, debes tener en cuenta la identidad del cuadrado del coseno en función del cuadrado del seno:
cos2x = 1 - sen2x,
luego, sustituyes y la ecuación queda:
4*senx*(1 - sen2x) = 1 - sen2x - sen2x,
distribuyes en el primer miembro, reduces términos semejantes, y queda:
4*senx - 4*sen3x = 1 - 2*sen2x.
Luego, puedes plantear la sustitución (cambio de incógnita):
w = senx (1) (observa que w toma valores comprendidos entre -1 y 1),
luego sustituyes, y queda:
4*w - 4*w3 = 1 - 2*w2, haces pasajes de términos, ordenas términos, y queda:
-4*w3 + 2*w2 + 4*w - 1 = 0, multiplicas por -1 en todos los términos de la ecuación, y queda:
4*w3 - 2*w2 - 4*w + 1 = 0,
que es una ecuación polinómica cúbica, que puedes resolver con la Fórmula de Cardano, de la que tienes un vídeo aquí en Unicoos.
Espero haberte ayudado.
Buenas tardes,
Como se determinarían los puntos de inflexión de la función f(x)=x(1-x)-3
Muchas gracias,

Observa que el dominio de la función es D = R - {1}.
Luego, plantea la expresión de la función derivada primera (observa que debes aplicar la regla del producto, y también la regla de la cadena):
f ' (x) = 1*(1-x)-3 + x*(-3)*(1-x)-4*(-1) = (1-x)-3 + 3*x*(1-x)-4.
Luego, plantea la expresión de la función derivada segunda:
f ' ' (x) = -3*(1-x)-4*(-1) + 3*(1-x)-4 + 3*x*(-4)*(1-x)-5*(-1) = -3*(1-x)-4 + 3*(1-x)-4 + 12*x*(1-x)-5 =
= 12*x*(1-x)-5.
Luego, plantea la condición de posible punto de inflexión (observa que la expresión de la función derivada segunda se indetermina para x = 1, que no pertenece al dominio de la función):
f ' ' (x) = 0, sustituyes la expresión remarcada, y queda:
12*x*(1-x)-5 = 0, multiplicas por (1/12)*(1-x)-5 en todos los términos de la ecuación, y queda: x = 0.
Luego, evalúas para valores cercanos al valor remarcado:
f ' ' (-1) = 12*(-1)*(2)-5 = -12/32 = -3/8 < 0
por lo que tienes que la gráfica de la función es cóncava hacia abajo para x < 0, y en el intervalo (-∞,0);
f ' ' (1/2) = 12*(1/2)*(1/2)-5 = 6*32 = 96 > 0,
por lo que tienes que la gráfica de la función es cóncava hacia abajo para x > 0, y en el intervalo (0,1);
luego, tienes que la gráfica de la función presenta inflexión en x = 0.
Espero haberte ayudado.