
Tienes la ecuación matricial:
2*A2*B-1 = I,
planteas la igualdad entre los determinantes:
|2*A2*B-1| = |I|,
luego, aplicas la propiedad del determinante de una matriz multiplicada por una constante (observa que el orden de las matrices es tres), y queda:
23*|A2*B-1| = |I|,
luego, aplicas la propiedad del determinante de un producto, y queda:
23*|A2|*|B-1| = |I|,
aplicas la propiedad del determinante de una potencia de una matriz, y queda:
23*|A|2*|B-1| = |I|,
aplicas la propiedad del determinante de la inversa de una matriz, y queda:
23*|A|2*(1/|B|) = |I|,
reemplazas valores (recuerda que el determinante de la matriz identidad es igual a 1), y queda:
23*|A|2*(1/2) = 1,
resuelves el producto numérico en el primer miembro, y queda:
4*|A|2 = 1,
haces pasaje de factor como divisor, y queda:
|A|2 = 1/4,
haces pasaje de potencia como raíz, y queda:
|A| = -1/2 o |A| = 1/2.
Espero haberte ayudado.

Tienes los datos:
centro de simetría: C(0,0);
vértice secundario: B1(-3,0), por lo que tienes su simétrico: B2(3,0);
vértice principal: A1(0,a), y su simétrico A2(0,-a);
foco: F1(0,4), y su simétrico F2(0,-4).
Luego, observa que la distancia entre el centro y un vértice secundario es: b = 3.
Luego, observa que la distancia entre el centro y un foco es: c = 4.
Luego, plantea la relación entre semiejes:
a2 = b2 + c2, reemplazas y queda:
a2 = 32 + 42 = 9 + 16 = 25, luego, calculas su raíz cuadrada y queda: a = 5,
que es la distancia entre el centro y cada uno de los vértices principales: A1(0,5) y A2(0,-5).
Luego, plantea la ecuación cartesiana de la elipse con centro en el origen de coordenadas, y eje focal OY:
x2/b2 + y2/a2 = 1,
reemplazas valores en los denominadores, los resuelves, y queda:
x2/9 + y2/25 = 1.
Espero haberte ayudado.
Buenas, tengo un examen mañana y no me sale esta pregunta. Alguien me puede ayudar?
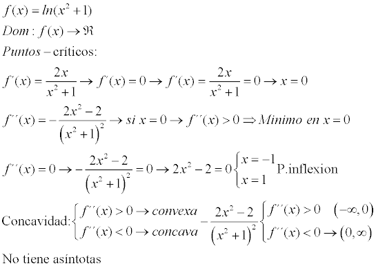
Encuentra los puntos críticos, los puntos de inflexión, las asimptotas y la concavidad para la siguiente función:
ln(x2+1)
¡Muchas gracias!

Observa que el dominio de la función es R, ya que el argumento del logaritmo es estrictamente positivo, y observa que para x tendiendo a +infinito y a -infinito, tienes que la función tiende a +infinito.
Luego, plantea la expresión de la función derivada primera:
f ' (x) = 2x/(x2+1),
luego, plantea la condición de punto crítico (posible máximo o posible mínimo):
f ' (x) = 0, sustituyes y queda:
2x/(x2+1) = 0, haces pasaje de divisor como factor (observa que el denominador es estrictamente positivo), y queda:
2x = 0, haces pasaje de factor como divisor, y queda: x = 0,
luego, evalúas para dos valores, uno menor y otro mayor que cero, y tienes:
f ' (-1) = -2/2 = - 1 < 0, por lo que tienes que la gráfica de la función es decreciente en el intervalo: (-∞,0),
f(1) = 2/2 = 1 > 0, por lo que tienes que la gráfica de la función es creciente en el intervalo: (0,+∞);
por lo tanto, tienes que la gráfica de la función presenta un mínimo en x = 0, y el valor dela función para él es: f(0) = 0.
Luego, plantea la expresión de la función derivada segunda:
f ' ' (x) = ( 2(x2+1) - 2x(2x) ) / (x2+1)2 = (2 - 2x2) / (x2+1)2 = 2(1 - x2) / (x2+1)2,
luego, plantea la condición de posible punto de inflexión:
f ' ' (x) = 0, sustituyes y queda:
2(1 - x2) / (x2+1)2 = 0, haces pasaje de divisor como factor (observa que el denominador es estrictamente positivo), y queda:
2(1 - x2) = 0, haces pasaje de factor como divisor, y queda:
1 - x2 = 0, haces pasaje de término, y queda:
-x2 = -1, multiplicas por -1 en ambos miembros, luego haces pasaje de potencia como raíz, y tienes dos opciones:
x = -1 o x = 1;
luego, evalúas para tres valores, uno menor que -1, uno intermedio entre -1 y 1, y otro mayor que 1,y tienes:
f ' ' (-2) = -6/25 < 0, por lo que tienes que la gráfica de la función es cóncava hacia abajo en el intervalo: (-∞,-1),
f ' ' (0) = 2/1 = 2 > 0, por lo que tienes que la gráfica de la función es cóncava hacia arriba en el intervalo: (-1,1),
f ' ' (2) = -6/25 < 0, por lo que tienes que la gráfica de la función es cóncava hacia abajo en el intervalo: (1,+∞,-1);
luego, tienes que la gráfica de la función presenta inflexiones en: x = -1, y el valor de la función para él es: f(-1) = ln(2), y en x = 1, y el valor de la función para él es: f(1) = ln(2).
Espero haberte ayudado.
Ayudaaa! Me piden expresar, usando integrales definidas, el área de las regiones sombreadas. Los puntos que están escritos (de izquierda a derecha) son: (-3,-5), (4,0) y (7,1). Hasta ahora sé que necesito conocer el dominio, y aplicar la regla de Barrow. Mi problema es expresar la integral para seguir calculando.

Pero no te dan las funciones que representan esas curvas ?? , de lo contrario si sólo es la gráfica se tiene que calcular las funciones , hay infinitas posibilidades aunque se puede suponer lo más elemental aún así es trabajoso.
Debes poner el ejercicio completo con su respectivo enunciado .
alguien podría ayudarme con esto por favor?
Los segmentos AC y DB son las diagonales de un rectángulo, los cuales pertenecen a las asintotas de una hipérbola H. Se sabe que A(3,2) ; C(8,12) y que AB//(16,12) y que los vértices de H estan sobre AB y DC lados del rectángulo. (El eje de la hipérbola tiene pendiente negativa) Hallar:
¡Hola! Nos encantaría ayudarte, pero no solemos responder dudas universitarias que no tengan que ver específicamente con los vídeos que David Calle ha grabado como excepción. O de otras asignaturas que no sean Matemáticas, Física y Química. Lo sentimos de corazón… Esperamos que lo entiendas.
Ojalá algún unicoo universitario se anime a ayudarte (de hecho, lo ideal es que todos los universitarios intentarais ayudaros los unos a los otros).