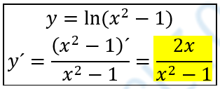
Buenas, ¿alguien me puede ayudar a resolver este límite utilizando L'Hopital? (Según mi maestro tiene que dar 0 la solución, pero no se porqué no consigo llegar a ella...) Adjunto el límite por escrito porque por alguna razón no me deja cargar una foto:
lim ( √x * ln(e^x - 1)) (cuando x tiende a 0+, y esa raíz cuadrada solo abarca la x)
Hola, buenas tardes.
¿Me pueden explicar este concepto? Subo la definición que me han dado en clase, pero no la llego a comprender.
Muchas gracias de antemano y saludos.--

Me encantaría ayudarte, pero no respondo dudas universitarias que no tengan que ver específicamente con los videos que ya he grabado como excepcion. O de otras asignaturas que no sean matemáticas, física y química. Lo siento de corazón… Espero lo entiendas
Ojalá algun unicoo universitario se anime a ayudarte (de hecho lo ideal es que todos los universitarios intentarais ayudaros los unos a los otros)
![]()
Hola, ¿me podrían ayudar a resolver estos apartados de descomposición de fracciones algebraicas en sumas de fracciones simples ( los apartados c, d y e? Muchas gracias.
c)
(2x-10)/(x2+2x-8)
Planteamos las fracciones parciales,
(2x-10)/[(x-2)(x+4)]= A/(x-2) + B/(x+4)= [A(x+4) + B(x-2)]/[(x-2)(x+4)] ---------> 2x-10 = A(x+4) + B(x-2)
Planteamos para hallar los valores de A y B:
2x-10 = A(x+4) + B(x-2)
Ponemos x= -4 para obtener el valor de B: 2*(-4) -10 = A(-4+4) + B(-4-2) ----> -18 = -6B ----> B=3
Ponemos x= 2 para obtener el valor de A: 2*(2) -10 = A(2+4) + B(2-2) ----> -6 = 6A ----> A= -1
Entonces
(2x-10)/(x2+2x-8) = A/(x-2) + B/(x+4)= -1/(x-2) + 3/(x+4)

c)
Factorizas el denominador, y queda:
(2x-10) / (x-2)(x+4) = a/(x-2) + b/(x+4) = ( a(x+4) + b(x-2) ) / (x-2)(x+4),
luego, por igualdad entre expresiones algebraicas, igualas numeradores y queda:
a(x+4) + b(x-2) = 2x-10,
evalúas para dos valores de (por ejemplo: -4 y 2), y quedan las ecuaciones:
-6b = -18, haces pasaje de factor como divisor, y queda: b = 3;
6a = -6, haces pasaje de factor como divisor, y queda: a = -1.
Espero haberte ayudado.

d)
Factorizas el denominador, y queda:
(6x2-5x-2) / (x+2)(x-2)2 = a/(x+2) + b/(x-2) + c/(x-2)2 = ( a(x-2)2 + b(x+2)(x-2) + c(x+2) ),
luego, por igualdad entre expresiones algebraicas, igualas numeradores y queda:
a(x-2)2 + b(x+2)(x-2) + c(x+2) = 6x2-5x-2,
evalúas para tres valores (por ejemplo 2, -2 y 0), y quedan las ecuaciones:
4c = 12, haces pasaje de factor como divisor, y queda: c = 3,
16a = 32, haces pasaje de factor como divisor, y queda: a = 2,
4a - 4b + 2c = - 2, reemplazas los valores remarcados, haces pasajes de términos, y queda:
-4b = -16, haces pasaje de factor como divisor, y queda b = 4.
Espero haberte ayudado.

e)
Factorizas el denominador, y queda:
(2x2+x+4) / x(x-2)(x+2) = a/x + b/(x-2) + c/(x+2) = ( a(x-2)(x+2) + bx(x+2) + cx(x-2) ) / x(x-2)(x+2),
luego, por igualdad entre expresiones algebraicas, igualas numeradores y queda:
a(x-2)(x+2) + bx(x+2) + cx(x-2) = 2x2+x+4,
evalúas para tres valores de (por ejemplo: 0, -2 y 2), y quedan las ecuaciones:
-4a = 4, haces pasaje de factor como divisor, y queda: a = -1,
8c = 10, haces pasaje de factor como divisor, y queda: c = 5/4,
8b = 14, haces pasaje de factor como divisor, y queda: b = 7/4.
Espero haberte ayudado.