me podeis explicar las progresiones aritmeticas?
Calcula el termino general: a1= –3 y a4= –18
a1= –3 ; a2= -8 ; a3= –13 ; a4= –13
an= a1-(n-1)*5 = a1-(5n-5) = a1-5n+5
---------------------------------
http://www.vadenumeros.es/tercero/progresiones-aritmeticas.htm
Hola¡
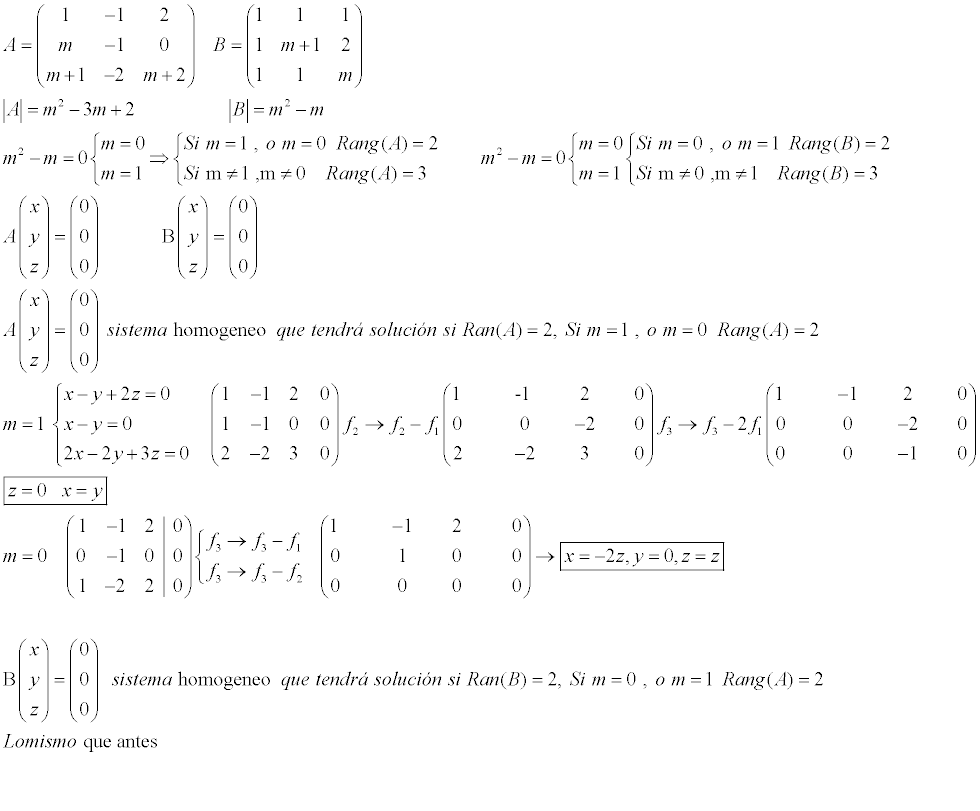
Me podrían explicar el apartado b) de este ejercicio
TENIENDO EN CUENTA QUE EL APARTADO A) ME DAN LOS RANGOS ( QUE PONGO EN LA FOTO SIGUIENTE) Y LA SOLUCIÓN VIENE A CONTINUACION PERO ME GUSTARIA QUE ME LA EXPLICASEIS YA QUE NO LA ENTIENDO
Hola alguien me puede explicar por qué la interseccion del contrario de A y B mas la interseccion de A y B da B?