la ultima amigos por favor unicoos es esta de probabilidades de distribucion normal y gracias desde ya

Tienes una variable aleatoria X con distribución normal, con media: μ = 1000 y desviación estándar: σ = 100.
Luego, plantea su estandarización:
Z = (X - μ)/σ; luego reemplazas valores, y la expresión queda:
Z = (X - 1000)/100
Luego tienes para X = 1100:
Z = (1100 - 1000)/100 = 100/100 = 1.
Luego, tienes para X = 900
Z = (900 - 1000)/100 = -100/100 = -1.
Espero haberte ayudado.

Tienes que R es una relación simétrica, por lo que tienes (a y b son elementos del conjunto A que están relacionados):
1)
a está relacionado (por medio de la relación R) con b y,
por definición de relación inversa, tienes que b está relacionado (por medio de la relación R-1) con a (*)
y también tienes:
2)
b está relacionado (por medio de la relación R) con a y,
por definición de relación inversa, tienes que a está relacionado (por medio de la relación R-1) con b (**);
luego, por las proposiciones señaladas (*) (**) tienes que la relación inversa R-1 es simétrica.
Espero haberte ayudado.
Hola me podrian ayudar con este ejercicio de numeros complejos?
Considere a Z en los complejos, tal que tiene por raiz 4-esima "a-3i", encuentre a Z las otras raices n-esimas en forma polar

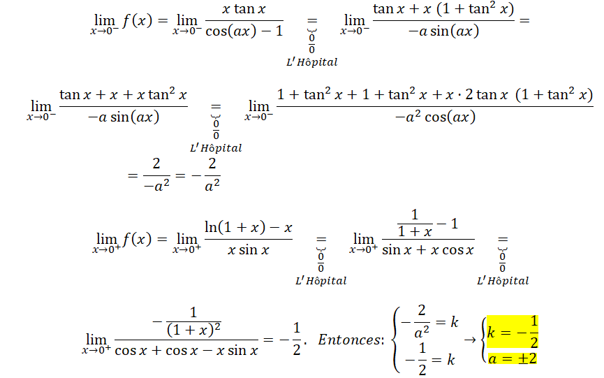
Para estudiar la continuidad, tienes que hallar los límites laterales de 0 y luego igualarlos entre sí. Para que sea continua además, debe ser igual a f(0), que en este caso es k.
Por tanto, f(0) = k
k = lim(x->0-) de (xtgx/cosax -1) = lim(x->0+) de (ln1+x) - x)/xsenx
Espero haberte ayudado!
buenas noches unicoos por favor ayuda en este ejercicio de probabilidades de distribucion de poisson.Muchas Gracias

Plantea la variable aleatoria: X = "cantidad de piezas defectuosas en la muestra",
y observa que los valores que puede tomar la variable aleatoria son: 0, 1, 2, 3, 4, 5 o 6.
Observa que tienes una distribución binomial, cuyos parámetros: n = 6, p = 0,05,
y probabilidad complementaria: q = 0,95.
Luego, la expresión de la distribución queda:
p(X = k) = C(6,k)*0,05k*0,956-k.
a)
p(X = 0) = C(6,0)*0,050*0,956-0 = 1*1*0,956 ≅ 0,735092.
b)
p(X = 1) = C(6,1)*0,051*0,956-1 = 6*0,05*0,955 ≅ 0,232134.
Espero haberte ayudado.
Hola buenas tardes me pueden ayudar con este ejercicio por favor, gracias de antemano
Determinar el volumen del solido de revolucion generado al hacer girar alrededor del eje x la region limitada por las rectas 3y-x-3=0, x=0, x=2 y el eje de las abcisas

Comienza por plantear la ecuación cartesiana explícita de la recta: y = (1/3)x + 1.
Luego, plantea el volumen de revolución generado al rotar alrededor del eje OX al segmento incluido en la recta, correspondiente al intervalo 0 ≤ x ≤ 2:
V = π * ∫ ( (1/3)x + 1 )2*dx, para evaluar para el intervalo indicado.
Luego, queda que desarrolles el binomio elevado al cuadrado e integres término a término (te dejo la tarea).
Espero haberte ayudado.
Necesito ayuda con este problema de combinatoria , creo que se resuelve con la fórmula de variación con repeticion pero no entiendo si es 24^5 o 5^24 alguien me lo puede explicar???
Los premios Oscar los otorga anualmente la Academia de las Artes y las Ciencias Cinematográficas
en Los Ángeles (California). En la ceremonia se entregan 24 premios por distintas categorías (mejor
película, mejor actriz, mejor fotografía, etc.). Para cada premio hay cinco posibles candidatos.
¿De cuántas formas distintas se pueden conceder estos premios?